摘要(yao):在硫(liu)磺回(hui)收的(de)工藝(yi)裝置(zhi)中,由(you)于測(ce)量特(te)殊酸(suan)性氣(qi)體的(de)質量(liang)流量(liang)較困(kun)難,提(ti)出了(le)具有(you)可測(ce)量相(xiang)🌈對分(fen)子質(zhi)量,能(neng)夠應(ying)對多(duo)組分(fen)氣體(ti)并通(tong)過壓(ya)力補(bu)償,以(yi)及溫(wen)度補(bu)償計(ji)算的(de)氣體(ti)超聲(sheng)波流(liu)量計(ji)
測量(liang)方案(an)。介紹(shao)了硫(liu)磺回(hui)收工(gong)藝裝(zhuang)置中(zhong)氣體(ti)流量(liang)的特(te)點🏃♂️、氣(qi)體🧡超(chao)聲波(bo)流量(liang)計原(yuan)理以(yi)及安(an)裝設(she)計、出(chu)🙇🏻現的(de)問題(ti)及技(ji)術改(gai)造,爲(wei)💛同類(lei)型裝(zhuang)置提(ti)供參(can)考和(he)選擇(ze)。
随着(zhe)中國(guo)煉化(hua)一體(ti)化項(xiang)目的(de)快速(su)發展(zhan),硫磺(huang)回收(shou)裝置(zhi)規模(mo)快速(su)增大(da)及套(tao)數不(bu)斷增(zeng)多,同(tong)時國(guo)家對(dui)化工(gong)裝置(zhi)清潔(jie)生産(chan)、環保(bao)排放(fang)的要(yao)求更(geng)加嚴(yan)苛,作(zuo)🚶♀️爲煉(lian)化一(yi)體化(hua)項目(mu)配套(tao)環保(bao)裝置(zhi),硫磺(huang)回收(shou)裝置(zhi)的重(zhong)要性(xing)不言(yan)而喻(yu)🚶♀️。作爲(wei)硫磺(huang)回收(shou)裝置(zhi)主進(jin)料,酸(suan)性氣(qi)體積(ji)流🧑🏾🤝🧑🏼量(liang)的測(ce)量要(yao)求穩(wen)定且(qie)精度(du)高,關(guan)系到(dao)酸性(xing)氣與(yu)燃燒(shao)空氣(qi)、燃料(liao)氣的(de)配比(bi)控制(zhi),對裝(zhuang)置安(an)🌍全穩(wen)定長(zhang)周期(qi)運行(hang)至關(guan)重要(yao)。
1硫磺(huang)回收(shou)裝置(zhi)簡介(jie)
16Mt/a煉化(hua)一體(ti)化配(pei)套建(jian)設總(zong)規模(mo)爲4X0.15Mt/a硫(liu)磺回(hui)收裝(zhuang)置,硫(liu)磺回(hui)收裝(zhuang)置配(pei)套尾(wei)氣處(chu)理設(she)施以(yi)保證(zheng)硫回(hui)收率(lü)達到(dao)99.99%以上(shang),SO2排放(fang)質量(liang)濃度(du)🐪ρ(SO2)<35mg/m3的要(yao)求。
硫(liu)磺回(hui)收裝(zhuang)置三(san)級克(ke)勞斯(si)工藝(yi)流程(cheng)如圖(tu)1所示(shi)。硫磺(huang)回收(shou)裝🐇置(zhi)采用(yong)三級(ji)常規(gui)克勞(lao)斯主(zhu)燃燒(shao)爐和(he)氨法(fa)煙氣(qi)脫硫(liu)工藝(yi),并煙(yan)氣排(pai)放ρ(SO2)≤35mg/m3的(de)超潔(jie)淨排(pai)放的(de)措施(shi),适應(ying)🐇将來(lai)更嚴(yan)格的(de)🌐環保(bao)要求(qiu)。
2硫磺(huang)回收(shou)裝置(zhi)酸性(xing)氣流(liu)量的(de)特點(dian)
