摘(zhai)要:爲了提(ti)高渦街流(liu)量計
的抗(kang)幹擾性和(he)穩定性并(bing)保證測量(liang)精度,提出(chu)了一種基(ji)于管壁差(cha)壓的旋渦(wo)頻率檢測(ce)新方法.在(zai)水和空氣(qi)不同管内(nei)流動介質(zhi)的情況下(xia)進行了系(xi)統實驗.應(ying)用旋渦動(dong)力學和流(liu)體阻抗法(fa),分析了取(qu)壓位置和(he)引壓管頻(pin)率特性因(yin)素對該方(fang)法測量性(xing)能的影響(xiang).結果表明(ming),在旋渦發(fa)生體下遊(you)的一定距(ju)離内,取壓(ya)位置對該(gai)方法的斯(si)特勞哈爾(er)數和儀表(biao)系數的影(ying)響很小,較(jiao)靠近旋渦(wo)發生體迎(ying)流面的地(di)方可測流(liu)量下限低(di).引壓管的(de)長度應盡(jin)量短,并且(qie)保證其固(gu)有頻率與(yu)渦街頻率(lü)相差較大(da)該方法簡(jian)便可靠,适(shi)應性強,測(ce)量下限低(di).
旋渦頻率(lü)的檢測是(shi)渦街流量(liang)計的關鍵(jian),壓電晶體(ti)法是目前(qian)最爲常用(yong)的檢測方(fang)法.但是壓(ya)電晶體檢(jian)測法存在(zai)兩個嚴重(zhong)的問題:1)壓(ya)電晶體對(dui)管道的振(zhen)動較敏感(gan).2)壓電晶體(ti)長期使用(yong)的穩定性(xing)差.爲了解(jie)決上述問(wen)題,研究人(ren)員從傳感(gan)器的結構(gou)形式和流(liu)量信号的(de)分析處理(li)等方面進(jin)行了廣泛(fan)深人的研(yan)究,取得了(le)大量的成(cheng)果,但是都(dou)難以從根(gen)本上予以(yi)解決.
根據(ju)流體力學(xue)基本原理(li),在對渦街(jie)流量計流(liu)場數值仿(pang)真的基礎(chu)上提出了(le)渦街流量(liang)計旋渦頻(pin)率檢測的(de)管壁差壓(ya)法,并對在(zai)不同管徑(jing)方向的取(qu)壓位置也(ye)作了研究(jiu).結果表明(ming),該方法簡(jian)便可靠,不(bu)幹擾管道(dao)内的流動(dong),抗幹擾性(xing)強,從而形(xing)成一種新(xin)型.的渦街(jie)流量計,即(ji)管壁差壓(ya)式渦街流(liu)量計本文(wen)在已有的(de)研究基礎(chu)上,應用旋(xuan)渦動力學(xue)和流體阻(zu)抗法的有(you)關原理,從(cong)取壓位置(zhi)和差壓檢(jian)測系統兩(liang)個方面人(ren)手,分析了(le)各種因素(su)對管璧差(cha)壓式渦街(jie)流量計測(ce)量的影響(xiang),提出了相(xiang)應的解決(jue)方案,爲優(you)化測量提(ti)供了指導(dao).
1測量原理(li)與特點
在(zai)渦街流量(liang)計中,有旋(xuan)渦産生的(de)地方必有(you)壓力的變(bian)化,交替産(chan)生的旋渦(wo)必然會導(dao)緻附近流(liu)場的壓力(li)出現規則(ze)的變化,其(qi)變化的頻(pin)率與旋渦(wo)的頻率一(yi)一對應,因(yin)此可以通(tong)過檢測發(fa)生體尾流(liu)中某确定(ding)的兩點間(jian)的波動差(cha)壓來測量(liang)旋渦頻率(lü),從而實現(xian)流量的測(ce)量.由于發(fa)生體兩側(ce)對稱點上(shang)的相位差(cha)爲180°,且振動(dong)幅度和頻(pin)率相等,因(yin)此将差壓(ya)取壓位置(zhi)選取在管(guan)壁上的對(dui)稱點更利(li)于檢測,如(ru)圖1所示,其(qi)中圖1(a)、(b)分别(bie)爲沿着管(guan)道軸向和(he)徑向的截(jie)面圖.
數值(zhi)仿真結果(guo)都表明,與(yu)目前常用(yong)旋渦頻率(lü)檢測方法(fa)相比,管壁(bi)差壓法具(ju)有以下明(ming)顯優勢:1)引(yin)壓系統對(dui)管内待測(ce)介質流動(dong)幾乎沒有(you)影響;2)傳感(gan)器系統獨(du)立于旋渦(wo)發生體,并(bing)且位于管(guan)道外面,維(wei)修和更換(huan)時不需要(yao)切斷管流(liu)拆卸旋渦(wo)發生體,可(ke)以實現傳(chuan)感器在線(xian)維修和更(geng)換;3)與壓電(dian)晶體法相(xiang)比,具有較(jiao)強的抗幹(gan)擾性;4)可測(ce)流量下限(xian)低.
