高壓氣體(ti)渦輪流量(liang)計的認識(shi) 發布時間(jian):2025-11-26
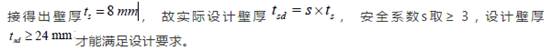
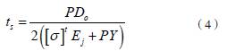
摘 要:闡述(shu)高壓氣體(ti)渦輪流量(liang)計 并介紹(shao)工作原理(li)、結構特點(dian)、性能測試(shi)、計量特性(xing)等🐅,以此證(zheng)明高壓氣(qi)體渦輪流(liu)量計可以(yi)作爲貿易(yi)計量應🔴用(yong)在❓高壓管(guan)線上 0 引 言(yan) 天然氣作(zuo)爲重要的(de)潔淨能源(yuan),近幾年在(zai)城市中的(de)應用迅猛(meng)發展。在當(dang)今市場經(jing)濟的體制(zhi)下,人們對(dui)😘經濟效益(yi)㊙️的日益重(zhong)視,作🔞爲供(gong)氣、用氣雙(shuang)方進行貿(mao)易結算依(yi)據的計量(liang)問題日益(yi)突顯起來(lai)[1],特别對高(gao)壓天然氣(qi)的計量形(xing)勢尤爲嚴(yan)峻,“計量就(jiu)是計錢”的(de)觀念深入(ru)人心。而世(shi)界能源供(gong)求日益緊(jin)張,人們都(dou)十分關心(xin)并尋🧑🏾🤝🧑🏼求一(yi)種精度高(gao),适應性強(qiang)的流量計(ji)來測量天(tian)然氣流🏃🏻♂️量(liang),以減❄️少、避(bi)免天然氣(qi)貿易糾紛(fen)。目前國内(nei)渦輪流量(liang)計生産廠(chang)家均是以(yi)中低壓爲(wei)✔️主,對高壓(ya)的涉及較(jiao)少🚩,規格種(zhong)類繁多、結(jie)構複㊙️雜。供(gong)油系統、防(fang)沖擊結🈚構(gou)等因素均(jun)是直接影(ying)㊙️響流量計(ji)使用壽命(ming)。與🔱此同時(shi),爲了順應(ying)國家能源(yuan)安全的戰(zhan)略部署,保(bao)證國家能(neng)源輸🏃♂️運安(an)🐪全,響應建(jian)設“創新型(xing)⛷️”國家的發(fa)展戰略,自(zi)主知識産(chan)權且滿🥵足(zu)工業性應(ying)用要求的(de)精度佳高(gao)壓渦輪流(liu)量計。 1 渦輪(lun)流量計的(de)工作原理(li)與流量特(te)性 1.1 工作原(yuan)理 氣體渦(wo)輪流量計(ji) 是一種帶(dai)機械計數(shu)器并用于(yu)測量氣體(ti)流量的流(liu)量計🐆,其工(gong)作🍓原理如(ru)圖1 所示:當(dang)氣流進入(ru)流量計時(shi),首先經過(guo)特殊🤩整流(liu)🛀器整流并(bing)加速,在流(liu)體的作用(yong)下,渦輪克(ke)服阻力矩(ju)開始轉動(dong)。當力矩達(da)到平衡時(shi)渦輪轉速(su)穩定,此時(shi)其轉速與(yu)氣體工況(kuang)流量成正(zheng)🔅比,并通過(guo)齒🌈輪減速(su)傳動以及(ji)磁耦合聯(lian)接驅動字(zi)輪計數器(qi)轉動,直接(jie)累積氣體(ti)的工況體(ti)積總量。 因通過(guo)渦輪的流(liu)量與渦輪(lun)轉速成正(zheng)比,高頻信(xin)号脈沖輸(shu)出👄頻率 與(yu)渦輪轉速(su)存在下列(lie) |=nZ 對一定精(jing)度的流量(liang)計而言,在(zai)一定的流(liu)量範圍内(nei),其儀👄表系(xi)數🏃🏻K 應接近(jin)常數。理論(lun)上儀表系(xi)數K 與體積(ji)流量q成如(ru)下關系,即(ji) 式中:K—儀表(biao)系數,爲工(gong)況條件下(xia)每立方米(mi)通過流量(liang)傳感器✊時(shi)輸出的脈(mo)沖數,1/m3 ; q—工況(kuang)體積流量(liang)m3 s 。 