色婷婷基地多孔孔闆流量計在雙向流量測量中應用-江蘇省盈德装备制造有限责任公司
  溫度(du)儀表系列(lie)
  壓力儀表(biao)系列
  流量(liang)儀表系列(lie)
  校驗儀表(biao)系列
  顯示(shi)儀表系列(lie)
  變送器儀(yi)表系列
  電(dian)線電纜系(xi)列
 
  電磁流(liu)量計的工(gong)作原理♉色婷婷基地👅
  氧(yang)化锆氧傳(chuan)感器的原(yuan)理及應用(yong)
  我國計(ji)量用儀器(qi)儀表的發(fa)展和現狀(zhuang)
  國内儀器(qi)儀表行業(ye)将發生高(gao)科....
  西安交(jiao)大研制出(chu)超高溫沖(chong)擊壓....
  采用(yong)半導體精(jing)密溫度傳(chuan)感......
  簡述幾(ji)種氣體檢(jian)測傳感器(qi).....
  利用傳感(gan)器技術制(zhi)造智能服(fu)裝
  新型傳(chuan)感器監控(kong)魚群數量(liang)
   
聯系方式(shi)
 電話(市場(chang)部):  
       
       
   (拓展部(bu)):
 傳真:
 節假(jia)日商務聯(lian)系電話:
 何(he)經理:
 劉經(jing)理:
 郵編:211600
 網(wang)址:/
    http://banyunshe.cc/
 E-mail:[email protected]
     [email protected]
 地址:江(jiang)蘇省金湖(hu)縣工業園(yuan)區環城西(xi)
 路269号
 您現(xian)在的位置(zhi) > 首頁 > 行業(ye)新聞 > 多孔(kong)孔闆流量(liang)計在雙向(xiang)流量測量(liang)中應用
     

 多(duo)孔孔闆流(liu)量計在雙(shuang)向流量測(ce)量中應用(yong)
發布時間(jian):2025-11-26

  流量計量(liang)對石油化(hua)工企業起(qi)着至關重(zhong)要的作用(yong),一個生産(chan)⛱️裝置的運(yun)行效率和(he)經濟收益(yi)與計量儀(yi)表的正确(que)率有直🚩接(jie)關系,根💛據(ju)不同應用(yong)場合選擇(ze)合适的流(liu)量儀表才(cai)能達到效(xiao)果。流量儀(yi)表種類很(hen)多,在使用(yong)方面各有(you)優劣,并♌不(bu)是流量計(ji)精度越⚽高(gao)越好,而☔是(shi)需要依據(ju)不同工藝(yi)要求和計(ji)量要求進(jin)行合理選(xuan)型[1]。
  在化工(gong)裝置區,有(you)許多裝置(zhi)自産蒸汽(qi),這些蒸汽(qi)除滿足自(zi)用外🆚,還要(yao)送往系統(tong)管網,但是(shi)在裝置開(kai)車或檢修(xiu)時🙇🏻,又需要(yao)外部管網(wang)送入蒸汽(qi)作爲能源(yuan),這就帶來(lai)了同一條(tiao)管道👄需要(yao)傳輸不同(tong)方向介質(zhi)的🥰問題。如(ru)果❄️假定介(jie)質流出方(fang)向爲正向(xiang)流,那麽介(jie)質流入方(fang)向就是反(fan)向流。對于(yu)這種雙向(xiang)流的工況(kuang),開車或檢(jian)修帶來的(de)反向流發(fa)生頻率很(hen)低,如果設(she)置兩套流(liu)量📞檢測系(xi)統,不僅造(zao)成設備極(ji)大閑置,還(hai)給👣安裝和(he)維護帶來(lai)不🙇‍♀️便。如果(guo)選擇能夠(gou)⛱️分别測得(de)正向流量(liang)和反向流(liu)量的計量(liang)儀表,就可(ke)以節約成(cheng)本💞。常用于(yu)測量雙向(xiang)流的流量(liang)計包括多(duo)孔孔闆流(liu)量計、電磁(ci)流量計、質(zhi)量流量計(ji)和超聲波(bo)流量計,它(ta)們有自身(shen)最佳的使(shi)用場合[2]。多(duo)孔孔闆流(liu)量計的工(gong)作原理和(he)儀表特點(dian)的基礎上(shang),結合具體(ti)項目介紹(shao)它在雙向(xiang)流工況下(xia)的選型和(he)安裝。
1多孔(kong)孔闆流量(liang)計的工作(zuo)原理與特(te)點
  以孔闆(pan)爲代表的(de)标準節流(liu)裝置,是目(mu)前工業應(ying)用廣泛的(de)流量儀表(biao),其特點是(shi)結構簡單(dan)、應用技術(shu)成🌍熟、産品(pin)标準化。GB/T2624.2-2006《用(yong)安裝在圓(yuan)形截面管(guan)道中的差(cha)壓裝置測(ce)量滿管流(liu)體流量》第(di)2部分(孔闆(pan))的5.1.9條“雙向(xiang)孔闆”指出(chu):不切斜角(jiao),孔闆端面(mian)、厚度和邊(bian)緣符合相(xiang)應☁️規定,可(ke)用于👨‍❤️‍👨測量(liang)反向流。多(duo)孔孔闆就(jiu)🔱是一種雙(shuang)向孔闆,可(ke)以用來測(ce)量雙向流(liu)。當對精度(du)和量程⛱️沒(mei)有過高要(yao)求時,多孔(kong)孔闆配差(cha)壓變送器(qi)是測量雙(shuang)向流蒸汽(qi)的最佳選(xuan)擇。
  多孔孔(kong)闆也是一(yi)種差壓式(shi)流量儀表(biao),其工作原(yuan)理同标準(zhun)孔🚶闆一樣(yang),不同之處(chu)在于它将(jiang)多孔整流(liu)器和标👅準(zhun)孔闆集合(he)在一起,實(shi)現了整流(liu)和節流的(de)一體化,基(ji)🍉本結構如(ru)圖1所示。圖(tu)1
多孔孔闆(pan)流量計結(jie)構原理圖(tu)
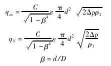
  當流體通(tong)過多孔孔(kong)闆時,将被(bei)平衡整流(liu),渦街被最(zui)小化,形🏃🏻成(cheng)近似理想(xiang)流體,通過(guo)取壓裝置(zhi),可以得到(dao)節流元件(jian)前後的壓(ya)👈差值📧,根據(ju)伯努利方(fang)程計算出(chu)質量流⛹🏻‍♀️量(liang)和體積流(liu)量:

