日本在线播放 V錐流量計_V錐形流量計_價格_廠家_選型-江蘇省盈德装备制造有限责任公司
                 
               
       首(shou)   頁  公司(si)簡介  産(chan)品中心(xin)  質量體(ti)系  聯(lian)系我們(men)
孔(kong)闆流量(liang)計
V錐形流(liu)量計
插入(ru)式電磁(ci)流量計(ji)
氣體渦(wo)街流量(liang)計
智⚽日本在线播放☂️能(neng)型防腐(fu)電磁流(liu)量計
防(fang)爆型電(dian)磁流量(liang)計
管道(dao)式有機(ji)玻璃流(liu)量計
面(mian)闆式有(you)機玻璃(li)流量計(ji)
塑料(liao)管 轉子(zi)流量計(ji)
智能旋(xuan)進旋渦(wo) 氣體流(liu)量計
V錐(zhui)形流量(liang)計
SK系列(lie)金屬管(guan)浮子流(liu)量計
SK系(xi)列超聲(sheng)波流量(liang)計
SKLU系列(lie)渦街流(liu)量計
三(san)閥組
渦(wo)輪流量(liang)計
帶溫(wen)壓補償(chang)一體式(shi)渦街流(liu)量計
一(yi)體化孔(kong)闆流量(liang)計
阿牛(niu)巴流量(liang)計
威力(li)巴流量(liang)計
智能(neng)靶式流(liu)量計
環(huan)形孔闆(pan)流量計(ji)
橢圓齒(chi)輪流量(liang)計
分體(ti)式電磁(ci)流量計(ji)
插入式(shi)渦街流(liu)量計
不(bu)鏽鋼玻(bo)璃轉子(zi)流量計(ji)
SKPH系列平(ping)衡流量(liang)計
便攜(xie)式超聲(sheng)波流量(liang)計
手持(chi)式超聲(sheng)波流量(liang)計
固定(ding)一體基(ji)本型超(chao)聲波流(liu)量計
固(gu)定一體(ti)功能型(xing)超聲波(bo)流量計(ji)
固定分(fen)體式超(chao)聲波流(liu)量計 
帶(dai)溫壓補(bu)償一體(ti)式渦街(jie)流量計(ji)
衛生型(xing)玻璃轉(zhuan)子流量(liang)計
分體(ti)插入式(shi)電磁流(liu)量計
護(hu)套型不(bu)鏽鋼玻(bo)璃轉子(zi)流量計(ji)
氣(qi)體渦輪(lun)流量計(ji)
高壓氣(qi)體渦輪(lun)流量計(ji)
卡箍式(shi)快裝金(jin)屬管浮(fu)子流量(liang)計
單/雙(shuang)聲道超(chao)聲波水(shui)表
承插(cha)式塑料(liao)管轉子(zi)流量計(ji)
法蘭式(shi)塑料管(guan)轉子流(liu)量計
方(fang)形管道(dao)式流量(liang)計
面闆(pan)式有機(ji)玻璃轉(zhuan)子流量(liang)計(小口(kou)徑)
微小型(xing)金屬管(guan)浮子流(liu)量計
LZB-VA/WA/FA30S系(xi)列玻璃(li)轉子流(liu)量計
 
  電(dian)磁流量(liang)計的工(gong)作原理(li)
 
  我(wo)國計量(liang)用儀器(qi)儀表的(de)發展和(he)現狀
  國(guo)内儀器(qi)儀表行(hang)業将發(fa)生高科(ke)....
  西安交(jiao)大研制(zhi)出超高(gao)溫沖擊(ji)壓....
  采用(yong)半導體(ti)精密溫(wen)度傳感(gan)......
  智能溫(wen)度傳感(gan)器的發(fa)展趨勢(shi)
  簡述幾(ji)種氣體(ti)檢測傳(chuan)感器.....
  利(li)用傳感(gan)器技術(shu)制造智(zhi)能服裝(zhuang)
 
   
 
聯(lian)系方式(shi)
       
