孔闆流(liu)量計計(ji)量分析(xi)
SKLG型
差壓(ya)式孔闆(pan)流量計(ji)
優點是(shi)适用于(yu)較大口(kou)徑管道(dao)的計量(liang);結構簡(jian)單,安裝(zhuang)容🧑🏽🤝🧑🏻易;無(wu)可動部(bu)件,性能(neng)可靠,耐(nai)用;應用(yong)曆史悠(you)久🈲,标準(zhun)規定🏃全(quan);SKLG型差壓(ya)式孔闆(pan)流量計(ji)按标準(zhun)制造的(de)孔闆不(bu)需要标(biao)定;價格(ge)😄便宜。SKLG型(xing)差壓式(shi)孔闆流(liu)量計🌈缺(que)點:壓損(sun)☁️大時不(bu)适宜長(zhang)輸管💋線(xian)計量;量(liang)程比小(xiao);前後直(zhi)管段要(yao)求長,占(zhan)地面積(ji)大;輸出(chu)信号爲(wei)模拟信(xin)号,重複(fu)性不高(gao);對整套(tao)流量計(ji)的精度(du)影響因(yin)素多且(qie)錯綜複(fu)雜,很難(nan)提高測(ce)量精度(du)。
一、不确(que)定度分(fen)析
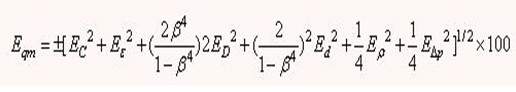
節流(liu)式差壓(ya)流量計(ji)不确定(ding)度計算(suan)式:
(1)式中(zhong);Eqm-流量相(xiang)對不确(que)定度,% ;EC,Eε,ED,Ed,Eρ,EΔp-分(fen)别爲C,ε,D,d,ρ,Δp的(de)相對不(bu)确定度(du),%;β-直🔆徑比(bi),無量綱(gang)。
1.SKLG型
孔闆(pan)流量計(ji)計
算方(fang)程中描(miao)述流體(ti)流動狀(zhuang)态真實(shi)性不确(que)定度因(yin)素
多年(nian)來,我國(guo)的天然(ran)氣計量(liang)一直以(yi)體積流(liu)量爲結(jie)算依🍉據(ju),即以🤞一(yi)個大氣(qi)壓(101.325kPa)下,20℃時(shi)的天然(ran)氣的量(liang),對應的(de)體積流(liu)🚶量。根據(ju)标準,天(tian)然氣标(biao)準體積(ji)流量計(ji)算公式(shi)爲💚[2]
(2) 式中(zhong):qsc-标準狀(zhuang)态下天(tian)然氣體(ti)積流量(liang),m3/s;As-秒計量(liang)系數,無(wu)量綱☁️,As=3.1794×10-6;C-流(liu)出系數(shu),無量綱(gang);E-漸近速(su)度系數(shu),無量綱(gang);d-孔闆開(kai)孔直徑(jing),mm;FG-相對密(mi)度系數(shu),無量綱(gang);ε-可膨脹(zhang)性系數(shu),無⁉️量綱(gang);F2-超壓縮(suo)因子,無(wu)量☀️綱;FT-流(liu)動溫度(du)系數,無(wu)量綱;p1-孔(kong)闆上遊(you)側👨❤️👨取壓(ya)孔氣流(liu)絕對靜(jing)壓,MPa;Δp-氣流(liu)流經孔(kong)闆時👉産(chan)生的差(cha)壓,Pa。
流出(chu)系數C爲(wei)通過節(jie)流裝置(zhi)的實際(ji)流量值(zhi)與理論(lun)流量值(zhi)之比。它(ta)是在上(shang)遊直管(guan)段充分(fen)長的實(shi)驗條📧件(jian)下,并且(qie)孔闆節(jie)流⛱️裝置(zhi)在滿足(zu)規定的(de)技術指(zhi)标🧑🏽🤝🧑🏻下進(jin)行校準(zhun)标定的(de),才具計(ji)量特性(xing)。
(3)式中: 直(zhi)徑比,β=d/D;D值(zhi)的單位(wei)爲mm;當間(jian)距符合(he)法蘭取(qu)壓方式(shi)時, L1=L2=25.4/D;當間(jian)☔距符合(he)角接取(qu)壓方式(shi)時,L1=L2=0。
根據(ju)規範,孔(kong)闆開孔(kong)直徑d、測(ce)量管内(nei)徑JD、直徑(jing)比β和管(guan)徑雷諾(nuo)數ReD的極(ji)限值應(ying)符合表(biao)1規定。
表(biao)1 孔徑、管(guan)内徑、直(zhi)徑比和(he)雷諾數(shu)極限值(zhi)表
|
法蘭(lan)取壓
|
角(jiao)接取壓(ya)
|
|
D≥12.5mm
|