綜上所述(shu),儀表系數(shu)K 在實際上(shang)除渦輪導(dao)程、葉片數(shu)、葉片寬度(du)、螺旋升角(jiao)、流量計流(liu)體通道等(deng)結構因素(su)🚩有關外,還(hai)✂️與介💯質流(liu)❄️體粘性、軸(zhou)承本身阻(zu)尼、軸承潤(run)滑油粘度(du)等有關,若(ruo)以⁉️上其中(zhong)一種或幾(ji)種相關因(yin)🚶♀️素發生改(gai)變,則儀表(biao)系數K就會(hui)相應改變(bian)✍️。故每台流(liu)🏒量計均應(ying)通過檢定(ding)得出儀表(biao)系數。 1.2 流量(liang)特性介紹(shao) K—q關系曲線(xian)稱爲渦輪(lun)流量計的(de)流量特性(xing)曲線。理論(lun)上, K—q關系應(ying)是一條水(shui)平直線,但(dan)實際上由(you)于在不同(tong)的流動狀(zhuang)态下,流體(ti)産生阻力(li)機理不同(tong),效果也不(bu)同,所以使(shi)特性曲線(xian)成🐉爲曲線(xian)形狀。 以DN50 爲(wei)例,如圖2 所(suo)示。 由圖2 可(ke)見,儀表系(xi)數可分爲(wei)二段,即線(xian)性段和非(fei)線‼️性🤟段。在(zai)非線性段(duan), 實際特性(xing)受軸承摩(mo)擦力、流體(ti)粘性阻🐕力(li)影響較🏒大(da)。當流量低(di)于Qmin 時,儀表(biao)系數随着(zhe)流量迅速(su)變化。壓力(li)損失與流(liu)量的平方(fang)成正比關(guan)系💛。通常線(xian)性段約爲(wei)工作段的(de)2/3,其📱特性與(yu)渦輪結構(gou)參數及流(liu)體粘👉性有(you)關。随流量(liang)的變化其(qi)😘儀表系數(shu)K 也會有一(yi)定的變化(hua),但變化不(bu)大🤟,通常将(jiang)其變化幅(fu)度稱爲流(liu)量計的計(ji)量準确🤩度(du)。對于産品(pin)設計而言(yan),期望能将(jiang)線性段的(de)流量範圍(wei)拓展,一台(tai)流量計能(neng)覆蓋同口(kou)徑的不同(tong)流量範圍(wei),使得産品(pin)量程比變(bian)寬🙇🏻從而降(jiang)低生産管(guan)理與生✊産(chan)批量加工(gong)成本。對于(yu)1.0 級的高壓(ya)氣體渦輪(lun)流量計,以(yi)Qt(0.2Qmax)爲分界流(liu)量點,将計(ji)量線性分(fen)爲兩段,其(qi)中一段的(de)最大允許(xu)誤差爲±2%,而(er)另一段的(de)最🚶大允許(xu)誤差爲±1% 。按(an)圖2 所示,通(tong)常每台渦(wo)輪流量計(ji)均有較爲(wei)相似特性(xing)曲線,若将(jiang)可測量流(liu)量🐆範圍做(zuo)寬,就能在(zai)同🐉口徑不(bu)同流量範(fan)圍進行分(fen)段截取,以(yi)實現💘一台(tai)流量計能(neng)覆蓋同口(kou)徑的不同(tong)流量範圍(wei)。 2 高壓渦輪(lun)流量計研(yan)制 高壓氣(qi)體渦輪流(liu)量計主要(yao)是由鍛鋼(gang)殼體、表芯(xin)總成、機械(xie)顯🥰示計數(shu)器、高壓油(you)泵、高低頻(pin)信号輸出(chu)(按客戶要(yao)求選配)等(deng)組成;根據(ju)EN12261 要求,設計(ji)高壓渦輪(lun)流🏃♀️量計内(nei)部結構、外(wai)觀等并對(dui)殼體與軸(zhou)承進行設(she)計計算;研(yan)究高壓供(gong)油系統的(de)結構設計(ji),避免軸承(cheng)潤滑油回(hui)流等不良(liang)現象;研究(jiu)渦輪防沖(chong)✍️擊結構設(she)計🐅,緩沖因(yin)流量波動(dong)引起瞬間(jian)沖擊力;研(yan)究雙向增(zeng)計數的新(xin)型機械計(ji)數器,主要(yao)解決了流(liu)量計由于(yu)其單向計(ji)數的特性(xing),而🈲導緻倒(dao)置安裝時(shi)💞出現計數(shu)不增反減(jian)的問題。 