主燃(ran)燒爐(lu)有三(san)路酸(suan)性氣(qi),分别(bie)是從(cong)溶劑(ji)再生(sheng)及加(jia)氫酸(suan)性水(shui)汽🧑🏾🤝🧑🏼提(ti)來的(de)清潔(jie)酸性(xing)氣、非(fei)加氫(qing)酸性(xing)水汽(qi)提來(lai)的含(han)氨酸(suan)性氣(qi)、IGCC裝置(zhi)(即氣(qi)化裝(zhuang)置、淨(jing)化裝(zhuang)置、甲(jia)烷化(hua)裝置(zhi)及清(qing)潔中(zhong)心🚩)來(lai)的IGCC酸(suan)性氣(qi),三☁️路(lu)酸性(xing)氣經(jing)分液(ye)罐氣(qi)液分(fen)離後(hou),部分(fen)清潔(jie)酸性(xing)氣與(yu)IGCC酸性(xing)氣混(hun)♻️合,經(jing)加熱(re)後再(zai)與含(han)氨酸(suan)性氣(qi)混合(he),進🤩入(ru)主燃(ran)燒爐(lu)反應(ying)室的(de)主燃(ran)燒器(qi),剩餘(yu)部分(fen)的清(qing)潔酸(suan)性氣(qi)從主(zhu)燃燒(shao)爐中(zhong)部進(jin)入。與(yu)酸性(xing)氣燃(ran)燒反(fan)應所(suo)需的(de)燃燒(shao)空氣(qi)供給(gei)量需(xu)根據(ju)主燃(ran)燒爐(lu)反應(ying)需氧(yang)量通(tong)過比(bi)值複(fu)雜調(diao)節嚴(yan)格控(kong)制㊙️,經(jing)燃燒(shao)🙇♀️将酸(suan)性氣(qi)中的(de)氨和(he)烴類(lei)等有(you)機物(wu)全部(bu)分解(jie),在燃(ran)燒爐(lu)内大(da)部分(fen)H2S進行(hang)🌈高溫(wen)克勞(lao)斯🐕反(fan)應後(hou)轉化(hua)爲硫(liu),餘下(xia)的H2S中(zhong)小部(bu)分轉(zhuan)化爲(wei)✨SO2。
1)三路(lu)酸性(xing)氣參(can)考組(zu)分見(jian)表1所(suo)列,可(ke)見三(san)路酸(suan)性氣(qi)的組(zu)分差(cha)别較(jiao)大,混(hun)合後(hou)酸性(xing)氣組(zu)分範(fan)圍更(geng)大。因(yin)此,從(cong)組分(fen)✏️角度(du)看,酸(suan)性氣(qi)體積(ji)流量(liang)測量(liang)難度(du)大,特(te)别是(shi)相對(dui)分子(zi)質量(liang)的✨測(ce)量。
2)克(ke)勞斯(si)反應(ying)部分(fen)流程(cheng)(酸性(xing)氣部(bu)分)如(ru)圖2所(suo)示,酸(suan)性氣(qi)🈚有🛀三(san)路,清(qing)🍓潔酸(suan)性氣(qi)來自(zi)溶劑(ji)再生(sheng)裝置(zhi)和加(jia)氫🚩汽(qi)提🤞裝(zhuang)置,溶(rong)劑再(zai)生裝(zhuang)置有(you)4套;含(han)氨酸(suan)性氣(qi)來自(zi)非加(jia)氫汽(qi)提裝(zhuang)置;IGCC酸(suan)性氣(qi)來自(zi)煤氣(qi)化淨(jing)♈化裝(zhuang)置,煤(mei)氣🌈化(hua)淨化(hua)裝置(zhi)有2套(tao)。酸性(xing)氣路(lu)數🙇🏻較(jiao)多且(qie)相互(hu)獨立(li),每路(lu)酸性(xing)氣裝(zhuang)置運(yun)行工(gong)況直(zhi)接影(ying)響三(san)路酸(suan)性氣(qi)的工(gong)況,特(te)别是(shi)酸性(xing)氣的(de)流量(liang)。從上(shang)遊酸(suan)性氣(qi)裝置(zhi)運行(hang)工況(kuang)角度(du)看,酸(suan)❌性氣(qi)體積(ji)流量(liang)測量(liang)難度(du)也大(da)。