        
   (拓(tuo)展部):
 傳(chuan)真:
 郵編(bian):211600
 網址:/
    http://banyunshe.cc/
 E-mail:[email protected]
     [email protected]
 地(di)址:江蘇(su)省金湖(hu)縣工業(ye)園區環(huan)城西
 路(lu)269号
 您現(xian)在的位(wei)置 > 首頁(ye) > 産品中(zhong)心
     

V錐流(liu)量計

概(gai)述
    SK系列(lie)V 錐流量(liang)計又稱(cheng)内錐流(liu)量計、V錐(zhui)、錐形流(liu)量計,是(shi)一種差(cha)壓流量(liang)計♊,和其(qi)🥰它類型(xing)的差壓(ya)流量計(ji)的基本(ben)原理相(xiang)同,都是(shi)基于密(mi)封管道(dao)中的能(neng)量守恒(heng)原理,SK系(xi)列V錐流(liu)量計擴(kuo)大了流(liu)量測量(liang)範圍,并(bing)避免了(le)傳統差(cha)壓流🐇量(liang)🏃‍♂️計的一(yi)些局限(xian)性,工作(zuo)性能優(you)。SK系列V錐(zhui)流量計(ji)是在管(guan)道中心(xin)懸挂一(yi)個錐形(xing)截流件(jian),錐☂️形件(jian)阻礙介(jie)❄️質流動(dong),重塑流(liu)速曲線(xian),測量介(jie)質包括(kuo)水、蒸汽(qi)、空💋氣、天(tian)然氣、氮(dan)氣、焦爐(lu)煤氣和(he)有機氣(qi)體等。介(jie)質條件(jian)可從💋深(shen)低溫📐到(dao)超臨界(jie)狀态。工(gong)作溫度(du)最高450℃,最(zui)大壓力(li)25Mpa,可測量(liang)最高雷(lei)諾數爲(wei)5*106,最低雷(lei)諾數爲(wei)8*103甚至更(geng)低。産生(sheng)滿刻度(du)差壓信(xin)号從最(zui)低小于(yu)0.1 千帕到(dao)最高幾(ji)十千帕(pa)。
工作原(yuan)理:
   
SK系列(lie)V 錐流量(liang)計是一(yi)種差壓(ya)流量儀(yi)表,以差(cha)壓原理(li)流量儀(yi)🚩表已經(jing)🈲有一百(bai)多年的(de)應用曆(li)史了。差(cha)壓原理(li)是🔆基于(yu)密封管(guan)道中的(de)能量🔴轉(zhuan)換原理(li),也就是(shi)說對穩(wen)定流體(ti),流量與(yu)☎️管道中(zhong)🎯介質流(liu)☀️速的平(ping)🐇方根成(cheng)正比。當(dang)介質接(jie)近錐體(ti)時,其壓(ya)力爲P1,在(zai)介質通(tong)過錐體(ti)的截流(liu)區時,速(su)度增大(da),壓力降(jiang)低爲P2P1和(he)P2都通過(guo)錐形流(liu)量計的(de)取壓口(kou)引到差(cha)壓變送(song)器上,當(dang)流速發(fa)生變化(hua)時,錐形(xing)流量計(ji)的兩個(ge)取壓口(kou)之🔞間的(de)差壓值(zhi)會增大(da)或縮🌈小(xiao)。
   
