三级黄色视频 氣體流量計量值比對實施與結果評價-江蘇省盈德装备制造有限责任公司
;              
                 
        首(shou)   頁│  公司(si)簡介  産(chan)品中心(xin)  質量體(ti)系  銷售(shou)網絡  聯(lian)系我們(men)
  溫度儀(yi)表系列(lie)
  壓力儀(yi)表系列(lie)
  流量儀(yi)表系列(lie)
  校驗儀(yi)表系列(lie)
  顯示儀(yi)表系列(lie)
  變送器(qi)儀表系(xi)列
 
  電磁(ci)流量計(ji)的工📐三级黄色视频♊作(zuo)原理
氧(yang)化锆氧(yang)傳感器(qi)的原理(li)及應用(yong)
  有害氣(qi)體檢測(ce)報警儀(yi)選用原(yuan)則
  我國(guo)計量用(yong)儀器儀(yi)表的發(fa)展和現(xian)狀
 
  西(xi)安交大(da)研制出(chu)超高溫(wen)沖擊壓(ya)....
采用半(ban)導體精(jing)密溫度(du)傳感......
  智(zhi)能溫度(du)傳感器(qi)的發展(zhan)趨勢
  簡(jian)述幾種(zhong)氣體檢(jian)測傳感(gan)器.....
  利用(yong)傳感器(qi)技術制(zhi)造智能(neng)服裝
  新(xin)型傳感(gan)器監控(kong)魚群數(shu)量
   
 
聯系(xi)方式
 電(dian)話(市場(chang)部):  
       
        
   (拓展(zhan)部):
 傳真(zhen):
 節假日(ri)商務聯(lian)系電話(hua):
 何經理(li):
 劉經理(li):
 郵編:211600
 網(wang)址:/
    http://banyunshe.cc/
 E-mail:[email protected]
     [email protected]
 地址(zhi):江蘇省(sheng)金湖縣(xian)工業園(yuan)區環城(cheng)西
 路269号(hao)
 您現在(zai)的位置(zhi) > 首頁 > 行(hang)業新聞(wen) > 氣體流(liu)量計量(liang)值比對(dui)實施與(yu)結果評(ping)價
     

氣體(ti)流量計(ji)量值比(bi)對實施(shi)與結果(guo)評價
發(fa)布時間(jian):2025-11-26

摘要:爲(wei)了評價(jia)範圍内(nei)氣體流(liu)量計 量(liang)的一緻(zhi)性,計量(liang)院組織(zhi)并實施(shi)了一次(ci)全疆氣(qi)體流量(liang)計量🙇‍♀️值(zhi)比對。比(bi)對工作(zuo)曆時一(yi)個半月(yue),有效對(dui)全疆的(de)11套氣體(ti)流量标(biao)準裝置(zhi)進行了(le)比對實(shi)驗。通過(guo)彙總和(he)處理比(bi)對數據(ju),分析和(he)評價比(bi)對結果(guo),合格率(lü)爲100%,此🌐次(ci)比對工(gong)作充分(fen)确認了(le)範圍内(nei)氣體流(liu)🧑🏽‍🤝‍🧑🏻量計量(liang)的整體(ti)能力,有(you)利于全(quan)疆氣體(ti)流量量(liang)值傳遞(di)體系的(de)統一,對(dui)氣體流(liu)量計量(liang)工作的(de)發展起(qi)到積極(ji)的促進(jin)作用。
  氣(qi)體流量(liang)計廣泛(fan)用于天(tian)然氣生(sheng)産、運輸(shu)、存儲、銷(xiao)售等各(ge)個環節(jie),計量的(de)準确與(yu)否直接(jie)關系到(dao)貿易雙(shuang)方的利(li)益。随着(zhe)氣體流(liu)量計量(liang)值溯源(yuan)需求的(de)增加,用(yong)于對氣(qi)體流量(liang)計檢定(ding)的設備(bei)——氣體流(liu)量标準(zhun)裝🏃🏻‍♂️置的(de)數量📧逐(zhu)漸增多(duo),目前範(fan)圍内許(xu)多地州(zhou)市的計(ji)量技術(shu)機構與(yu)企事業(ye)單位都(dou)建立了(le)氣體流(liu)量标❄️準(zhun)裝置。根(gen)據統計(ji),已建立(li)計量标(biao)準并開(kai)展檢測(ce)工作的(de)有11套✊、已(yi)建成但(dan)并未建(jian)立标準(zhun)的有3套(tao),數量之(zhi)🔴多超過(guo)了國内(nei)絕大多(duo)數的省(sheng)和自治(zhi)區。
  标準(zhun)裝置的(de)測量能(neng)力直接(jie)關系到(dao)氣體流(liu)量計計(ji)量的✨準(zhun)✉️确❗性。由(you)于标準(zhun)裝置的(de)生産廠(chang)家、生産(chan)成本、技(ji)術💚參數(shu)等的差(cha)異🚩性,導(dao)緻了其(qi)檢校驗(yan)能力的(de)良莠不(bu)齊。爲了(le)客觀、公(gong)正⭕、科學(xue)的反映(ying)目前各(ge)單位氣(qi)體流量(liang)标準裝(zhuang)置的現(xian)狀,以及(ji)檢定人(ren)員使用(yong)标準♍裝(zhuang)置的準(zhun)确性及(ji)操作技(ji)能的正(zheng)确性,計(ji)量院作(zuo)爲主導(dao)實驗室(shi)開展了(le)此次全(quan)疆比對(dui)活動"―2]。
1比(bi)對準備(bei)
1.1傳遞标(biao)準
此次(ci)比對工(gong)作的傳(chuan)遞标準(zhun)參數如(ru)表1所示(shi)。