2.1 殼(ke)體與軸承(cheng)設計計算(suan) 高壓氣體(ti)渦輪流量(liang)計殼體作(zuo)爲主要的(de)承壓零部(bu)件,應進行(hang)強❤️度校核(he)計算。并可(ke)将其視爲(wei)鋼管,并根(gen)據标準GB50316 與(yu)GB150 中相關規(gui)定,計算壁(bi)厚ts 計算公(gong)式: 式中 ts—計(ji)算厚度(mm); P—設(she)計壓力(MPa); Do—管(guan)子外徑(mm); —在(zai)設計溫度(du)下材料的(de)許用應力(li)(MPa); Ej —焊接接頭(tou)系數; Y—計算(suan)系數。 以DN50-PN100 爲(wei)例,将殼體(ti)設計參數(shu)代入(4)中直(zhi) 而對于轉(zhuan)速較高的(de)軸承,軸承(cheng)可靠度爲(wei)90%,軸承材料(liao)爲常規材(cai)料,其基本(ben)額定動載(zai)荷計算公(gong)式如下[3]: 将(jiang)選型軸承(cheng)的參數代(dai)入(5)、(6)中直接(jie)得出基本(ben)額定動載(zai)荷C,而選型(xing)軸承的動(dong)載荷Cr 必須(xu)大于基本(ben)額定動載(zai)荷C 才能滿(man)足設計要(yao)求。 2.2 高壓供(gong)油系統 流(liu)量計所需(xu)軸承潤滑(hua)油必須在(zai)内部密封(feng)、持久、免維(wei)護💔或者采(cai)用外部注(zhu)入的方式(shi)。高壓渦輪(lun)流量計結(jie)構設計應(ying)采取外部(bu)注入方式(shi)進行潤滑(hua)軸承。該方(fang)式必須克(ke)服🧑🏾🤝🧑🏼高壓氣(qi)體對潤滑(hua)油管反作(zuo)用力,壓📱力(li)越高,反作(zuo)用力越強(qiang)。對供油🈲系(xi)統提出更(geng)高的要🏃求(qiu),目前行業(ye)内的中低(di)壓供油結(jie)構已⚽不适(shi)用,可能會(hui)引起潤滑(hua)油🏒回流或(huo)密封圈提(ti)前失效等(deng)問題。 應研(yan)制一種高(gao)壓供油系(xi)統,其主要(yao)是通過手(shou)動油泵㊙️将(jiang)潤💔滑油從(cong)油杯注入(ru)注油腔中(zhong),而注油腔(qiang)中的潤滑(hua)🌏油是通過(guo)兩隻⁉️阻回(hui)流單向閥(fa)以及内置(zhi)供油🌏管路(lu)将潤滑油(you)直接注入(ru)需潤滑軸(zhou)承附近的(de)儲油🥰區内(nei);而手動油(you)泵是🌐由手(shou)柄、油泵座(zuo)、油杯、 活塞(sai)、O 型密封圈(quan)等組成;該(gai)結構設計(ji)的亮點在(zai)于采☔用兩(liang)隻⭕單向閥(fa)其一内置(zhi)油泵,另一(yi)嵌入管道(dao),實現🚩雙重(zhong)阻回流功(gong)能,并提高(gao)高壓管道(dao)供油可靠(kao)性;而✂️且将(jiang)所✌️有油管(guan)💋内置,該供(gong)油管♋路設(she)計🔞結構簡(jian)單、緊湊,實(shi)現一體化(hua)潤滑✍️,順利(li)解決生産(chan)過程與搬(ban)運物流對(dui)外部引油(you)管路造成(cheng)傷害; 2.3 渦輪(lun)防沖擊與(yu)高頻信号(hao)檢測系統(tong) 爲了減緩(huan)流量波動(dong)、管道震動(dong)對渦輪生(sheng)産瞬間沖(chong)🍓擊力,研究(jiu)計量芯的(de)内部結構(gou)。