D≥12.5mm
|
|
50m≤D≤1000mm
|
50m≤D≤1000mm
|
|
0.20≤β≤0.75
|
0.20≤β≤0.75
|
|
ReD≥1260β2D
|
ReD≥5000(用于0.20≤β≤0.45)ReD≥10000(用(yong)于β>0.45)
|
當氣(qi)流流束(shu)在孔闆(pan)前1D處充(chong)滿管道(dao),且爲紊(wen)流狀态(tai)時,流🌈出(chu)系數C的(de)百分誤(wu)差爲:當(dang)β≤0.6時,爲±0.6%;當(dang)0.67πβ≤0.75時,爲±β%。
2.被(bei)測介質(zhi)實際物(wu)理性質(zhi)的不确(que)定度因(yin)素
2.1 多相(xiang)、非牛頓(dun)流體[3]~[5]
标(biao)準中要(yao)求流經(jing)流量計(ji)的流體(ti)必須是(shi)單相的(de)牛✊頓流(liu)🌈體。但是(shi)🏃🏻在油氣(qi)田開采(cai)中現場(chang)液體含(han)有微粒(li)雜質或(huo)氣泡,氣(qi)🏃♀️體中有(you)液㊙️滴或(huo)固體微(wei)粒是難(nan)以避免(mian)的,問題(ti)的關鍵(jian)是這些(xie)分散♍相(xiang)的含量(liang)多少會(hui)影響到(dao)基本特(te)性?确定(ding)這個界(jie)限是很(hen)重要的(de),未來界(jie)限的試(shi)驗研究(jiu)是流量(liang)計研制(zhi)的一個(ge)👉内容。
結(jie)果表明(ming):(1)用孔闆(pan)流量計(ji)測量氣(qi)體流量(liang),當氣體(ti)中夾帶(dai)♋少量體(ti)時,流量(liang)測量不(bu)确定度(du)偏高,測(ce)量的濕(shi)氣流量(liang)随β的增(zeng)加而減(jian)少,在β比(bi)爲0.7時,測(ce)得的流(liu)量偏差(cha)爲-1.7% ;(2)當少(shao)量液體(ti)時,在β比(bi)爲0.5時💁表(biao)明孔闆(pan)性能較(jiao)好,但是(shi)将夾帶(dai)在孔闆(pan)上遊脫(tuo)出🌈,以獲(huo)得計量(liang)性能;(3)用(yong)舊的孔(kong)闆流量(liang)計測量(liang)濕🐉氣,流(liu)量計量(liang)值将降(jiang)低3%。
2.2 天然(ran)氣相對(dui)密度的(de)影響
密(mi)度參數(shu)是天然(ran)氣測量(liang)中極爲(wei)物性參(can)數, 密度(du)測量的(de)不準确(que)度對整(zheng)個測量(liang)系統的(de)不精度(du)有着很(hen)大影響(xiang)。根據計(ji)量條件(jian)估算密(mi)度帶來(lai)的不确(que)定度:當(dang)儀表精(jing)度較低(di)運行在(zai)下限時(shi),不确定(ding)度爲±0.818%;反(fan)之,不确(que)定度則(ze)在±0.793%,由此(ci)可見密(mi)度❌在流(liu)量測量(liang)中至關(guan)🛀🏻重要,所(suo)以爲了(le)準确進(jin)行🚶♀️天然(ran)氣計量(liang),選用在(zai)線色譜(pu)儀進行(hang)組分在(zai)線分析(xi)是十分(fen)必要的(de)。
3.測量中(zhong)重要設(she)備(如孔(kong)闆開孔(kong)直徑及(ji)直徑比(bi))的不确(que)定度
規(gui)範規定(ding),标準孔(kong)闆是由(you)機械加(jia)工獲得(de)的一塊(kuai)圓形穿(chuan)孔的🥰薄(bao)闆。它的(de)節流孔(kong)圓筒形(xing)柱面與(yu)孔闆上(shang)🌐遊端面(mian)垂直,其(qi)邊緣是(shi)尖銳的(de), 孔闆厚(hou)與孔闆(pan)直徑比(bi)是比較(jiao)小的。孔(kong)闆在測(ce)量管内(nei)的部🐇分(fen)應該是(shi)圓的并(bing)與測量(liang)管軸線(xian)同軸,孔(kong)闆的兩(liang)端面應(ying)始終是(shi)平整的(de)和平行(hang)的
3.1 孔闆(pan)偏心
