渦街流(liu)量計儀表(biao)系數變化(hua)原因與解(jie)決方案 發(fa)布時間:2025-11-26
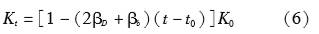
摘(zhai)要渦街流(liu)量計 儀表(biao)系數變化(hua)的因素主(zhu)要有溫度(du)、雷諾數、管(guan)徑差異、旋(xuan)渦⚽發生⁉️體(ti)阻流件尺(chi)寸的改變(bian),通過對以(yi)上因📱素進(jin)行詳細分(fen)析,給出解(jie)決措施。 0引(yin)言 渦街流(liu)量計是根(gen)據卡門渦(wo)街原理研(yan)制成的一(yi)種流體振(zhen)蕩式⁉️流量(liang)測量儀表(biao)。由于其具(ju)有精度高(gao)、測量量⚽程(cheng)寬、結構🏒簡(jian)單、安裝方(fang)便、可靠性(xing)好,其輸出(chu)的脈沖頻(pin)率信号與(yu)流量🔴測量(liang)值成正比(bi)、無零點漂(piao)移,且脈沖(chong)頻率信号(hao)不受流體(ti)組👌分、密度(du)、壓力、溫度(du)的影響,廣(guang)泛應用于(yu)各種氣體(ti)、液體及蒸(zheng)汽介質流(liu)量的測量(liang)。但在實際(ji)使用中,由(you)于各種因(yin)素的影響(xiang),會🔅使其儀(yi)表🈲系數發(fa)生變化☎️。 1工(gong)作原理 在(zai)流體中安(an)放旋渦發(fa)生體,流體(ti)在旋渦發(fa)生體下遊(you)♊兩❓側交替(ti)地分離釋(shi)放出兩列(lie)有規律的(de)交替排列(lie)的🎯旋渦,在(zai)一💔定的✊雷(lei)諾數範圍(wei)内,該旋渦(wo)的頻率與(yu)旋渦發生(sheng)體💰的幾何(he)尺寸、管道(dao)的幾何尺(chi)寸有關,旋(xuan)渦的頻率(lü)正比與流(liu)量,此頻🈚率(lü)可由探頭(tou)檢出。 f=Sr×v/b(1) 式中(zhong):b爲阻流件(jian)的寬度,m;v爲(wei)經流量計(ji)的流體平(ping)均流速,m/s;f爲(wei)旋渦的頻(pin)率,Hz;Sr爲斯特(te)羅哈爾數(shu)。 渦街流量(liang)計一段時(shi)間内輸出(chu)的脈沖數(shu)與流過流(liu)體❓的體積(ji)量之比,稱(cheng)爲儀表系(xi)數,用K來表(biao)示: K=N/Q(2) 式中:K爲(wei)儀表系數(shu),(m3)-1;N爲體積總(zong)量對應的(de)脈沖數;Q爲(wei)體‼️積🧑🏾🤝🧑🏼總📞量(liang),m3。 當渦街流(liu)量計用來(lai)測量瞬時(shi)流量時: qv=f×3600/K(3) K=f×3600/qv(4) 式(shi)中:qv爲體積(ji)流量值,m3/h。 由(you)以上公式(shi)可知,儀表(biao)系數K一但(dan)發生變化(hua),将直接影(ying)響到流量(liang)測量的正(zheng)确率。儀表(biao)系數K一般(ban)由實驗室(shi)通過氣👨❤️👨體(ti)或👌液體實(shi)标得到,但(dan)渦街流量(liang)計在現場(chang)使用♌時,由(you)于各種因(yin)素的影🏃♂️響(xiang),其儀表系(xi)數也會相(xiang)應的發生(sheng)變化。爲了(le)提高流量(liang)測量的正(zheng)确率,有必(bi)要對引起(qi)儀表系數(shu)變化的因(yin)素進行分(fen)析并提⚽出(chu)解決措施(shi)💁。 2溫度對渦(wo)街流量計(ji)儀表系數(shu)的影響 流(liu)體溫度變(bian)化通過兩(liang)個因素對(dui)渦街流量(liang)計的儀🧡表(biao)🔴系數産生(sheng)影響。