SK系列V 錐(zhui)流量計(ji) 在進行(hang)流量計(ji)算時所(suo)采用的(de)計算公(gong)式同其(qi)他差壓(ya)流♊量儀(yi)表相同(tong),但其截(jie)流元件(jian)迫使管(guan)道中心(xin)的介質(zhi)繞着錐(zhui)體流動(dong),與其他(ta)差壓流(liu)量計相(xiang)比這樣(yang)有很多(duo)💃🏻優點。我(wo)們可以(yi)借助理(li)想狀态(tai)流速曲(qu)線分布(bu)圖來理(li)解錐形(xing)流量計(ji)的性能(neng)。管道中(zhong)的流體(ti)沒有受(shou)到任何(he)幹擾和(he)阻礙,即(ji)是我們(men)所說的(de)理想流(liu)态,他的(de)流速✌️分(fen)布均勻(yun),靠近管(guan)壁的流(liu)速幾乎(hu)爲零,管(guan)道中心(xin)的流速(su)達到最(zui)大,靠近(jin)管壁的(de)流速幾(ji)乎爲零(ling),是由于(yu)管壁對(dui)♈介質的(de)摩擦力(li)造成💯的(de)。由于錐(zhui)體懸挂(gua)在📧管線(xian)中心,他(ta)直接同(tong)流體的(de)高速區(qu)接觸,迫(po)使高速(su)區的流(liu)體同近(jin)👅管壁低(di)速區的(de)流體相(xiang)混合從(cong)而使流(liu)速均勻(yun)化。所以(yi)即使流(liu)速很低(di),錐形流(liu)✍️量計仍(reng)能使流(liu)體與管(guan)道中心(xin)的最高(gao)流速連(lian)續作用(yong)産生正(zheng)确差壓(ya)。
    現實中(zhong),流速很(hen)難分布(bu)均勻,管(guan)道上的(de)任何變(bian)化都可(ke)能對流(liu)體造成(cheng)影響,如(ru):灣頭、閥(fa)門、縮徑(jing)、擴徑、泵(beng)、三通等(deng)等,而錐(zhui)形流量(liang)計利用(yong)錐體對(dui)上遊的(de)流速分(fen)布曲線(xian)重新進(jin)行塑造(zao)💔,即使在(zai)惡劣的(de)情況下(xia),仍能保(bao)證測量(liang)精度。
特(te)點:
流量(liang)計精度(du):±0.5%、±1.0%、±1.5%系統精(jing)度須參(can)照應用(yong)條件及(ji)二次表(biao)的精度(du)。
重複性(xing)好:優于(yu)±0.1%
量程比(bi)寬:正常(chang)情況下(xia)爲101,若有(you)必要也(ye)可加大(da)。
直管段(duan)要求低(di):流量計(ji)前0~3D 直管(guan)段、後0~1D 直(zhi)管段即(ji)可保證(zheng)測量精(jing)度。實驗(yan)證明,V錐(zhui)流量計(ji)可🏃以接(jie)近單彎(wan)📐管或不(bu)同平面(mian)的雙彎(wan)管而對(dui)精度影(ying)響很小(xiao)。
長期穩(wen)定性好(hao):錐體的(de)外形設(she)計保證(zheng)流體在(zai)流經錐(zhui)🌈體✊時是(shi)一種漸(jian)變的過(guo)程,無突(tu)變,β值可(ke)保持長(zhang)期不變(bian),儀表可(ke)長期使(shi)用不需(xu)标定。
信(xin)号穩定(ding):所有差(cha)壓流量(liang)計都會(hui)有“信号(hao)波動”,也(ye)就是說(shuo)即使流(liu)📐體穩定(ding),通過一(yi)次節流(liu)元件産(chan)生的信(xin)❗号也✨會(hui)有波動(dong)。對孔闆(pan)而💰言,在(zai)節流件(jian)後形成(cheng)的旋渦(wo)較長,這(zhe)些長的(de)旋渦會(hui)産生🔞高(gao)幅、低頻(pin)波動信(xin)号,這些(xie)信号會(hui)對差壓(ya)表的讀(du)數造成(cheng)幹擾。而(er)錐形流(liu)量計會(hui)在其下(xia)遊形成(cheng)小旋渦(wo),産生低(di)幅、高頻(pin)波動信(xin)号。
壓損(sun) 小:由于(yu)沒有突(tu)出的擋(dang)闆,因此(ci)錐形流(liu)量計的(de)永久壓(ya)力🏃🏻損失(shi)比孔闆(pan)低3/4
無滞(zhi)留死區(qu):錐體的(de)“吹掃式(shi)”設計不(bu)存在死(si)區,因此(ci)在錐體(ti)上不會(hui)堆積流(liu)體碎片(pian)、粘渣或(huo)雜質。
混(hun)合器作(zuo)用:V 錐流(liu)量計的(de)下遊所(suo)産生的(de)旋渦是(shi)短旋渦(wo),可在下(xia)👄遊将介(jie)質混合(he),因此,目(mu)前V錐形(xing)流量計(ji)在作爲(wei)流量計(ji)工作的(de)同時,還(hai)可在很(hen)✍️多場💁合(he)❌用做靜(jing)态攪拌(ban)器,可迅(xun)速而充(chong)分的将(jiang)介質攪(jiao)拌均勻(yun)。