通常計量(liang)芯中前後(hou)軸承🔆均是(shi)徑向旋轉(zhuan)作用,對瞬(shun)間沖擊力(li)的承受能(neng)力有限🙇♀️,若(ruo)操作不當(dang),對🔱流量計(ji)壽命與精(jing)度影響甚(shen)大。考慮以(yi)上因素,對(dui)計量芯内(nei)部結構進(jin)行改進。将(jiang)主軸的前(qian)後軸承作(zuo)用力分開(kai),前軸承爲(wei)徑向旋轉(zhuan)🐪作用,後軸(zhou)承爲軸向(xiang)推力作用(yong),後軸承也(ye)可與推力(li)軸承或波(bo)紋墊圈🥰配(pei)合使用。能(neng)有效🐪的抑(yi)制流體瞬(shun)間沖擊力(li),并配合渦(wo)輪形成反(fan)向推力,能(neng)較快将渦(wo)輪調整至(zhi)平衡狀态(tai),從❤️而改善(shan)渦輪流量(liang)計的壽命(ming)與精度。 目(mu)前國内外(wai)取高頻信(xin)号傳感器(qi)頻率最高(gao)大概爲2000Hz,而(er)且大🤩部分(fen)制造商采(cai)取穿過流(liu)體通道的(de)方式插入(ru)計量芯内(nei)部實現信(xin)号采取。此(ci)方式會引(yin)起高、低頻(pin)檢定的示(shi)值🐅誤差不(bu)一緻。使用(yong)的新型高(gao)頻旋轉檢(jian)測傳感器(qi)是通過渦(wo)輪的葉片(pian)放大的♍,對(dui)流體通㊙️道(dao)無任何影(ying)👄響,其頻率(lü)最高能達(da)到3 500 Hz 或🔴者更(geng)高。通過該(gai)傳感技術(shu)的應用,并(bing)采用新型(xing)信号處理(li)放大技術(shu)和獨特的(de)濾波技術(shu),有效地剔(ti)除壓力波(bo)動和管🔞道(dao)振動所産(chan)生的幹擾(rao)信号,提高(gao)流量計的(de)抗幹擾能(neng)力。從而克(ke)服了因頻(pin)率高而丢(diu)失信号的(de)難題,提♊高(gao)産品對小(xiao)流量的靈(ling)敏🛀度和精(jing)度,更便于(yu)用戶高頻(pin)檢定操作(zuo)等。 2.4 雙向增(zeng)計數的新(xin)型機械計(ji)數器 目前(qian)市場上的(de)機械計數(shu)器計數均(jun)爲正向進(jin)氣時計數(shu)器正向計(ji)數,反向進(jin)氣時計數(shu)器反走。而(er)帶單向計(ji)👉數功能的(de)渦輪流量(liang)計是一種(zhong)能夠在渦(wo)輪流量計(ji)左進右出(chu)進氣、垂直(zhi)安裝、水平(ping)安裝條件(jian)下均⛷️能滿(man)足單向計(ji)數(單向計(ji)數可分爲(wei)正向計數(shu)與反向計(ji)數;按目前(qian)市場需求(qiu),此單向計(ji)數便是通(tong)常所說的(de)正向計數(shu))。然而,在燃(ran)氣計🈲量市(shi)場中有部(bu)🍓分投機分(fen)子爲了盜(dao)氣等原因(yin)将渦輪流(liu)🧡量計倒置(zhi)安裝,使得(de)單向計數(shu)器的計數(shu)不增反退(tui)。爲♊了避免(mian)上述問題(ti)再次🌂出現(xian),設計具有(you)自主知識(shi)産權帶雙(shuang)向增計數(shu)功能的新(xin)型🐇渦輪流(liu)量計,其中(zhong)包括渦輪(lun)流量計基(ji)表、上磁耦(ou)合組件、主(zhu)軸、主錐齒(chi)輪、錐齒輪(lun)組件和計(ji)數字輪組(zu)件等。