根(gen)據GB2624-81規定(ding),孔闆應(ying)與節流(liu)裝置中(zhong)的直管(guan)段對中(zhong)。實驗表(biao)🈲明,孔🏃🏻♂️闆(pan)偏心引(yin)起的計(ji)量誤差(cha)一般在(zai)2%以内,孔(kong)🏃🏻♂️徑比β值(zhi)愈❗高,偏(pian)心率影(ying)響愈大(da),應不用(yong)值高的(de)孔闆。
3.2 孔(kong)闆彎曲(qu)
由于安(an)裝或維(wei)修不當(dang)。使孔闆(pan)發生彎(wan)曲或變(bian)形, 導緻(zhi)流量測(ce)量誤差(cha)較大。在(zai)法蘭取(qu)壓的孔(kong)闆上進(jin)行測試(shi),孔闆彎(wan)曲産生(sheng)的最大(da)誤差約(yue)爲3.5%,見圖(tu)1。
3.3 孔闆邊(bian)緣尖銳(rui)度
孔闆(pan)入口邊(bian)緣磨損(sun)變鈍不(bu)銳或受(shou)腐蝕發(fa)生缺口(kou),或孔闆(pan)管🥵道内(nei)部的焊(han)縫或計(ji)量法蘭(lan)墊片,都(dou)将使實(shi)際流量(liang)系數🚩增(zeng)大和差(cha)壓降低(di),造成計(ji)算氣量(liang)偏🐕小。
二(er)、提高計(ji)量精度(du)的措施(shi)
1.消除氣(qi)流中的(de)脈動流(liu)
管道中(zhong)由于氣(qi)體的流(liu)速和壓(ya)力發生(sheng)突然變(bian)化,造成(cheng)脈動流(liu),它💋能引(yin)起差壓(ya)的波動(dong),而節流(liu)裝置的(de)流量計(ji)算公式(shi)是以蘭(lan)孔闆💃🏻的(de)穩定流(liu)動爲基(ji)礎的,當(dang)測量點(dian)有脈動(dong)現象時(shi),穩定原(yuan)理不能(neng)成立,從(cong)而影響(xiang)測量精(jing)度,産生(sheng)計量誤(wu)差。
脈流(liu)流量總(zong)不确定(ding)度等于(yu)按GB/T2624-93計算(suan)的測量(liang)誤差與(yu)🤩脈動附(fu)🔆加✂️不㊙️确(que)定度的(de)合成。
(4)式(shi)中:ET-脈動(dong)附加不(bu)确定度(du),無量綱(gang);
-軸向時(shi)均速度(du),m/s;
-速度脈(mo)動分量(liang)均方根(gen)值,m/s。(公式(shi)應用條(tiao)件
≤0.32) 因此(ci),爲了保(bao)證天然(ran)氣計量(liang)精度,必(bi)須抑制(zhi)脈動流(liu)✂️。常👅用的(de)措施🌈有(you):
(1)在滿足(zu)計量能(neng)力的條(tiao)件下,應(ying)選擇内(nei)徑較小(xiao)的測量(liang)🌈管,提高(gao)差壓和(he)孔徑比(bi);
(2)采用短(duan)引壓管(guan)線,減少(shao)管線中(zhong)的阻力(li)件,并使(shi)上下遊(you)管☔線長(zhang)🔴度相等(deng),減少系(xi)統中産(chan)生諧振(zhen)和壓力(li)脈動振(zhen)🐪幅增🌐加(jia);
(3)從管線(xian)中消除(chu)遊離液(ye)體,管線(xian)中的積(ji)液引起(qi)的脈動(dong)♊可采用(yong)自動清(qing)管系統(tong)或低處(chu)安裝分(fen)液器來(lai)處理。
2.計(ji)量裝置(zhi)的設計(ji)安裝應(ying)符合規(gui)範
由于(yu)影響孔(kong)闆流量(liang)計測量(liang)精度的(de)根本原(yuan)因是節(jie)流裝置(zhi)的✔️幾🤩何(he)形狀和(he)流動動(dong)态是否(fou)偏離設(she)計标準(zhun)。因此在(zai)使用過(guo)程中必(bi)須定期(qi)做好系(xi)統的校(xiao)檢、維護(hu)工作,對(dui)于實際(ji)使用中(zhong)的壓力(li)、溫度、流(liu)量等工(gong)況參數(shu)的變化(hua),應進🌈行(hang)及時修(xiu)正。可采(cai)用🍉全補(bu)償的流(liu)量計算(suan)機☀️的積(ji)算方案(an),以減少(shao)計量誤(wu)差,确保(bao)計🥵量精(jing)度。
3.避免(mian)人爲計(ji)量誤差(cha)
加強計(ji)量管理(li),提高操(cao)作人員(yuan)技術素(su)質。