  考慮到(dao)區域面(mian)積大,各(ge)參比單(dan)位分布(bu)在全疆(jiang)的各個(ge)地🐆州市(shi),傳遞标(biao)準需要(yao)長距離(li)運輸。所(suo)以主導(dao)實🔱驗室(shi)在開始(shi)比🚩對之(zhi)前對傳(chuan)遞标準(zhun)的重複(fu)性和穩(wen)定性做(zuo)了大量(liang)🧑🏾‍🤝‍🧑🏼的實驗(yan)。同時,依(yi)據三種(zhong)類型氣(qi)體流量(liang)計的計(ji)💋量特性(xing),主導實(shi)驗室🌈和(he)所有參(can)比實驗(yan)室商讨(tao)後,确定(ding)比對結(jie)果以氣(qi)體渦輪(lun)流量計(ji)的數據(ju)爲準,氣(qi)體羅茨(ci)👨‍❤️‍👨流量計(ji)和氣體(ti)❓超聲流(liu)量計的(de)數據😍僅(jin)作爲參(can)考使用(yong)。
  同時,爲(wei)了保證(zheng)傳遞标(biao)準的運(yun)輸安全(quan)和比對(dui)工作的(de)🏒順利🏃‍♀️進(jin)🈲行🏃🏻,主導(dao)實驗室(shi)采用全(quan)程監督(du)的方式(shi)。傳遞标(biao)㊙️準在整(zheng)個💛比對(dui)過程中(zhong)沒有出(chu)現碰撞(zhuang)、跌落、電(dian)擊、堵塞(sai)等意外(wai)🏃🏻情況,保(bao)💯證所有(you)實驗數(shu)據的客(ke)觀性、有(you)效性。
  每(mei)台流量(liang)計的檢(jian)定流量(liang)點在表(biao)1中,每個(ge)流量點(dian)重複試(shi)驗6次,以(yi)其算術(shu)平均值(zhi)作爲最(zui)終測量(liang)結果。要(yao)求實際(ji)實驗流(liu)量值與(yu)選取流(liu)量值的(de)偏差不(bu)得超過(guo)±5%,全部🈚采(cai)用脈沖(chong)輸出方(fang)式[3_5]。
1.2比對(dui)路線
  考(kao)慮到傳(chuan)遞标準(zhun)的穩定(ding)性,運輸(shu)路線的(de)合理性(xing)和比對(dui)時間的(de)保證,将(jiang)參比實(shi)驗室分(fen)爲5個組(zu),路線采(cai)用花瓣(ban)式進行(hang)傳遞,每(mei)個參比(bi)實驗室(shi)在規定(ding)的時間(jian)内完成(cheng)比對試(shi)驗并将(jiang)傳遞标(biao)準送至(zhi)下一個(ge)實💋驗室(shi)。傳遞路(lu)線圖如(ru)圖1所示(shi)。