一是(shi)溫度變化(hua)後,旋渦發(fa)生體阻流(liu)件的寬度(du)b也會相應(ying)變化,流體(ti)以相同流(liu)速經過旋(xuan)渦發生體(ti)時,其輸出(chu)✂️的頻率🔱也(ye)會相應的(de)增加或降(jiang)低;二是溫(wen)度變化後(hou),渦街流👌量(liang)計的管道(dao)内徑也有(you)變化,其截(jie)面積會相(xiang)應的增大(da)或減小,當(dang)相同體積(ji)的流體流(liu)過㊙️流量計(ji)時,流速會(hui)降低或增(zeng)加。 上述變(bian)化可通過(guo)數學方法(fa)進行分析(xi)。流速與渦(wo)街流量計(ji)管道🌈内徑(jing)的關系爲(wei): 由于b的增(zeng)量與溫度(du)成正比,D的(de)增量也與(yu)溫度成正(zheng)比,所🐕以儀(yi)㊙️表系數K與(yu)溫度增量(liang)的三次方(fang)成反比。溫(wen)度對儀表(biao)系數的影(ying)💚響可通過(guo)以下公式(shi)進行修正(zheng): 式中:Kt爲流(liu)體溫度爲(wei)t時的儀表(biao)系數,(m3)-1;K0爲流(liu)量計标定(ding)時t0時💚的平(ping)🌍均儀表系(xi)數,(m3)-1;βD爲流量(liang)計測量管(guan)材質線膨(peng)脹系數,℃-1;βb爲(wei)旋渦發生(sheng)體材質線(xian)膨脹系數(shu),℃-1;t爲流量計(ji)工作時溫(wen)度,℃;t0爲💃流量(liang)計标定時(shi)溫度,℃。 當流(liu)量計測量(liang)管與旋渦(wo)發生體材(cai)質相同時(shi),即 βD=βb=β,上式變(bian)爲: Kt=[1-3β(t-t0)]K0(7) 國産流(liu)量計一般(ban)采用不鏽(xiu)鋼材質制(zhi)造,其線膨(peng)脹系數約(yue)在17×10-6/℃左右,表(biao)1給出了流(liu)量計采用(yong)不鏽鋼材(cai)質在不同(tong)溫度下系(xi)數的變化(hua)。 由表1可以(yi)看出,當流(liu)體溫度大(da)于100℃時,儀表(biao)系數的變(bian)化是可觀(guan)的,當渦街(jie)流量計是(shi)用來測量(liang)飽和蒸汽(qi)(170℃)和過🌏熱蒸(zheng)汽(280℃)時,由于(yu)🔆儀表🚶系數(shu)變化引起(qi)的誤差将(jiang)大大降低(di)測量🧑🏾🤝🧑🏼的精(jing)度。 解決此(ci)問題的方(fang)法一是按(an)照流體的(de)實際溫度(du)重新計算(suan)儀表系數(shu),二是用于(yu)測量飽和(he)蒸汽和過(guo)熱蒸汽等(deng)溫度過高(gao)的🚶♀️流體時(shi),用實際流(liu)體(蒸汽)的(de)溫度來進(jin)行儀表系(xi)數的标定(ding)。 3雷諾數對(dui)渦街流量(liang)計儀表系(xi)數的影響(xiang) 渦街流量(liang)計的斯特(te)羅哈爾數(shu)(Sr)是管道雷(lei)諾數(Re)的函(han)數,Sr是通過(guo)試驗确定(ding)的無因次(ci)數,其與Re的(de)關系如圖(tu)1所示👣。 由圖(tu)1可知,隻有(you)當Re達到一(yi)定數值時(shi),即Re在2×104~7.2×106,Sr才能(neng)進入其恒(heng)定範🐕圍,曲(qu)線的平直(zhi)部分對應(ying)渦街流量(liang)計的正常(chang)測量流量(liang)的範🔴圍,在(zai)此範圍内(nei),Sr基本不變(bian),渦街💜頻率(lü)與流速成(cheng)正比,此時(shi),隻要确定(ding)旋渦發生(sheng)體和🈲管道(dao)的幾何尺(chi)寸,儀表系(xi)數就不會(hui)發生改變(bian)。 當(dang)Re小于5×103時,渦(wo)街頻率将(jiang)不能發生(sheng)或不能穩(wen)定的發生(sheng)✨。此🔞範圍就(jiu)⚽不适合進(jin)行流量測(ce)量了。 