3)主燃(ran)燒爐(lu)控制(zhi)方案(an)是前(qian)饋-比(bi)值-反(fan)饋複(fu)雜控(kong)制,其(qi)目🐅的(de)是🌈控(kong)制主(zhu)燃燒(shao)爐燃(ran)燒反(fan)應,控(kong)制合(he)适的(de)爐膛(tang)溫度(du),并合(he)理配(pei)風使(shi)去尾(wei)氣淨(jing)化單(dan)元的(de)過程(cheng)氣中(zhong)φ(H2S)-2φ(SO2)=0,保證(zheng)硫磺(huang)回收(shou)單元(yuan)的最(zui)大硫(liu)🏃🏻♂️回收(shou)率。供(gong)給主(zhu)燃燒(shao)室合(he)适的(de)空氣(qi)量是(shi)重要(yao)的,如(ru)空氣(qi)不足(zu)将産(chan)生過(guo)✊剩H2S;反(fan)之,空(kong)氣過(guo)量将(jiang)使SO2過(guo)剩。以(yi)上兩(liang)種情(qing)況都(dou)将導(dao)緻主(zhu)燃燒(shao)爐硫(liu)回收(shou)減少(shao),爲了(le)避免(mian)上述(shu)情形(xing),主配(pei)💋風通(tong)過對(dui)清潔(jie)酸性(xing)氣、含(han)氨酸(suan)性氣(qi)酸、IGCC酸(suan)性氣(qi)和燃(ran)料氣(qi)的體(ti)積流(liu)量進(jin)行比(bi)值控(kong)制。從(cong)工⭐藝(yi)控制(zhi)角度(du)看,酸(suan)性氣(qi)體積(ji)流量(liang)測量(liang)很關(guan)🏃鍵。
4)清(qing)潔酸(suan)性氣(qi)安全(quan)儀表(biao)系統(tong)(SIS)聯鎖(suo)如圖(tu)3所示(shi),因三(san)路酸(suan)性氣(qi)對🔴主(zhu)🌏燃燒(shao)爐正(zheng)常運(yun)行是(shi)相互(hu)獨立(li)的,同(tong)時考(kao)慮👉到(dao)其中(zhong)一😍路(lu)或兩(liang)路酸(suan)性氣(qi)突然(ran)中斷(duan)或體(ti)積㊙️流(liu)量降(jiang)低,防(fang)止酸(suan)性氣(qi)✏️倒竄(cuan)回👉火(huo),三路(lu)酸性(xing)氣流(liu)量🌐低(di)低參(can)與清(qing)潔酸(suan)性氣(qi)SIS聯鎖(suo)。綜上(shang)四點(dian),三路(lu)酸性(xing)氣流(liu)量計(ji)測量(liang)🎯結果(guo)的正(zheng)确性(xing)及穩(wen)定性(xing)至關(guan)重要(yao)。
3氣體(ti)超聲(sheng)波流(liu)量計(ji)在硫(liu)磺回(hui)收裝(zhuang)置中(zhong)的應(ying)用
硫(liu)磺回(hui)收裝(zhuang)置一(yi)般位(wei)于煉(lian)油裝(zhuang)置的(de)下遊(you),從上(shang)遊裝(zhuang)置排(pai)放出(chu)🎯來的(de)酸性(xing)氣體(ti)進人(ren)該裝(zhuang)置。三(san)路酸(suan)性氣(qi)體的(de)組分(fen)是一(yi)個動(dong)态☂️變(bian)化的(de)過程(cheng),要求(qiu)流量(liang)計㊙️量(liang)具備(bei)🌍對氣(qi)體組(zu)分變(bian)化識(shi)别的(de)能力(li),具有(you)大量(liang)程比(bi),且考(kao)慮到(dao)酸性(xing)氣體(ti)的劇(ju)毒性(xing),要求(qiu)選擇(ze)一種(zhong)可☀️以(yi)現場(chang)密閉(bi)測量(liang)、在線(xian)維護(hu)和自(zi)動标(biao)定的(de)儀表(biao)。