  爲了更(geng)客觀地(di)反映出(chu)各參比(bi)單位标(biao)準裝置(zhi)的量值(zhi)傳遞能(neng)🔞力,要求(qiu)在實驗(yan)人員對(dui)其标準(zhun)裝置的(de)不确定(ding)度進行(hang)分析和(he)評定🛀,确(que)定合理(li)、客觀的(de)量值傳(chuan)遞能力(li)。每個參(can)比單位(wei)的比對(dui)實驗時(shi)間限制(zhi)爲3天☎️,且(qie)要求傳(chuan)遞标準(zhun)在🐉實驗(yan)前放置(zhi)在實驗(yan)室内至(zhi)少🔴12h,以保(bao)證溫度(du)和壓力(li)的恒定(ding),減小環(huan)境🏃因素(su)對實驗(yan)結果的(de)影響。
  依(yi)據規定(ding)的傳遞(di)路線,比(bi)對工作(zuo)共持續(xu)了一個(ge)半月,整(zheng)個比對(dui)過程沒(mei)有出現(xian)以外事(shi)故,比對(dui)工作順(shun)利完成(cheng)。
2數據處(chu)理
2.1參考(kao)值及其(qi)不确定(ding)度
  由于(yu)比對結(jie)果以 氣(qi)體渦輪(lun)流量計(ji) 的數據(ju)作爲各(ge)參比實(shi)驗室的(de)比對結(jie)果,所以(yi)限于篇(pian)幅,對氣(qi)🔞體🌈渦輪(lun)流量計(ji)的數據(ju)進行處(chu)理,并依(yi)此對各(ge)參比實(shi)驗室的(de)比對📱結(jie)果進行(hang)評價[6]。同(tong)時,由于(yu)D1屬于主(zhu)導實驗(yan)室的異(yi)地實驗(yan)室,爲避(bi)免争議(yi),其比對(dui)數據隻(zhi)🈲作參考(kao),不列人(ren)計算。
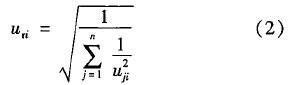
  比(bi)對參考(kao)值以加(jia)權算術(shu)平均值(zhi)的方法(fa)确定。由(you)主♻️導實(shi)驗⛹🏻‍♀️室對(dui)所有參(can)比實驗(yan)室的數(shu)據采用(yong)“格拉布(bu)斯準則(ze)”方法判(pan)斷異常(chang)值,剔除(chu)異常值(zhi)後,再按(an)照加✌️權(quan)算術🛀平(ping)均的方(fang)法計算(suan)比對參(can)考值🛀。每(mei)個流量(liang)點參考(kao)值的計(ji)算可參(can)照公式(shi):

  式中:Yri爲(wei)第i個測(ce)量點的(de)加權算(suan)術平均(jun)值,即該(gai)測量點(dian)的參🌐考(kao)值;Yji爲第(di)j個實驗(yan)室上報(bao)的在第(di)i個測量(liang)點上的(de)測量結(jie)果;μji爲第(di)j個實驗(yan)室上報(bao)的在第(di)i個測量(liang)🎯點上的(de)測量結(jie)果的标(biao)準不确(que)定度,采(cai)用各實(shi)驗室自(zi)評數據(ju);n爲參加(jia)比對的(de)實驗室(shi)數量。???????   每(mei)個流量(liang)點參考(kao)值不确(que)💯定度的(de)計算👣可(ke)參照以(yi)下公式(shi):

  式中:μri爲(wei)第i個測(ce)量點參(can)考值的(de)不确定(ding)度;μji爲第(di)j個實驗(yan)🍓室🍉上報(bao)的在第(di)i個測量(liang)點上的(de)測量結(jie)果的不(bu)确定度(du)。
  同時,比(bi)對結果(guo)需要考(kao)慮傳遞(di)标準在(zai)整個比(bi)對過程(cheng)🈲中的不(bu)穩定性(xing)引入的(de)不确定(ding)度分量(liang)μsta。由此得(de)到💚氣體(ti)渦輪流(liu)量計的(de)參考值(zhi)及其擴(kuo)展不确(que)定度如(ru)🙇🏻表2所示(shi)。

