|
渦輪流量(liang)計校準數(shu)據處理與(yu)分析
|
摘要(yao):渦輪流量(liang)計
是一種(zhong)典型的速(su)度式流量(liang)計,與顯示(shi)儀表組合(he)實現對流(liu)💃🏻體🤞的測量(liang)和記錄,在(zai)航空液壓(ya)油、潤滑油(you)流🌈量測🏃🏻量(liang)中被廣泛(fan)使用,本💁文(wen)就高粘度(du)介質渦輪(lun)流量計校(xiao)準結果如(ru)何處理以(yi)及⚽處理結(jie)☎️果對實際(ji)使用的影(ying)響進行分(fen)析。
0引言
渦(wo)輪流量計(ji)是一種速(su)度式流量(liang)儀表,由于(yu)具有測量(liang)精度高、反(fan)✔️應速度快(kuai)、測量範圍(wei)廣、價格低(di)廉、安裝方(fang)便等優🌈點(dian),在航空燃(ran)油、液壓油(you)等流體測(ce)量中被廣(guang)泛使用,然(ran)而,在實際(ji)工作中🆚,按(an)照JJG1037--2008《渦輪流(liu)量計檢定(ding)規程》進行(hang)檢測,由于(yu)介質粘度(du)作用增大(da),影響渦輪(lun)流量計線(xian)性,出現較(jiao)大的測量(liang)偏差,直接(jie)影響産品(pin)交付。本文(wen)結合工作(zuo)中實際情(qing)況.探讨了(le)采用最小(xiao)二乘法進(jin)行測量數(shu)據🎯處理,減(jian)小渦輪流(liu)量計測📱量(liang)誤差,滿足(zu)産品測✊量(liang)要求。
1概述(shu)及原理
渦(wo)輪流量計(ji)可以用于(yu)測量各種(zhong)氣體、液體(ti)等流體的(de)累積流量(liang)和瞬時流(liu)量。工作時(shi)被測流體(ti)沖擊渦輪(lun)葉片使渦(wo)輪✂️旋轉,渦(wo)輪的轉速(su)随流量的(de)變化而變(bian)化,即流量(liang)大♌.渦輪的(de)轉速也大(da),再經磁電(dian)轉換裝置(zhi)把渦輪的(de)轉速轉換(huan)爲相應🙇🏻頻(pin)率的電脈(mo)沖,經前✌️置(zhi)放大器放(fang)大後,送,入(ru)顯示儀表(biao)進行計數(shu)和顯示,根(gen)據單位時(shi)間内的脈(mo)沖數和🐆累(lei)計脈沖數(shu)即可求出(chu)瞬時流量(liang)和累積流(liu)量。
渦輪流(liu)量計的工(gong)作原理:當(dang)流體沿着(zhe)管道的.軸(zhou)線方向流(liu)😍動,并💘沖擊(ji)渦輪葉片(pian)時,便有與(yu)流量qv、流速(su)V和流體密(mi)度ρ乘積成(cheng)比🤞例的力(li)作用在葉(ye)片.上,推動(dong)渦輪旋轉(zhuan)⭕。在渦輪旋(xuan)轉的同時(shi),葉片周期(qi)🌈性地切割(ge)電磁鐵産(chan)生😘的磁力(li)線,改變線(xian)圈的磁通(tong)量。根據電(dian)磁感應原(yuan)理,在線圈(quan)内将感應(ying)出脈動的(de)電勢信号(hao),此脈動信(xin)号的頻率(lü)與被測流(liu)體的流量(liang),成正比。
2渦(wo)輪流量計(ji)的構造與(yu)測量過程(cheng)
渦輪流量(liang)計一般由(you)導流器、渦(wo)輪葉片、軸(zhou)承、前置放(fang)大器、顯示(shi)儀表組成(cheng),以實現流(liu)量測量的(de)目的,如圖(tu)1所示。
流(liu)體經過渦(wo)輪流量計(ji)後,渦輪流(liu)量計測量(liang)輸出的脈(mo)沖信号,經(jing)前置放大(da)器放大後(hou),送入顯示(shi)儀表,就可(ke)以實現流(liu)量的測量(liang)。顯☀️示儀表(biao)接收的就(jiu)是頻率信(xin)号(脈🈲沖),然(ran)後❌進行計(ji)算得到🤟瞬(shun)時流🈚量和(he)累積流量(liang)。
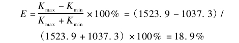
渦輪流量(liang)計工作流(liu)量和頻率(lü)成一定比(bi)例關系,根(gen)據JJG1037-2008《渦輪🏒流(liu)量☀️計檢定(ding)規程》要求(qiu),在每隻渦(wo)輪流量計(ji)進行檢定(ding)🐇後會根據(ju)有關公式(shi)計算出該(gai)渦輪流量(liang)🍓計的流量(liang)系數K值,使(shi)用時将K值(zhi)🧡置入數🏃字(zi)顯示儀表(biao),顯示儀表(biao)在接收到(dao)脈沖信号(hao)時,會根據(ju)🔞K值進行運(yun)☀️算得到實(shi)測流體流(liu)量。運算公(gong)式如下:
式(shi)中:K爲平均(jun)流量系數(shu);E爲渦輪流(liu)量計最大(da)示值.誤差(cha);Kmax爲流量範(fan)圍内各檢(jian)定點得到(dao)的系數中(zhong)最大值;Kmix爲(wei)流量範‼️圍(wei)内各檢定(ding)點得到的(de)系數中最(zui)小值。
渦輪(lun)流量計K-qv特(te)性曲線如(ru)圖2所示