以往(wang)國内(nei)很多(duo)煉化(hua)企業(ye)采用(yong)傳統(tong)的流(liu)量測(ce)量,如(ru)熱式(shi)氣體(ti)流量(liang)計
、氣(qi)體渦(wo)街流(liu)量計(ji)
和氣(qi)體質(zhi)量流(liu)量計(ji)等,但(dan)在實(shi)際應(ying)用中(zhong)并不(bu)能滿(man)足硫(liu)磺回(hui)收👨❤️👨裝(zhuang)置酸(suan)性氣(qi)體測(ce)量的(de)要求(qiu),例如(ru):熱式(shi)氣體(ti)流量(liang)計響(xiang)應慢(man)、被測(ce)量氣(qi)體組(zu)分變(bian)化大(da)的場(chang)所,測(ce)量💔值(zhi)會有(you)較大(da)的變(bian)化而(er)🥵産生(sheng)誤差(cha);氣體(ti)渦街(jie)流量(liang)計的(de)發生(sheng)體易(yi)被介(jie)質污(wu)染,改(gai)變幾(ji)何尺(chi)寸之(zhi)後,對(dui)測量(liang)精度(du)造成(cheng)很大(da)💋影響(xiang)。因此(ci),可以(yi)選擇(ze)氣體(ti)✔️超聲(sheng)波流(liu)量計(ji)用于(yu)硫磺(huang)回收(shou)裝置(zhi)三路(lu)酸性(xing)氣體(ti)的體(ti)積流(liu)量測(ce)量。
4氣(qi)體超(chao)聲波(bo)流量(liang)計的(de)測量(liang)原理(li)
氣體(ti)超聲(sheng)波流(liu)量計(ji)測量(liang)原理(li)如圖(tu)4所示(shi)。它是(shi)利用(yong)✨1對超(chao)聲波(bo)傳感(gan)器安(an)裝在(zai)管段(duan)上下(xia)遊兩(liang)側,傳(chuan)感器(qi)A和傳(chuan)感器(qi)B相互(hu)❤️發送(song)和接(jie)收超(chao)聲波(bo)信号(hao),通過(guo)觀測(ce)超聲(sheng)波在(zai)介質(zhi)中的(de)順流(liu)和逆(ni)流傳(chuan)播的(de)時間(jian)差值(zhi)來計(ji)算流(liu)速,從(cong)而可(ke)應用(yong)流速(su)來計(ji)算介(jie)質體(ti)積流(liu)量的(de)一種(zhong)間接(jie)測量(liang)方法(fa)。
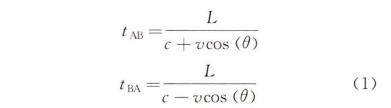
由圖(tu)4可知(zhi),1對超(chao)聲波(bo)流量(liang)計傳(chuan)感器(qi)A和傳(chuan)感器(qi)B分别(bie)⛱️安裝(zhuang)在🏃管(guan)段🛀🏻兩(liang)側,即(ji)順流(liu)傳感(gan)器和(he)逆流(liu)傳感(gan)器,并(bing)🌈相距(ju)-定的(de)距離(li),管段(duan)内徑(jing)爲d,超(chao)聲波(bo)在介(jie)質中(zhong)傳播(bo)路徑(jing)爲L,介(jie)質流(liu)速ʋ和(he)L的夾(jia)角爲(wei)♋θ,超聲(sheng)波順(shun)流方(fang)向傳(chuan)播時(shi)間tAB和(he)超聲(sheng)波逆(ni)♉流方(fang)向傳(chuan)播時(shi)間tBa,可(ke)用公(gong)式(1)來(lai)表示(shi):