2.2參比實(shi)驗室測(ce)量結果(guo)
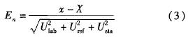
比對結(jie)果的有(you)效性用(yong)En值進行(hang)評價,En值(zhi)的計算(suan)如下:

  式(shi)中:x爲參(can)比實驗(yan)室的測(ce)量結果(guo);X爲主導(dao)實驗室(shi)提供的(de)參考值(zhi);Ulab爲參比(bi)實驗室(shi)測量結(jie)果的擴(kuo)展不确(que)定度(k=2);Uref主(zhu)導實驗(yan)室參👉考(kao)值的擴(kuo)展不确(que)定度(k=2);Usta爲(wei)傳遞标(biao)準在比(bi)對期間(jian)的不☀️穩(wen)定性對(dui)測量結(jie)果的影(ying)響(k=2),即Usta=2Usta。
由(you)此得到(dao)各參比(bi)實驗室(shi)的測量(liang)結果,如(ru)表3所示(shi)。

3結果評(ping)價
3.1比對(dui)結果評(ping)價
  從表(biao)3中可以(yi)看出,所(suo)有參比(bi)實驗室(shi)的En值均(jun)小于1,表(biao)明所🎯有(you)實🏃‍♀️驗室(shi)的測量(liang)結果均(jun)爲滿意(yi),合格率(lü)爲100%。參⭕比(bi)實驗室(shi)💰的En值情(qing)況如圖(tu)2所示。

  同(tong)時,需要(yao)指出的(de)是,實驗(yan)室B1在100m3/h流(liu)量點的(de)值爲0.90,基(ji)本處于(yu)‼️不合格(ge)☔的邊緣(yuan),說明裝(zhuang)置存在(zai)一定的(de)問題和(he)缺陷㊙️,需(xu)要認真(zhen)核查和(he)排出。
3.2全(quan)疆氣體(ti)流量計(ji)量能力(li)整體分(fen)析
  對全(quan)疆11家計(ji)量技術(shu)機構和(he)企事業(ye)單位建(jian)立的氣(qi)體流量(liang)标準的(de)比對工(gong)作,有效(xiao)衡量了(le)區域内(nei)氣體流(liu)量計量(liang)的整體(ti)能力。比(bi)對結果(guo)顯示合(he)格率爲(wei)100%,說🔴明了(le)區域内(nei)氣體流(liu)量計量(liang)能力較(jiao)高,能夠(gou)滿足全(quan)疆範圍(wei)内氣體(ti)流量計(ji)的量值(zhi)傳遞要(yao)求[7]。同時(shi),通過此(ci)次嚴格(ge)有效的(de)比對工(gong)作,規範(fan)了區域(yu)内氣體(ti)流量标(biao)準裝置(zhi)的管理(li),增進了(le)操作人(ren)員對标(biao)準🌈裝置(zhi)了解和(he)掌握,統(tong)一💃了全(quan)疆範圍(wei)内氣✏️體(ti)流量量(liang)值傳遞(di)的一緻(zhi)性,從而(er)能夠促(cu)進氣體(ti)流量計(ji)量工作(zuo)的發展(zhan)。

以上内(nei)容源于(yu)網絡,如(ru)有侵權(quan)聯系即(ji)删除!

下(xia)篇文章(zhang): 工業循(xun)環水處(chu)理設施(shi)儀表選(xuan)型與安(an)裝 上篇(pian)文章 影(ying)響天然(ran)氣渦輪(lun)流量計(ji)準确性(xing)因素
 
江(jiang)蘇省盈德装备制造有限责任公司是(shi)一家專(zhuan)業提供(gong) 渦街流(liu)量計 渦(wo)輪流量(liang)計 電磁(ci)流量計(ji) 的企業(ye),公司将(jiang)以優質(zhi)的服務(wu)優惠的(de)價格,服(fu)務新老(lao)客戶。
 版(ban)權所有(you):江蘇省(sheng)盈德装备制造有限责任公司     技術支(zhi)持易品(pin)網絡

·
·
·
··