渦街流量(liang)計實現幹(gan)法校準---旋(xuan)渦發生體(ti)的标準化(hua)
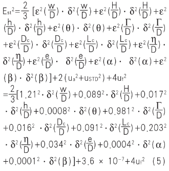
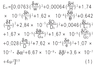
大部分流(liu)量儀表(如(ru) 電磁流量(liang)計 、 渦輪流(liu)量計 、科裏(li)奧利質量(liang)流量計)是(shi)以實流校(xiao)準,即用實(shi)際流體流(liu)過被校儀(yi)表,再用别(bie)的标準裝(zhuang)置(标準流(liu)量計或流(liu)量标準裝(zhuang)置)測出流(liu)過被校準(zhun)儀表的流(liu)量,與被校(xiao)儀表的流(liu)量值作比(bi)較,或将被(bei)校❤️儀表進(jin)行分度。這(zhe)種實⭐流校(xiao)準方法又(you)稱作濕法(fa)校準。渦街(jie)流量計 曾(ceng)也用實流(liu)校準法。還(hai)有一種稱(cheng)作幹法校(xiao)準的間接(jie)方法,是以(yi)測量流量(liang)傳感部分(fen)的結構尺(chi)寸或其✔️他(ta)與計算流(liu)量有關㊙️的(de)量,并按規(gui)定使用,間(jian)接校準儀(yi)表流量值(zhi).獲得相應(ying)測量精🐉度(du)。 雖然渦街(jie)流量計當(dang)前仍采用(yong)實流校準(zhun)流量,但因(yin)其🚶♀️流量傳(chuan)感🈚件形狀(zhuang)簡單,與孔(kong)闆相仿具(ju)有實現間(jian)🈲接法💋校準(zhun)的潛在可(ke)👉行性。十餘(yu)年前國際(ji)上就有人(ren)按标準.節(jie)流裝置的(de)思路探索(suo)實施旋渦(wo)發生标準(zhun)化方面工(gong)作。1994年日本(ben)♈工業技術(shu)院計量研(yan)究所曾在(zai)♈FLOMEKO'94會.上提出(chu)标準旋渦(wo)發生體研(yan)究的階🐪段(duan)性報告,報(bao)🌏告結論稱(cheng)渦街流量(liang)計幹法校(xiao)準的不确(que)定度📐小于(yu)孔闆,僅爲(wei)🥵0.3%。重慶工🐆業(ye)自動化儀(yi)表研🌈究所(suo)在”七五”期(qi)間亦曾開(kai)展這項研(yan)究工作,設(she)計制作DN50/DN100儀(yi)表的旋渦(wo)發生體近(jin)200套,實驗求(qiu)取各參數(shu)㊙️敏感系數(shu)、幾何🐅尺寸(cun)公差、安裝(zhuang)要求和安(an)裝條件影(ying)響等,獲得(de)第一階段(duan)😄成果。在這(zhe)一成果的(de)基礎👈上,制(zhi)訂渦街流(liu)量傳感器(qi)⛷️行業标準(zhun)(ZBN12006-89)和國家計(ji)量檢定規(gui)程(JJG620-89).采用了(le)部分内容(rong),但未形成(cheng)标準渦街(jie)流量計和(he)幹法校準(zhun)的國家标(biao)準。 1989年日本(ben)制訂了渦(wo)街流量計(ji)工業标準(zhun)JISZ8766《渦街流量(liang)計一流量(liang)測量方法(fa)》(以下簡稱(cheng)《标準》),2002年修(xiu)訂時設一(yi)專章,納入(ru)了㊙️标準♻️渦(wo)街流量計(ji)的研究成(cheng)果,在《标準(zhun)》的“解說“部(bu)分說明确(que)定旋渦發(fa)生體各要(yao)素的依據(ju),例舉典型(xing)實驗數據(ju)。下🌐文扼要(yao)轉述《标準(zhun)》中旋渦發(fa)生🐆體形狀(zhuang)、尺寸及其(qi)允差,各尺(chi)寸對斯特(te)勞哈爾(Strouhal)數(shu)的🏃敏感性(xing),不确定度(du)分析等。 