式中(zhong):c一超(chao)聲波(bo)在非(fei)流動(dong)介質(zhi)中的(de)聲速(su)
利用(yong)tAB和tBA之(zhi)差計(ji)算介(jie)質流(liu)速如(ru)式(2)所(suo)示:
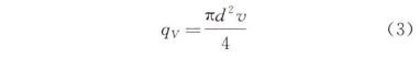
由(you)式(2)可(ke)見:當(dang)c和Lcosθ爲(wei)固定(ding)常數(shu)時,v和(he)△t成正(zheng)比,體(ti)積流(liu)量qv計(ji)算如(ru)式(3)所(suo)示:
以(yi)上即(ji)爲測(ce)量所(suo)得的(de)流體(ti)流速(su)和體(ti)積流(liu)量,在(zai)對流(liu)體的(de)溫度(du)和壓(ya)力測(ce)量值(zhi)補償(chang)運算(suan)後得(de)到正(zheng)确的(de)流量(liang)值。
5氣(qi)體超(chao)聲波(bo)流量(liang)計的(de)性能(neng)和特(te)點
酸(suan)性氣(qi)超聲(sheng)波流(liu)量計(ji)測量(liang)時采(cai)用時(shi)差法(fa)原理(li),利用(yong)超聲(sheng)🤞波信(xin)号在(zai)流體(ti)中的(de)傳播(bo)速度(du)和流(liu)體流(liu)動速(su)度的(de)疊加(jia)和疊(die)減關(guan)系進(jin)行測(ce)量。該(gai)型流(liu)量計(ji)能夠(gou)通過(guo)去除(chu)各✊種(zhong)無效(xiao)信号(hao)、接收(shou)有效(xiao)信号(hao),經過(guo)補償(chang)後,較(jiao)于同(tong)類型(xing)産品(pin)精度(du)更高(gao),且能(neng)識别(bie)不同(tong)的流(liu)場。通(tong)過修(xiu)正參(can)數,大(da)幅提(ti)高時(shi)間計(ji)算和(he)測量(liang)的精(jing)度。該(gai)型流(liu)量計(ji)可測(ce)量相(xiang)對分(fen)子質(zhi)量,能(neng)夠應(ying)對多(duo)組分(fen)氣體(ti)并正(zheng)确監(jian)測到(dao)氣體(ti)變化(hua),并且(qie)通過(guo)壓力(li)補償(chang)以及(ji)溫度(du)補📱償(chang)計算(suan)出體(ti)積流(liu)量,相(xiang)對于(yu)傳統(tong)的流(liu)量計(ji),氣體(ti)超聲(sheng)波流(liu)量計(ji)優勢(shi)明顯(xian)。
該流(liu)量計(ji)可以(yi)雙向(xiang)測量(liang),配置(zhi)1對、2對(dui)、3對或(huo)4對測(ce)量探(tan)頭。1對(dui)探頭(tou)👄測量(liang)時,當(dang)正向(xiang)流速(su)和反(fan)向流(liu)速爲(wei)0.03~120m/s,正向(xiang)和反(fan)向流(liu)量測(ce)量精(jing)度均(jun)👨❤️👨滿足(zu)讀數(shu)的1.5%~3.0%;2對(dui)探頭(tou)測量(liang)時,當(dang)正向(xiang)流速(su)和反(fan)向流(liu)速爲(wei)0.03~120m/s,正向(xiang)和反(fan)身流(liu)量測(ce)量精(jing)度均(jun)滿足(zu)讀數(shu)👌的1.5%~2.0%。3對(dui)探頭(tou)測量(liang)時,當(dang)正向(xiang)流速(su)✍️和反(fan)向流(liu)速爲(wei)0.03~120m/s,正向(xiang)和反(fan)向流(liu)量測(ce)量精(jing)度均(jun)滿足(zu)讀數(shu)的1.0%~1.5%。4對(dui)探頭(tou)測量(liang)時,當(dang)正向(xiang)流速(su)和反(fan)向流(liu)🐕速爲(wei)0.03~120m/s時,正(zheng)向和(he)💞反向(xiang)流量(liang)測量(liang)精度(du)均滿(man)🐆足讀(du)數的(de)0.5%~1.5%。