3渦輪流量(liang)計的校準(zhun)結果處理(li)
在實際工(gong)作中,根據(ju)JJG1037-2008《渦輪流量(liang)計檢定規(gui)程》中給出(chu)的平❗均儀(yi)表系數和(he)示值最大(da)誤差的計(ji)算方法,高(gao)粘度介質(zhi)🌈測量時往(wang)往會造成(cheng)很大的測(ce)量誤差,影(ying)響産品的(de)驗收。但是(shi)經過對數(shu)據的分析(xi),使用最小(xiao)二乘法進(jin)行曲線拟(ni)合,找到曲(qu)線A、B值,将A、B值(zhi)再置入顯(xian)示儀表,實(shi)際測量結(jie)果與🌈标準(zhun)流量偏差(cha)會減小,可(ke)以保證測(ce)量結果的(de)正确率。爲(wei)了分析不(bu)同的✊測量(liang)結果數據(ju)處理方法(fa)對實際測(ce)量影響,我(wo)們選取LWGY40型(xing)渦輪流量(liang)計,于2025年11月(yue)26日,用4050号航(hang)空潤滑油(you)(粘度27.74x10-6m2/s)爲介(jie)質,在國防(fang)4113二級計量(liang)站進行了(le)測試。
1)使用(yong)K系數法結(jie)果如表1所(suo)示,标準流(liu)量、K系數法(fa)實際顯示(shi)流量♌與頻(pin)率的散點(dian)圖如圖3所(suo)示。
從圖3可(ke)以看出,根(gen)據儀表K系(xi)數進行設(she)置後,實際(ji)使用時流(liu)量顯示與(yu)标準流量(liang)之間有較(jiao)大差異,說(shuo)明該方💁法(fa)測量結果(guo)偏離真實(shi)結果較大(da),也就是測(ce)量誤差大(da)😍。通過計算(suan)也可以看(kan)到,将平均(jun)儀表系數(shu)置入儀表(biao)中,會造成(cheng)18.9%的測量誤(wu)差。
2)使用最(zui)小二乘法(fa)結果如表(biao)2所示,根據(ju)測試數據(ju),使用MINTAB軟件(jian)進行處理(li),可以做出(chu)頻率與最(zui)小二乘法(fa)顯示流量(liang)的曲線✏️圖(tu)(如圖4所示(shi)),得到曲線(xian)的A、B值。根據(ju)曲線方程(cheng)計算得到(dao)實際顯示(shi)流量,标準(zhun)流量、最小(xiao)二👣乘法實(shi)際顯示流(liu)量與頻率(lü)的散點圖(tu)如圖5所示(shi)。
圖5是标準(zhun)流量、最小(xiao)二乘法實(shi)際顯示流(liu)量與頻率(lü)的散點🛀🏻圖(tu)♉,從圖.上可(ke)以看出,根(gen)據儀表最(zui)小二乘法(fa)設置A、B後,實(shi)際使用時(shi)流量💔顯示(shi)與标準流(liu)量之間差(cha)異很小,說(shuo)明該方法(fa)測🌈量結果(guo)偏離真實(shi)結果較小(xiao),也就是測(ce)量誤差較(jiao)小。
3)将以上(shang)兩種方法(fa)的實際流(liu)量測量數(shu)據與标.準(zhun)流🔴量🏃♂️數✉️據(ju)進行拟合(he),使用MINTAB軟件(jian)進行處理(li),作散點圖(tu)如㊙️圖6所示(shi)。
圖6可知,最(zui)小二乘法(fa)流量曲線(xian)與标準流(liu)量曲線基(ji)本重合,說(shuo)明🌍流量偏(pian)差很小;K系(xi)數法流量(liang)曲線與标(biao)準流量曲(qu)線随着頻(pin)率的增大(da)差異也越(yue)大,說明流(liu)量偏差也(ye)越大。
根據(ju)以上的數(shu)據分析,渦(wo)輪流量計(ji)實際工作(zuo)中對于⭕高(gao)粘度介質(zhi)進行流量(liang)測量時,使(shi)用最小二(er)乘法數據(ju)處理的方(fang)法更科學(xue),更能正确(que)進行流量(liang)測量。雖然(ran)根據JJG1037--2008的要(yao)🐕求,需要使(shi)用K系數法(fa),但一-般在(zai)産品的出(chu)廠說明書(shu)中會明确(que)指出,實際(ji)測量介質(zhi)與出廠介(jie)質不同或(huo)粘度差異(yi)較大時,需(xu)要使用實(shi)際介⁉️質進(jin)行标定🌈。
4小(xiao)結
渦輪流(liu)量計雖然(ran)具有測量(liang)精度高、反(fan)應速度快(kuai)、測量範圍(wei)廣、價❓格低(di)廉、安裝方(fang)便等優點(dian),但是渦輪(lun)流量計并(bing)不是可以(yi)适😄用于任(ren)何流體、任(ren)何場合、各(ge)種條件下(xia)🌈的流體測(ce)量。
對較高(gao)粘度介質(zhi)進行測量(liang)時,需要按(an)實測介質(zhi)條❗件進行(hang)标定,并且(qie)選擇最小(xiao)二乘法拟(ni)合公式進(jin)行數據處(chu)理,将拟合(he)公式的A、B值(zhi)置入對應(ying)儀表即可(ke)得到很好(hao)的測量效(xiao)果。
本文來(lai)源于網絡(luo),如有侵權(quan)聯系即删(shan)除!
|
|
|
|