應用:
介(jie) 質:煤氣(qi)、天然氣(qi)(包括含(han)濕度5%以(yi)下)、各種(zhong)碳氫化(hua)合物(包(bao)括含濕(shi)的HC氣體(ti))、各種稀(xi)有氣體(ti)(氫、氦、氩(ya)、氧、氮等(deng))、氯氣、濕(shi)的氯化(hua)物氣♌體(ti)、空氣(包(bao)括含水(shui)、含SiO2粒子(zi)以及含(han)其他懸(xuan)浮物的(de)空氣)、煙(yan)道氣、飽(bao)和蒸汽(qi)(含汽、水(shui)兩相流(liu))、過熱蒸(zheng)汽、水等(deng)。
條 件:從(cong)深冷到(dao)超臨界(jie)狀态,最(zui)高溫度(du)達450℃,最大(da)壓力25Mpa
計(ji) 算:每一(yi)個錐形(xing)流量計(ji)都根據(ju)流體的(de)性質、壓(ya)力和溫(wen)度用專(zhuan)門的軟(ruan)件進行(hang)計算。用(yong)戶可根(gen)據自己(ji)的應用(yong)條件(所(suo)測介質(zhi)的組份(fen)、溫度、壓(ya)力、管徑(jing)、最大流(liu)量、常用(yong)流量、最(zui)小流量(liang)、準許最(zui)大壓力(li)損失)選(xuan)擇β值。
維(wei) 護:錐形(xing)流量計(ji)免維護(hu),不需要(yao)定期維(wei)護和檢(jian)定。

應用(yong)範圍

原(yuan)理


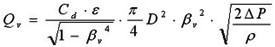
經過(guo)簡化後(hou)公式爲(wei):
式中:QV ——— 流(liu)體體積(ji)流量m3/h
Cd———
流(liu)出系數(shu)
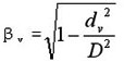
βV———
等效直(zhi)徑比
dV———
爲(wei)錐體最(zui)大直徑(jing),D爲管道(dao)内徑
ρ———
流(liu)體工況(kuang)下密度(du)
ε———
氣體可(ke)膨脹系(xi)數

選型(xing):


産品選(xuan)型

型 号(hao)

說    明

錐(zhui)形流量(liang)計

 

代号(hao)

口徑(mm)

 

15~3000

 

各(ge)部件材(cai)料材質(zhi)

 

代碼

錐(zhui)體

鋼管(guan)

法蘭

 

A

SS304

20#

 

B

SS304

15CrMo

15CrMo

 

C

SS304

20#

 

D

SS304

SS304

SS304

 

E

SS316L

SS304

 

#

其(qi)它材質(zhi)

 

介(jie)質

 

2

氣體

 

3

蒸(zheng)汽

 

4

高溫(wen)介質

 

代(dai)号

N

不(bu)帶壓力(li)、溫度補(bu)償

 

Q

 

連接形(xing)式

 

L

螺紋(wen)連接(适(shi)用于小(xiao)口徑)

 

W

法(fa)蘭連接(jie)

 

 

0

0.25MPa

 

1

0.6 MPa

 

2

1.0 MPa

3

1.6 MPa

 

4

2.5 MPa

 

5

4.0 MPa

 

6

訂貨須(xu)知
訂貨(huo)須知:
訂(ding)貨時請(qing)詳細提(ti)供以下(xia)數據:
(1)被(bei)測介質(zhi)名稱
(2)最(zui)大、常用(yong)、最小流(liu)量。
(3)工作(zuo)壓力、工(gong)作溫度(du) 、最高壓(ya)力、最高(gao)溫度
(4)介(jie)質密度(du)、粘度
(5)管(guan)道材質(zhi)、内徑、外(wai)徑
(6)現場(chang)管道敷(fu)設情況(kuang)和局部(bu)阻力件(jian)形式。

 版(ban)權所有(you):江蘇省(sheng)盈德装备制造有限责任公司       技術支(zhi)持│易品(pin)網絡

·
·