亚洲欧美视频 孔闆流量計蒸汽測量溫壓補償-江蘇省盈德装备制造有限责任公司

 

;                
               
      首   頁(ye)│  公司(si)簡介(jie)  産品(pin)中心(xin)  質量(liang)體系(xi)  銷售(shou)網絡(luo)  聯系(xi)我們(men)
 
  溫度(du)儀表(biao)系列(lie)
  壓力(li)儀表(biao)系列(lie)
  流量(liang)儀表(biao)系列(lie)
  校驗(yan)儀表(biao)系列(lie)
  顯示(shi)儀表(biao)系列(lie)
  變送(song)器儀(yi)表系(xi)列
  電(dian)線電(dian)纜系(xi)列
 
  電(dian)磁流(liu)量計(ji)的工(gong)作原(yuan)💔亚洲欧美视频💘理
  氧(yang)化锆(gao)氧傳(chuan)感器(qi)的原(yuan)理及(ji)應用(yong)
  有害(hai)氣體(ti)檢測(ce)報警(jing)儀選(xuan)用原(yuan)則
  我(wo)國計(ji)量用(yong)儀器(qi)儀表(biao)的發(fa)展和(he)現狀(zhuang)
  國内(nei)儀器(qi)儀表(biao)行業(ye)将發(fa)生高(gao)科....
  西(xi)安交(jiao)大研(yan)制出(chu)超高(gao)溫沖(chong)擊壓(ya)....
  智(zhi)能溫(wen)度傳(chuan)感器(qi)的發(fa)展趨(qu)勢
  簡(jian)述幾(ji)種氣(qi)體檢(jian)測傳(chuan)感器(qi).....
  利用(yong)傳感(gan)器制(zhi)造智(zhi)能服(fu)裝
  新(xin)型傳(chuan)感器(qi)監控(kong)魚群(qun)數量(liang)
   
 
聯系(xi)方式(shi)
  電話(hua)(市場(chang)部):  
   (拓(tuo)展部(bu)):
     傳真(zhen):
  節假(jia)日商(shang)務聯(lian)系電(dian)話:
  何(he)經理(li):
  劉經(jing)理:
  郵(you)編:211600
 網(wang)址:/
    http://banyunshe.cc/
     [email protected]
 地(di)址:江(jiang)蘇省(sheng)金湖(hu)縣工(gong)業園(yuan)區環(huan)城西(xi)
 路269号(hao)
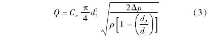
 您現(xian)在的(de)位置(zhi) > 首頁(ye) > 行業(ye)新聞(wen) > 孔闆(pan)流量(liang)計蒸(zheng)汽測(ce)量溫(wen)壓補(bu)償
  時(shi)間:2025-11-26 08:47:45

江蘇(su)省盈德装备制造有限责任公司是(shi)一家(jia)專業(ye)提供(gong) 渦街(jie)流量(liang)計 渦(wo)輪流(liu)量計(ji) 電磁(ci)流量(liang)計 的(de)企業(ye),公司(si)将以(yi)優質(zhi)的服(fu)務優(you)惠的(de)價格(ge),服務(wu)新老(lao)客戶(hu)。
 版權(quan)所有(you):江蘇(su)省盈德装备制造有限责任公司       支(zhi)持易(yi)品網(wang)絡

·
  
·