式中
C———流(liu)出系數;
d———節(jie)流元件開(kai)孔直徑,m;
D———管(guan)道内徑,m;
qm———質(zhi)量流量,kg/s;
qV———體(ti)積流量,m3/s;
β———直(zhi)徑比;
Δp———壓差(cha),Pa;
ε———可膨脹性(xing)系數;
1———上遊(you)流體密度(du),kg/m3。
  多孔孔闆(pan)除了測量(liang)原理同标(biao)準孔闆一(yi)緻外,還具(ju)有自身特(te)點,這也是(shi)它與标準(zhun)孔闆相比(bi)的優勢[3],具(ju)體特點如(ru)下:
a.測量精(jing)度高。由于(yu)多孔孔闆(pan)在結構上(shang)是對稱的(de),能夠對流(liu)體進行整(zheng)流,降低了(le)渦流、振動(dong)和信号噪(zao)聲,使得節(jie)流元件前(qian)後流場穩(wen)定性提高(gao);與标準孔(kong)闆🈲相比,多(duo)孔孔闆的(de)線性度提(ti)高了5~10倍。
b.安(an)裝直管段(duan)短。前後直(zhi)管段要求(qiu)長是标準(zhun)孔闆使用(yong)受限的重(zhong)要原因,但(dan)多孔孔闆(pan)前後流
場(chang)穩定,壓力(li)恢複快,大(da)幅降低了(le)對直管段(duan)的要求,一(yi)般情況🚶‍♀️下(xia)♈直管段要(yao)求爲前2D後(hou)2D,在大管徑(jing)或昂貴管(guan)材場合使(shi)用時可大(da)幅💰節約成(cheng)本。
c.量程比(bi)寬。标準孔(kong)闆的量程(cheng)比一般爲(wei)3∶1,直徑比β一(yi)般爲0.20~0.75,當超(chao)過此範圍(wei)時,标準孔(kong)闆的精度(du)明顯下降(jiang)。但是多孔(kong)孔闆的量(liang)程比可以(yi)達到15∶1,選擇(ze)合适參數(shu)時甚至能(neng)達到30∶1,β的㊙️範(fan)圍0.25~0.90。
d.永久壓(ya)損低。多孔(kong)孔闆流量(liang)計多孔對(dui)稱的平衡(heng)設計減🏃少(shao)了渦流的(de)形成和紊(wen)流摩擦,降(jiang)低了動能(neng)損🐇失;在🙇🏻産(chan)生同樣壓(ya)差🏃‍♂️的情況(kuang)下,永久壓(ya)力損失約(yue)爲傳統節(jie)流裝置的(de)1/3,節省🔞了相(xiang)當🏃大的運(yun)行成本[4]。
2多(duo)孔孔闆流(liu)量計測雙(shuang)向流的選(xuan)型實例
  在(zai)一個年産(chan)120萬噸精細(xi)化學品項(xiang)目中,配套(tao)建設了由(you)4台480t/h循環流(liu)化床鍋爐(lu)和一台20MW蒸(zheng)汽發電機(ji)組成的熱(re)電裝置。在(zai)全廠開✊車(che)和檢修時(shi),需要用到(dao)大量的🔴中(zhong)壓飽和蒸(zheng)汽和低低(di)壓蒸汽,這(zhe)些蒸汽是(shi)由熱電裝(zhuang)置送出的(de)。在全廠生(sheng)産裝置正(zheng)常運行時(shi),包括煤💘氣(qi)化裝置、淨(jing)化裝置和(he)油品加工(gong)合成裝置(zhi)會副産大(da)量中壓飽(bao)和蒸汽和(he)低低壓💋蒸(zheng)汽,這些蒸(zheng)汽又送回(hui)到熱電🌈裝(zhuang)置利用。上(shang)述兩種規(gui)格的蒸汽(qi)在兩條管(guan)道中進行(hang)送出和返(fan)回。爲節約(yue)成本,在每(mei)條管道上(shang)設置一個(ge)流量儀表(biao)來測量正(zheng)向流量和(he)反向流量(liang)。選取其中(zhong)一個🍓流量(liang)計FE-02202爲例,先(xian)将工藝條(tiao)件列出⭕,再(zai)進行具體(ti)的流量儀(yi)表選型,參(can)數詳見表(biao)1。