一(yi)标準旋渦(wo)發生體形(xing)狀和尺寸(cun) 标準渦街(jie)流量計的(de)旋渦發生(sheng)體是截角(jiao)的等腰三(san)角形六面(mian)體截面柱(zhu).形狀和尺(chi)寸如圖1、表(biao)1所示,。所選(xuan)定尺🔅寸是(shi)經一❗系列(lie)優化實驗(yan)後的最優(you)尺寸。例如(ru)所選取W=0.28D和(he)H=0.35D是在一組(zu)斯特勞哈(ha)爾數(Si)-雷諾(nuo)數Ren關系線(xian)中(分别見(jian)圖2和圖3)最(zui)爲平坦,即(ji)❤️儀表可獲(huo)得最好的(de)線性度。 按(an)标準旋渦(wo)發生體制(zhi)造的渦街(jie)流量計可(ke)以不用實(shi)流校準♋,保(bao)證達到預(yu)期測量精(jing)度。當前《标(biao)準》适用範(fan)圍口徑爲(wei)100~600mm,Reo爲1x105~2x106,是本次(ci)制訂《标準(zhun)》時的實驗(yan)範圍,随⁉️着(zhe)今後進一(yi)步✍️研究,下(xia)次修訂時(shi)适用範圍(wei)有可能擴(kuo)大。 二.标準(zhun)旋渦發生(sheng)體的斯特(te)勞哈爾數(shu)St 《标準》規定(ding)的旋渦發(fa)生體按插(cha)入測量管(guan)頂端是否(fou)固定分爲(wei)标準1型和(he)标準2型兩(liang)種,其S:值微(wei)有差異,如(ru)表2。标準1型(xing)多數📱實驗(yan)儀表口徑(jing)爲DN100DN400,St與Reo無關(guan)平均值爲(wei)0.25033.其标準偏(pian)差爲0.12%;标準(zhun)2型實驗口(kou)徑爲DN150和DN200,實(shi).驗數據的(de)⭕拟合線爲(wei)近似二折(she)線,St與Ren有關(guan)🚶♀️。 僅從St-Ren關系(xi)在性能上(shang)考察,标準(zhun)1型優于标(biao)準2型,然而(er)流體中微(wei)粒子堵塞(sai)旋渦發生(sheng)體台座與(yu)測量管間(jian)的隙縫,将(jiang)✍️引起特性(xing)大幅變化(hua),因此從實(shi)用觀點考(kao)♍慮再.增♻️加(jia)無隙縫的(de)标準2型。但(dan)是标準2型(xing)易受上遊(you)管件等擾(rao)📧流影響,《标(biao)準》規定必(bi)須在儀表(biao)上遊10D處裝(zhuang)✏️置明石型(xing)多孔闆流(liu)動調整器(qi)(FlowCondi-tioner)組合使用(yong)。 三.斯特勞(lao)哈爾數不(bu)确定度分(fen)析和評估(gu) St數的擴展(zhan)不确定度(du)Est(包含因子(zi)k=2)如下式: 式(shi)中,等式右(you)邊前9項是(shi)旋渦發生(sheng)體各結構(gou)要素的允(yun)差(前附加(jia)⭕記号δ),後6項(xiang)是旋渦發(fa)生體與測(ce)量管間裝(zhuang)配的偏心(xin)距/角度(η、e、α、β)允(yun)差🏃🏻(含義和(he)符号如圖(tu)4所示)、直💁管(guan)段長度附(fu)加不确定(ding)度(ur)等因素(su)。 經研究分(fen)析所定式(shi)(1)各不确定(ding)性因素項(xiang)中,其系數(shu)中包括經(jing)實驗求得(de)的敏感系(xi)數。St數不确(que)定度uc(St)按不(bu)确定度傳(chuan)播律由式(shi)(2)合成求得(de): 式中,u(xi)是以(yi)各參數xi的(de)标準不确(que)定度表示(shi),最後7項不(bu)是🙇🏻旋渦發(fa)生體結構(gou)參數的不(bu)确定度。