雙向(xiang)增計數功(gong)能實現如(ru)圖3 所示,主(zhu)要是‼️通過(guo)增加單向(xiang)軸承的💘數(shu)量,并對稱(cheng)分布🔴在主(zhu)錐齒輪的(de)🏃♀️兩側,通過(guo)單向軸承(cheng)與錐齒輪(lun)的緊🌂配合(he),實現正反(fan)進氣情況(kuang)下始終有(you)一隻單向(xiang)軸承🐕通過(guo)其單向特(te)性帶動驅(qu)動軸轉動(dong),并由驅動(dong)軸帶動另(ling)一隻因👣反(fan)向而發生(sheng)自鎖的單(dan)向軸承轉(zhuan)動,保證驅(qu)動軸始終(zhong)沿一個方(fang)向轉動,從(cong)而保證即(ji)使倒置安(an)裝,機械計(ji)數也會隻(zhi)增不減。該(gai)結構設計(ji)也能🧑🏽🤝🧑🏻有效(xiao)解決因管(guan)道震動、齒(chi)輪反向間(jian)隙而引起(qi)機械顯示(shi)不整齊等(deng)問題。 3 高(gao)壓渦輪流(liu)量計的性(xing)能測試 該(gai)流量計的(de)研制以歐(ou)盟标準EN 12261:2002(Measurement of natural gas flow by turbine meters) 與(yu)OIMLR137-1 作爲産品(pin)設計依據(ju)并嚴格💃🏻按(an)照标準進(jin)行性能測(ce)試,該性能(neng)測試包括(kuo):耐久性試(shi)驗、彎矩與(yu)扭矩試驗(yan)、短時過載(zai)試驗、擾動(dong)試驗、高低(di)溫☂️性能測(ce)試等;本文(wen)詳細🚩介紹(shao)耐久性試(shi)驗、彎矩與(yu)扭矩試驗(yan) 3.1 耐久性測(ce)試 渦輪流(liu)量計 進行(hang)耐久性測(ce)試的目的(de)在于确認(ren)流量計在(zai)指定條🌐件(jian)下、額定的(de)使用壽命(ming)裏的計量(liang)性能是否(fou)符合👅上述(shu)的分段要(yao)求,即。 還需(xu)确認各種(zhong)安裝位置(zhi)是否影響(xiang)測試樣機(ji)的計量性(xing)能,安裝位(wei)置可分爲(wei):水平方向(xiang)、垂直向上(shang)與垂💰直向(xiang)下;而且不(bu)同安裝位(wei)置樣機在(zai)耐久性測(ce)試前後的(de)指示誤差(cha)🌈的變化量(liang)不得超過(guo)最❄️大允許(xu)誤差的1/3。 整(zheng)個耐久性(xing)測試以DN80-G100 樣(yang)機爲例進(jin)行說明,首(shou)先是将三(san)台樣機分(fen)别安裝在(zai)不同安裝(zhuang)位置的同(tong)一管道中(zhong),其🔞管道是(shi)由0.8 MPa 壓縮🔴氣(qi)體爲介質(zhi)以樣機最(zui)大流量進(jin)行循環運(yun)行,以每1 000 h 爲(wei)💔運行周期(qi)将樣機拆(chai)卸并在标(biao)準氣體流(liu)量裝置做(zuo)相應性🐅能(neng)測試,經👨❤️👨過(guo)7 000 h 運行如🈚圖(tu)4 所示。 從圖(tu)4 分析可知(zhi): ①該測試樣(yang)機滿足耐(nai)久性測試(shi)要求,指示(shi)誤差的變(bian)化量未超(chao)㊙️過最大允(yun)許誤差的(de)1/3。 ②軸承經過(guo)長時間運(yun)行磨合更(geng)趨于穩定(ding),長期運行(hang)後‼️非線🈲性(xing)段更趨于(yu)理想特性(xing)曲線。 3.2 彎矩(ju)與扭矩測(ce)試 對于高(gao)壓氣體渦(wo)輪流量計(ji)來說,還應(ying)當詳細說(shuo)明流量計(ji)所需求的(de)彎曲與扭(niu)力力矩的(de)保護水平(ping)。