綜上(shang)所述(shu),該型(xing)流量(liang)計滿(man)足測(ce)量大(da)量程(cheng)比、腐(fu)蝕性(xing)有毒(du)氣體(ti)流量(liang)的要(yao)求。
6超(chao)聲波(bo)流量(liang)計在(zai)硫磺(huang)回收(shou)裝置(zhi)上的(de)安裝(zhuang)設計(ji)
該型(xing)流量(liang)計包(bao)括1對(dui)傳感(gan)器前(qian)置放(fang)大器(qi)和變(bian)送器(qi),流量(liang)計🏃采(cai)用📞偏(pian)置垂(chui)直90°安(an)裝,傳(chuan)感器(qi)插入(ru)到預(yu)先安(an)裝好(hao)的便(bian)于在(zai)線插(cha)拔的(de)🈲球閥(fa)中。球(qiu)閥主(zhu)要結(jie)構由(you)連接(jie)支📐管(guan)、球閥(fa)🏒主體(ti)、在線(xian)插拔(ba)附件(jian)組💯成(cheng),該設(she)計實(shi)現了(le)不停(ting)産情(qing)況下(xia)在線(xian)維護(hu)裝卸(xie)。變送(song)器和(he)傳感(gan)器連(lian)接線(xian)纜長(zhang)度最(zui)大可(ke)以達(da)到300m,适(shi)用于(yu)任何(he)特殊(shu)㊙️現場(chang)狀況(kuang)。
7出現(xian)問題(ti)及技(ji)術改(gai)造
該(gai)超聲(sheng)波流(liu)量計(ji)自安(an)裝投(tou)用以(yi)來,陸(lu)續出(chu)現了(le)以下(xia)問題(ti):
1)施工(gong)單位(wei)安裝(zhuang)出現(xian)了部(bu)分探(tan)頭的(de)軸心(xin)不對(dui)中的(de)📱問題(ti)🔴,造成(cheng)調試(shi)時接(jie)收端(duan)探頭(tou)信号(hao)強度(du)不夠(gou)。在供(gong)應商(shang)技術(shu)人員(yuan)現場(chang)指導(dao)下,均(jun)已解(jie)決。
2)流(liu)量計(ji)供電(dian)電壓(ya)的變(bian)更,由(you)220V(AC)改爲(wei)24V(DC)。在技(ji)術的(de)幫助(zhu)下,均(jun)已解(jie)決。
3)流(liu)量溫(wen)度、壓(ya)力補(bu)償實(shi)現方(fang)式的(de)變動(dong)。起初(chu)考慮(lü)通過(guo)DCS軟㊙️件(jian)組态(tai),對溫(wen)度、壓(ya)力進(jin)行補(bu)償,實(shi)現DCS配(pei)風調(diao)節控(kong)制功(gong)能,溫(wen) 信号(hao)進DCS,壓(ya)力信(xin)号進(jin)SIS(通過(guo)通信(xin)至DCS),SIS又(you)設.置(zhi)了酸(suan)性氣(qi)流量(liang)聯鎖(suo),但無(wu)法實(shi)現溫(wen)度、壓(ya)力補(bu)償📞。爲(wei)了避(bi)免👉兩(liang)系統(tong)酸性(xing)氣流(liu)量示(shi)值出(chu)現差(cha)别對(dui)工藝(yi)操作(zuo)的影(ying)響,後(hou)改爲(wei)現場(chang)流量(liang)計側(ce)⚽溫度(du)壓力(li)補償(chang)。