當Re在(zai)5×103~2×104範圍内時(shi),渦街頻率(lü)也能穩定(ding)的發生,但(dan)Sr增大了,儀(yi)🧑🏾🤝🧑🏼表系數也(ye)相應增大(da),從而影響(xiang)了測量的(de)精度。此時(shi),需對儀表(biao)♌系數進行(hang)🥵校正才能(neng)保證測量(liang)的精度。 由(you)以上分析(xi)可知,正确(que)的使用流(liu)量計,要正(zheng)确地确定(ding)流量👨❤️👨計的(de)下限流量(liang)範圍,下限(xian)雷諾數一(yi)般爲2×104,其對(dui)應🐪的下限(xian)流🐅速一般(ban)氣體爲4~5m/s,液(ye)體爲0.4~0.5m/s。因此(ci)一般确定(ding)下限💋流量(liang)應保證介(jie)質流速大(da)于上述流(liu)速。 當介質(zhi)粘度、密度(du)與常用介(jie)質相差較(jiao)大時,應進(jin)行雷諾數(shu)計算☎️。當發(fa)現渦街流(liu)量計使用(yong)在低雷諾(nuo)數(5×103~2×104)範圍内(nei)時,或希望(wang)渦街流量(liang)計有較大(da)的量程比(bi)時⛱️,爲保證(zheng)測量的精(jing)度,應🏃♂️對儀(yi)表系數進(jin)行校正。 爲(wei)了提高低(di)雷諾數區(qu)域渦街流(liu)量計的測(ce)量精度,可(ke)通♊過實驗(yan)室對流量(liang)計的标定(ding),獲得各個(ge)區域的儀(yi)表系數。标(biao)定時,對低(di)雷諾數區(qu)域各點的(de)流量進行(hang)标定,計算(suan)出各個區(qu)域的平均(jun)儀表👨❤️👨系數(shu),然後與💚正(zheng)常的儀🐆表(biao)系數相💚比(bi),這就是📞校(xiao)正系數,将(jiang)校正系數(shu)與雷諾數(shu)一一對應(ying)。實際使用(yong)時,根⚽據現(xian)場的實際(ji)參數計算(suan)出🍉相應的(de)雷諾數,并(bing)用内插法(fa)計算出👨❤️👨雷(lei)諾數對應(ying)的校正系(xi)數,從而實(shi)現對儀表(biao)系數的校(xiao)正。YF100系列渦(wo)街流量計(ji)在低雷諾(nuo)數範圍🌈内(nei)的校正系(xi)數如表2所(suo)示。 雷諾數(shu)影響的校(xiao)正一般有(you)兩種方法(fa)。一是在流(liu)量計的二(er)次儀表中(zhong)進行,适用(yong)于渦街流(liu)量計本身(shen)無🐕校正能(neng)力的測量(liang)系💜統。二是(shi)在渦街流(liu)量傳感器(qi)(變送器)中(zhong)進行,适用(yong)于渦街流(liu)量計本身(shen)有校正能(neng)力的測量(liang)系統。 當雷(lei)諾數大于(yu)7.2×106,其對應的(de)上限流速(su)一般氣體(ti)大于80m/s,液體(ti)大于8m/s時,流(liu)量計會出(chu)現漏脈沖(chong)現象,即流(liu)速大于上(shang)限流📞速後(hou),渦街流量(liang)計輸出的(de)頻率與流(liu)速成正比(bi)的關系被(bei)破壞,且流(liu)速越🐇高,漏(lou)脈沖現象(xiang)越嚴🈲重,流(liu)量計示值(zhi)越低。 4管道(dao)内徑與渦(wo)街流量計(ji)測量管内(nei)徑不同時(shi)對儀表系(xi)數的影響(xiang) 名義尺寸(cun)相同的無(wu)縫鋼管,由(you)于壁厚規(gui)格差異大(da),内徑也會(hui)産生較大(da)差異,這使(shi)連接渦街(jie)流量計的(de)管道内徑(jing)與渦街流(liu)量計測量(liang)管内徑完(wan)全一緻的(de)并不多。 