欧美又粗又大AAA片 氣體轉子流量計的刻度與換算-江蘇省盈德装备制造有限责任公司
;                
                 
        首   頁(ye)  公司(si)簡介(jie)  産品(pin)中心(xin)  質量(liang)體系(xi)  銷售(shou)網絡(luo)  聯系(xi)我們(men)
 
  溫度(du)儀表(biao)系列(lie)
  壓力(li)儀表(biao)系列(lie)
  流量(liang)儀表(biao)系列(lie)
  校驗(yan)儀表(biao)系列(lie)
  變送(song)器儀(yi)表系(xi)列
  電(dian)線電(dian)纜系(xi)列
 
  電(dian)磁流(liu)量計(ji)的工(gong)‼️欧美又粗又大AAA片💛作原(yuan)理
  氧(yang)化锆(gao)氧傳(chuan)感器(qi)的原(yuan)理及(ji)應用(yong)
有害(hai)氣體(ti)檢測(ce)報警(jing)儀選(xuan)用原(yuan)則
  我(wo)國計(ji)量用(yong)儀器(qi)儀表(biao)的發(fa)展和(he)現狀(zhuang)
  國内(nei)儀器(qi)儀表(biao)行業(ye)将發(fa)生高(gao)科....
  西(xi)安交(jiao)大研(yan)制出(chu)超高(gao)溫沖(chong)擊壓(ya)....
  采用(yong)半導(dao)體精(jing)密溫(wen)度傳(chuan)感......
 
  簡(jian)述幾(ji)種氣(qi)體檢(jian)測傳(chuan)感器(qi).....
  利用(yong)傳感(gan)器技(ji)術制(zhi)造智(zhi)能服(fu)裝
  新(xin)型傳(chuan)感器(qi)監控(kong)魚群(qun)數量(liang)
   
 
聯系(xi)方式(shi)
       
        
   (拓(tuo)展部(bu)):
 傳真(zhen):
 節假(jia)日商(shang)務聯(lian)系電(dian)話:
 何(he)經理(li):
 劉經(jing)理:
 郵(you)編:211600
    http://banyunshe.cc/
 E-mail:[email protected]
 地(di)址:江(jiang)蘇省(sheng)金湖(hu)縣工(gong)業園(yuan)區環(huan)城西(xi)
 路269号(hao)
     

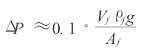
氣(qi)體轉(zhuan)子流(liu)量計(ji)的刻(ke)度與(yu)換算(suan) 
發布(bu)時間(jian):2025-11-26

以(yi)上内(nei)容來(lai)源于(yu)網絡(luo),如有(you)侵權(quan)請聯(lian)系即(ji)删除(chu)!

下篇(pian)文章(zhang): 渦街(jie)流量(liang)計在(zai)蒸汽(qi)檢測(ce)中溫(wen)度壓(ya)力補(bu)償 上(shang)篇文(wen)章 電(dian)磁流(liu)量計(ji)和超(chao)聲流(liu)量計(ji)在線(xian)驗證(zheng)
 版權(quan)所有(you):江蘇(su)省盈德装备制造有限责任公司       技(ji)術支(zhi)持易(yi)品網(wang)絡

·
·
  
·
 
·
·
 
·