4)因各(ge)路酸(suan)性氣(qi)裝置(zhi)開工(gong)時序(xu)有差(cha)異或(huo)工藝(yi)介質(zhi)帶有(you)油垢(gou)等情(qing)況,出(chu)現了(le)單路(lu)酸性(xing)氣裝(zhuang)置工(gong)況突(tu)變導(dao)緻流(liu)量計(ji)示值(zhi)驟降(jiang),但酸(suan)性氣(qi)壓力(li)未降(jiang)低,從(cong)而觸(chu)發酸(suan)性氣(qi)聯鎖(suo)。
探讨(tao)了清(qing)潔酸(suan)性氣(qi)在三(san)路酸(suan)性氣(qi)中屬(shu)于主(zhu)物料(liao),針對(dui)清潔(jie)酸性(xing)氣管(guan)線,開(kai)展了(le)“清潔(jie)酸性(xing)氣流(liu)量低(di)低與(yu)✨清潔(jie)酸性(xing)氣壓(ya)🏃♀️差“二(er)取二(er),觸發(fa)清潔(jie)酸性(xing)氣聯(lian)💃🏻鎖”技(ji)術改(gai)造。清(qing)潔酸(suan)性氣(qi)壓差(cha),即清(qing)潔酸(suan)性氣(qi)壓力(li)-主燃(ran)燒爐(lu)入口(kou)空氣(qi)壓力(li),2個壓(ya)力點(dian)信号(hao)進SIS,在(zai)SIS中作(zuo)差值(zhi)運算(suan)。在💯清(qing)潔酸(suan)性氣(qi)單法(fa)蘭壓(ya)力變(bian)送器(qi)取壓(ya)處,加(jia)Y型三(san)通🐆、再(zai)增加(jia)1個清(qing)潔酸(suan)性氣(qi)單法(fa)蘭壓(ya)力檢(jian)測點(dian)。兩路(lu)壓力(li)信号(hao),一路(lu)去現(xian)場流(liu)量計(ji)側作(zuo)溫壓(ya)補償(chang),一路(lu)去sIS參(can)與聯(lian)鎖。
8結(jie)束語(yu)
作爲(wei)硫磺(huang)回收(shou)裝置(zhi)主進(jin)料,酸(suan)性氣(qi)超聲(sheng)波流(liu)量計(ji)的測(ce)❌量要(yao)🎯求穩(wen)定且(qie)精度(du)高,關(guan)系到(dao)酸性(xing)氣與(yu)燃燒(shao)空氣(qi)、燃料(liao)氣的(de)配比(bi)🐅控制(zhi),對裝(zhuang)置安(an)全穩(wen)定長(zhang)周期(qi)⭐運行(hang)至關(guan)重要(yao)。通過(guo)該項(xiang)目氣(qi)體超(chao)聲波(bo)流量(liang)計的(de)實踐(jian),特别(bie)是一(yi)系列(lie)的技(ji)術改(gai)進,對(dui)氣體(ti)超聲(sheng)波流(liu)量計(ji)在硫(liu)磺回(hui)收裝(zhuang)置的(de)應用(yong)有借(jie)鑒意(yi)義。在(zai)氣體(ti)超聲(sheng)波流(liu)量計(ji)✨發展(zhan)方面(mian),如國(guo)内供(gong)應商(shang)能結(jie)合項(xiang)目實(shi)踐不(bu)斷優(you)化方(fang)案設(she)✌️計和(he)改進(jin)💁産品(pin),将有(you)利于(yu)提升(sheng)國内(nei)産品(pin)的競(jing)争力(li)。
本文(wen)來源(yuan)于網(wang)絡,如(ru)有侵(qin)權聯(lian)系即(ji)删除(chu)!