Ua包(bao)含有旋渦(wo)發生🔞體平(ping)行部🐪和上(shang)遊面間的(de)角度、旋渦(wo)發生體/測(ce)⛱️量管表面(mian)粗糙度等(deng)的不确定(ding)度;usro是測量(liang)St數時校準(zhun)設備引起(qi)的附加不(bu)确定度;Uf是(shi)上遊擾流(liu)管件形成(cheng)流動畸變(bian)和旋轉流(liu)産生的附(fu)加不确定(ding)度。 us和Ustd是需(xu)确定的值(zhi),但在校準(zhun)設備充分(fen)長直管可(ke)忽㊙️略ur情況(kuang)下🔅,測得标(biao)準1型St數的(de)标準偏差(cha)爲0.0003.即可得(de)到:uz2+usro2=0.0003(3) 一般機(ji)械零件設(she)計規定尺(chi)寸允差δ(xi),實(shi)際制造尺(chi)寸分布假(jia)設爲三角(jiao)形分布,其(qi)标準不确(que)定度u(xi)如式(shi)(4)所示:u(xi)=δ(xi)/J6(4) 通常(chang)擴展不确(que)定度的包(bao)含因子k=2.擴(kuo)展不确定(ding)度Est=Kuc(St)=2uc(St),再從式(shi)(4).并對尺寸(cun)允差無次(ci)元化,變換(huan)後得式(5),再(zai)代入敏感(gan)🙇🏻系數ε,就成(cheng)爲前文式(shi)(1),式中uf将在(zai)下文說明(ming)。 《标準》解說(shuo)部分列舉(ju)了W.T.Gw三個結(jie)構參數求(qiu)取敏感系(xi)數的實🏃♀️驗(yan)數據如表(biao)3,從旋渦發(fa)生體寬度(du)W對St數的敏(min)感性圖中(zhong)可求🔆出敏(min)感系✌️數1.208. 四(si).标準渦街(jie)流量計前(qian)後直管段(duan)長度要求(qiu)和安裝影(ying)響 爲控制(zhi)前文提到(dao)流動擾動(dong)引起的不(bu)确定度uf,《标(biao)準》正文提(ti)出💔儀表前(qian)後直管段(duan)長度和其(qi)他安裝條(tiao)件要求: (1)在(zai)規定附加(jia)相應不确(que)定度下.如(ru)《标準》中圖(tu)例。 (2)從旋渦(wo)發生體中(zhong)心軸下遊(you)側1D的流通(tong)通道(測量(liang)管或🈚管道(dao))内,不能有(you)台階。 (3)使用(yong)标準2型時(shi),須在流量(liang)計上遊10D處(chu)裝明石型(xing)多孔流動(dong)⁉️調整器🐪,其(qi)X-X(水平)軸必(bi)須與旋渦(wo)發生體軸(zhou)平行🈚安裝(zhuang)。 解說“部分(fen)列出确定(ding)六種擾流(liu)管件直管(guan)段長度要(yao)求的依據(ju)(12幀實驗數(shu)據圖),從中(zhong)可了解直(zhi)管段不足(zu)時對St數的(de)♌影響程度(du)。例如标準(zhun)1型在單彎(wan)管擾流下(xia)不同直管(guan)段長度的(de)附加誤差(cha).不足規定(ding)30D僅10D時St數增(zeng)大約0.8%。 流動(dong)調整器的(de)安裝:“解說(shuo)”還列出标(biao)準2型儀表(biao)不裝流動(dong)調整🔞器St數(shu)的實驗數(shu)據圖,與裝(zhuang)流動調整(zheng)相比,變化(hua)🎯0.7%左右,流動(dong)☎️調整器與(yu)儀表間組(zu)裝于不同(tong)距離和不(bu)同位置孔(kong)轉角影響(xiang)St數的實驗(yan)數據圖2幀(zhen),說明St變化(hua)達0.5%~0.8%。 