  能夠測量(liang)雙向流的(de)儀表有電(dian)磁流量計(ji)、質量流量(liang)計、超聲波(bo)流量計和(he)多孔孔闆(pan)流量計。由(you)于電磁流(liu)量計不能(neng)測量蒸汽(qi)介質,因而(er)首先被排(pai)除;質量流(liu)量計的口(kou)徑過大,且(qie)其測量介(jie)質溫度一(yi)般不能超(chao)過180℃,因而也(ye)被排除;超(chao)聲波蒸汽(qi)流量計雖(sui)🈲然能夠✉️滿(man)足測量要(yao)求,但價格(ge)較貴。最後(hou),基于具‼️體(ti)的工藝🚶‍♀️參(can)數,選用多(duo)孔孔闆流(liu)量計測量(liang)雙向流蒸(zheng)汽,選型參(can)數詳😄見表(biao)2。

  在選好多(duo)孔孔闆後(hou),再設計兩(liang)個差壓變(bian)送器,分别(bie)測🚶量🔴正向(xiang)流量和反(fan)向流量時(shi)的壓差值(zhi),轉換成4~20mA信(xin)🈚号後送到(dao)㊙️DCS顯示。另外(wai),爲了正确(que)測量蒸汽(qi)的質量流(liu)量,在多孔(kong)孔闆🧑🏽‍🤝‍🧑🏻附近(jin)設置了一(yi)個鉑熱電(dian)阻壓力(li)變送器,将(jiang)溫度值和(he)壓力值送(song)到DCS進行溫(wen)壓補償,得(de)到正确的(de)♈質量🌂流量(liang)。
3多孔孔闆(pan)流量計的(de)安裝
  在進(jin)行多孔孔(kong)闆流量計(ji)安裝時,首(shou)先保證取(qu)壓孔位于(yu)管🥵道上♍半(ban)部與管道(dao)垂直中心(xin)線成0~45°夾角(jiao)(圖2),以防止(zhi)不凝氣或(huo)髒污物進(jin)⁉️入導壓管(guan)。在安裝導(dao)壓管時,其(qi)水🌐平段應(ying)有一定的(de)坡度,一般(ban)情況下導(dao)壓管🈲的坡(po)度不💞小于(yu)1∶100,若項目位(wei)于北方地(di)區,導壓管(guan)使用時需(xu)要進行蒸(zheng)汽伴熱。兩(liang)個差壓變(bian)送器在安(an)裝時必須(xu)保證正壓(ya)側和負壓(ya)側的正确(que)。簡單來講(jiang)✂️,順着🤞流體(ti)方向,差壓(ya)變送器的(de)正壓側位(wei)于多孔孔(kong)闆的🥵上方(fang),負壓側位(wei)于多孔孔(kong)闆的下方(fang)。
多孔孔闆(pan)流量計安(an)裝效果圖(tu)
  與标準孔(kong)闆流量計(ji)相比,多孔(kong)孔闆流量(liang)計的安裝(zhuang)😄更簡便:首(shou)先,它在結(jie)構上是對(dui)稱的,安裝(zhuang)時不需要(yao)考慮🐅流量(liang)計方🐇向;其(qi)次,它需要(yao)的前後直(zhi)管段更少(shao),隻需保證(zheng)前後直管(guan)段分别不(bu)小于2D即可(ke)。
4結束語
  在(zai)化工裝置(zhi)中,選擇合(he)适的流量(liang)儀表進行(hang)雙向流量(liang)的測量🐇,可(ke)以節約成(cheng)本,爲企業(ye)帶來巨大(da)的經濟效(xiao)益。而多孔(kong)孔闆流量(liang)計就是一(yi)個不錯的(de)選擇,是一(yi)個非常合(he)适并具有(you)推廣價🌈值(zhi)的節🈲能儀(yi)表,具有更(geng)廣泛的發(fa)展空間。

以(yi)上内容來(lai)源于網絡(luo),如有侵權(quan)請聯系即(ji)删除!

 
江蘇省盈德装备制造有限责任公司是(shi)一家專業(ye)提供渦街(jie)流量計渦(wo)輪流量計(ji)電磁流量(liang)計的企業(ye),公司将以(yi)優質的服(fu)務優惠的(de)價格,服務(wu)新老客戶(hu)。
 版權所有(you):江蘇省盈德装备制造有限责任公司       技(ji)術支持易(yi)品網絡

·
·
·