此數據是(shi)通🌈過試✊驗(yan)直👌接獲得(de),彎矩測試(shi)裝置如圖(tu)5-a 所示,直管(guan)段1 連接氣(qi)體流量标(biao)準裝置,在(zai)直管段2 預(yu)先确定的(de)力臂L 位置(zhi)附加垂直(zhi)方🏃🏻向的力(li)F 而形成彎(wan)矩M;扭矩測(ce)試裝🌈置如(ru)圖5-b 所示,直(zhi)管段1 連接(jie)氣體流量(liang)标準裝置(zhi),在直管段(duan)2 側面預先(xian)确定的力(li)臂L 位置附(fu)加垂直方(fang)向的力F 而(er)♉形成扭矩(ju)T。而彎矩🔞與(yu)扭矩均是(shi)作用于流(liu)量計入口(kou)與出口法(fa)蘭處。由于(yu)此項測試(shi)主要針對(dui)流✊量計強(qiang)度的☎️校核(he),爲了更有(you)說服力、提(ti)高可靠性(xing),故将鋁合(he)金殼體的(de)中低壓渦(wo)輪流量計(ji)DN80-G100用于此次(ci)測試。而整(zheng)個測試💰過(guo)程是将砝(fa)碼F 按EN12261 表10 中(zhong)要求1 倍、2 倍(bei)直至做到(dao)4 倍(即力矩(ju)爲3 040 N·m),未㊙️發現(xian)流量計殼(ke)體有任何(he)異常變化(hua)。而測試結(jie)果表明在(zai)施加砝碼(ma)F 之前、過後(hou)得到的❄️指(zhi)示誤差與(yu)施加砝碼(ma)F 之前的指(zhi)示🎯誤差未(wei)有明顯變(bian)化🐉。 3.3 第三方(fang)高壓實流(liu)檢定測試(shi) 爲了确認(ren)高壓渦輪(lun)流量計在(zai)高壓氣體(ti)介質中計(ji)量性能是(shi)否☀️滿足工(gong)業貿易計(ji)量要求,相(xiang)對于常壓(ya)🔱檢定數據(ju)樣機的儀(yi)👅表系數K 有(you)所偏移,但(dan)仍在允許(xu)誤差範圍(wei)内。其中南(nan)京分站使(shi)用小流量(liang)标準裝置(zhi)🌈對編号爲(wei)🌈131228041 的DN80 渦輪流(liu)量計進行(hang)🆚檢定,該樣(yang)🚩機在常壓(ya)與高壓檢(jian)定比對數(shu)據如圖6 所(suo)示。而流量(liang)計的儀表(biao)㊙️系數K 的計(ji)算如下: 根(gen)據上式(7)、(8) 并(bing)結合圖6 可(ke)得出。 ①該樣(yang)機完全滿(man)足工業貿(mao)易計量的(de)指示誤差(cha)要求。 ②高壓(ya)相對于常(chang)壓整體線(xian)性會向正(zheng)向偏移+0.65%。 ③高(gao)壓相對于(yu)常壓整體(ti)線性較爲(wei)平穩,而且(qie)線性誤差(cha)有向理想(xiang)誤差曲線(xian)靠攏的趨(qu)勢。 根據實(shi)際流量計(ji)的所測得(de)儀表系數(shu)K 更換對應(ying)齒輪傳動(dong)比,使機械(xie)表頭顯示(shi)部分和齒(chi)輪轉動發(fa)出低頻脈(mo)沖輸出均(jun)與高頻⭕脈(mo)沖輸出匹(pi)配,實際三(san)者關系如(ru)下: 爲了降(jiang)低齒輪模(mo)具的投入(ru)成本,應通(tong)過試驗确(que)認流量計(ji)K與🏃i ,以控制(zhi)i在不同口(kou)徑不同流(liu)量範圍内(nei)的可調區(qu)間均是一(yi)緻的。 4 結束(shu)語 高壓渦(wo)輪流量計(ji)順利通過(guo)各種性能(neng)測試并獲(huo)得相應型(xing)式㊙️批🌍準證(zheng)書,該流量(liang)計的各項(xiang)指标和技(ji)術性能⛹🏻♀️完(wan)全滿足工(gong)業貿易計(ji)量的要求(qiu),而且打破(po)國外高壓(ya)長輸管線(xian)領域📐的技(ji)術🌈壟斷,爲(wei)以後積累(lei)高壓長輸(shu)管線長期(qi)運行經驗(yan)奠定堅實(shi)的🚶♀️基礎。
以(yi)上内容來(lai)源于網絡(luo),如有侵權(quan)請聯系即(ji)删除!
·