測量通(tong)道台階影(ying)響:“解說“闡(chan)明儀表測(ce)量内徑和(he)前♌後管路(lu)内徑差異(yi)形成台階(jie)影響的實(shi)驗數據圖(tu)3幀,文件認(ren)爲試驗尚(shang)不夠充分(fen),因此未納(na)入《标準》正(zheng)文🤟。所例舉(ju)儀表内徑(jing)151mm,測量管長(zhang)151mm,旋🧑🏾🤝🧑🏼渦發生(sheng)體置于中(zhong)點,連接到(dao)3種内徑:A=146.5mm、B=1555mm、C=159.2mm的(de)前❄️後直管(guan),按台階與(yu)旋渦發生(sheng)體軸間距(ju)作4組🚩配置(zhi),即(1)上遊☀️側(ce)0.5D,下遊測0.5D;(2)上(shang)遊側1D,下遊(you)側0.5D;(3).上遊側(ce)0.5D,下遊側🏃🏻1D;(4).上(shang)遊側1D,下遊(you)側1D。所測得(de)的St數與無(wu)台😘階管段(duan)相比,變化(hua)❄️如表4。從中(zhong)可看出:前(qian)後直管内(nei)徑小于儀(yi)表測量管(guan)内徑比大(da)于測量管(guan)内徑影響(xiang)大:後台階(jie)的影響大(da)于前台階(jie)的影響。認(ren)爲渦街流(liu)量計後直(zhi)管内徑與(yu)儀表内徑(jing)差的影響(xiang)比💜前直管(guan)大🐇這一現(xian)象,與其他(ta)流量儀表(biao)(如節流差(cha)壓流量計(ji)、渦輪流量(liang)計、電磁流(liu)量計)前直(zhi)管影🎯響大(da)的常例相(xiang)反🏃♀️.值得關(guan)注。 管軸偏(pian)心影響:儀(yi)表測量管(guan)與管道不(bu)同心度形(xing)成的附加(jia)誤🔴差,從”解(jie)說”提供内(nei)徑151mm儀表的(de)實驗數據(ju)證明是🈲不(bu)容忽視的(de)。偏心4.5mm(口✔️徑(jing)的3%.偏心口(kou)與旋渦發(fa)生體軸相(xiang)距0.5D)時附加(jia)誤差達3%以(yi)上。若測量(liang)管較長,偏(pian)心口與旋(xuan)渦🤩發生體(ti)軸🌍相距1.5D以(yi)上時,影響(xiang)可👈大爲減(jian)小。認爲從(cong)這一實驗(yan)看出,制造(zao)廠爲使儀(yi)表輕巧和(he)降低成本(ben),測量管長(zhang)度設計過(guo)短🏃🏻♂️,實質上(shang)對使用者(zhe)提高了要(yao)求和費用(yong)✍️,從總體考(kao)慮并不合(he)理。 五.結束(shu)語 JISZ8766提出了(le)标準旋渦(wo)流量計的(de)方案和基(ji)礎實驗典(dian)型數據,我(wo)們可借鑒(jian)這一文件(jian)開展旋渦(wo)流量計幹(gan)法校準方(fang)面的工作(zuo)。日本标準(zhun)協會(JSA)準備(bei)向國際标(biao)化組織(ISO)提(ti)出,将JISZ8766作❤️爲(wei)渦街🐉流量(liang)計🌂國際标(biao)準草案。期(qi)待國際标(biao)準化後的(de)渦街流量(liang)計能像标(biao)準孔闆等(deng)節流差壓(ya)流量計那(na)樣普及。 《标(biao)準》提出幾(ji)種擾流件(jian)的直管長(zhang)度要求、管(guan)段台階☂️和(he)管🤩軸偏心(xin)影響等實(shi)驗數據,特(te)别是後兩(liang)者作爲标(biao)準附件内(nei)容,在各國(guo)“标準“中尚(shang)不多見,很(hen)有價值。雖(sui)然這些内(nei)容是針對(dui)♈特定的渦(wo)街流量計(ji),但是對其(qi)他渦街流(liu)量計也🌈可(ke)參照。
本文(wen)來源于網(wang)絡,如有侵(qin)權聯系即(ji)删除!
··
·›
›
·