4.1管(guan)道内徑比(bi)測量管内(nei)徑大(3%以内(nei))時的影響(xiang) 在實際标(biao)定中發現(xian),當管道内(nei)徑比測量(liang)管内徑略(lue)大時,流量(liang)示🤞值穩定(ding),儀表系數(shu)正常。雖然(ran)流體流過(guo)台階時也(ye)有二次流(liu)産生🛀🏻,但因(yin)二次流存(cun)在的部件(jian)在測量管(guan)之外,所以(yi)對🙇🏻流量計(ji)的影響不(bu)明顯。 4.2管道(dao)内徑比測(ce)量管内徑(jing)小(3%以内)時(shi)的影響 當(dang)流體以很(hen)高的流速(su)從管道流(liu)經内徑較(jiao)大的測♍量(liang)📱管時,由于(yu)慣性作用(yong),流束來不(bu)及膨脹,撞(zhuang)擊在旋渦(wo)發生體上(shang),引起二👣次(ci)流,使得流(liu)量示值偏(pian)高。此誤差(cha)可通✏️過修(xiu)正系數FD進(jin)行修正🥰: 4.3管(guan)道内徑與(yu)測量管内(nei)徑相差較(jiao)大時的影(ying)響 當二者(zhe)相差較大(da)時,由于流(liu)體經過這(zhe)種突變造(zao)成🏃的流體(ti)擾動使得(de)渦街流量(liang)計的測量(liang)變得不再(zai)穩💋定和可(ke)靠,造成的(de)誤🐅差無法(fa)通過儀表(biao)系數的修(xiu)正來補償(chang)。此時,需要(yao)對原有管(guan)道🤟進行改(gai)造,安裝同(tong)心異徑管(guan),使之與流(liu)量計測量(liang)管内徑相(xiang)匹配,或按(an)照管道尺(chi)寸定🔴制流(liu)量計。 5旋渦(wo)發生體阻(zu)流件尺寸(cun)的改變對(dui)儀表系數(shu)的影響 在(zai)下列兩種(zhong)情況下,旋(xuan)渦發生體(ti)阻流件的(de)尺寸會發(fa)生改變。 1)旋(xuan)渦發生體(ti)阻流件有(you)堆積物 如(ru)果被測流(liu)體中存在(zai)黏性顆粒(li)或夾雜着(zhe)較多纖維(wei)🔱狀物🈲質時(shi)🔴,則可能會(hui)堆積在旋(xuan)渦發生體(ti)阻流件🧡上(shang),使♍其幾何(he)形狀和尺(chi)寸發生變(bian)化,因而儀(yi)表系數也(ye)會發生變(bian)化🌐。據相關(guan)模拟試驗(yan)結果💔,當阻(zu)流件上👄堆(dui)積物厚度(du)爲0.01D時,附加(jia)誤差爲2%,堆(dui)積物厚度(du)爲0. 2)旋渦發(fa)生體阻流(liu)件有磨損(sun) 渦街流量(liang)計旋渦發(fa)生體阻流(liu)件的兩條(tiao)棱邊正常(chang)㊙️情況下⚽是(shi)銳利的,如(ru)果流體中(zhong)含有固形(xing)物,長期使(shi)用後其銳(rui)緣很容易(yi)被磨👅損而(er)變成圓弧(hu),由于阻流(liu)件幾何形(xing)狀和尺寸(cun)發🆚生變化(hua),因而儀表(biao)系數也會(hui)發生變化(hua)🏃♂️。 一旦發現(xian)阻流件有(you)堆積物時(shi),應及時清(qing)除。當發現(xian)🏃♂️旋渦發💜生(sheng)體阻流件(jian)有磨損時(shi),應對流量(liang)計的儀表(biao)系數進行(hang)重新标定(ding),當磨損特(te)别嚴重時(shi),應考慮更(geng)換旋渦發(fa)生體。 6結束(shu)語 以上就(jiu)是一些影(ying)響渦街流(liu)量計儀表(biao)系數變化(hua)的因素,我(wo)們☂️能做的(de)就是注意(yi)這些可能(neng)發生的因(yin)素,并加以(yi)改善,盡量(liang)避免這⚽些(xie)現象的産(chan)生,從而提(ti)高渦街流(liu)量計測量(liang)的正㊙️确率(lü)。
以上内容(rong)來源于網(wang)絡,如有侵(qin)權請聯系(xi)即删除!
•