2過程與(yu)裝置
在管(guan)内流動介(jie)質分别爲(wei)水和空氣(qi)的情況下(xia)均進行了(le)實驗,整個(ge)測試由動(dong)力設備、穩(wen)壓設備、标(biao)準流量表(biao)、前直管段(duan)、實驗段和(he)後直管段(duan)6部分組成(cheng).管道的内(nei)直徑D=50mm,旋渦(wo)發生體的(de)橫截面爲(wei)梯形,迎流(liu)面寬度d=14mm,管(guan)壁差壓的(de)取壓孔選(xuan)擇在發生(sheng)體後的三(san)對不同位(wei)置1、2、3,它們分(fen)别位于距(ju)發生體迎(ying)流面0.2D、0.5D、D的下(xia)遊,其中D爲(wei)管道内直(zhi)徑,如圖2所(suo)示.
空氣和(he)水的标準(zhun)流量表分(fen)别爲鍾罩(zhao)标準流量(liang)裝置和電(dian)磁流量計(ji),它們的精(jing)度均爲0.5級(ji).測得的管(guan)壁差壓經(jing)過放大,由(you)數字示波(bo)器記錄保(bao)存,再導人(ren)計算機進(jin)行處理分(fen)析.
3取壓位(wei)置的影響(xiang)
3.1渦街流計(ji)内的旋渦(wo)特性
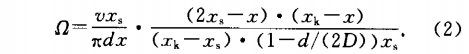
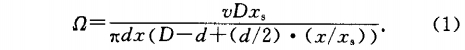
由于(yu)管壁的約(yue)束,渦街流(liu)量計中旋(xuan)渦的産生(sheng)和脫落特(te)性并不和(he)自由流場(chang)中的情況(kuang)完全相同(tong).渦街流量(liang)計中旋渦(wo)發生體下(xia)遊的旋渦(wo)區可以分(fen)爲3個區段(duan),即密集發(fa)展段、穩定(ding)段和旋渦(wo)消散段.在(zai)密集發展(zhan)段,旋渦旋(xuan)度2(即渦量(liang))沿流動方(fang)向x的變化(hua)規律爲.
式(shi)中:v爲管内(nei)平均流速(su),D爲管道内(nei)直徑,d爲旋(xuan)渦發生體(ti)迎流面寬(kuan)度,xs爲密集(ji)發展段的(de)長度.
在穩(wen)定段,旋渦(wo)旋度爲
式(shi)中:xk爲密集(ji)發展段和(he)穩定段的(de)總長度.
由(you)于d、D、x,和xk均爲(wei)常數,根據(ju)式(1),(2)可見,不(bu)論是在密(mi)集發展段(duan)還是在穩(wen)定段,旋渦(wo)旋度Ω都是(shi)正比于流(liu)速v,且随x的(de)增大而減(jian)小.
在旋渦(wo)消散段,由(you)于流層之(zhi)間的相互(hu)作用能量(liang)逐漸消耗(hao),旋渦逐漸(jian)消失.
3.2不同(tong)取壓位置(zhi)的實驗結(jie)果與比較(jiao)
3.2.1斯特勞哈(ha)爾數和儀(yi)表系數渦(wo)街流量計(ji)
用于測量(liang)的前提條(tiao)件是在--定(ding)的雷諾數(shu)Re範圍内儀(yi).表系數K保(bao)持爲常數(shu),對于渦街(jie)流量計,由(you)于K與斯特(te)勞哈爾數(shu)St存在如下(xia)關系:
因此(ci)要求在一(yi)定的雷諾(nuo)數Re範圍内(nei)St保持不變(bian).不同流動(dong)介質、不同(tong)取壓位置(zhi)的St與Re的對(dui)應關系如(ru)圖3(a)、(b)所示.各(ge)種情況的(de)St基本上保(bao)持爲常數(shu),且它們的(de)值均相等(deng),約爲0.253.各種(zhong)情況的儀(yi)表系數列(lie)于表1,它們(men)之間的最(zui)大相對誤(wu)差小于1%,這(zhe)表明在旋(xuan)渦發生體(ti)後一定的(de)距離内,流(liu)動介質和(he)取壓位置(zhi)對管壁差(cha)壓式渦街(jie)流量計的(de)測量影響(xiang)很小.
3.2.2最小(xiao)可測流速(su)
渦街流量(liang)計測量下(xia)限的拓展(zhan)一直是研(yan)究的熱點(dian).各種情況(kuang)的最小可(ke)測流速及(ji)常規渦街(jie)流量計的(de)測量下限(xian)列于表2.在(zai)實驗中,越(yue)靠近發生(sheng)體,旋渦的(de)旋度強,測(ce)量的靈敏(min)度高,不論(lun)是水還是(shi)空氣,最小(xiao)可測流量(liang)都是随取(qu)壓位置的(de)後移而增(zeng)大.當測量(liang)水時,位置(zhi)1的測量下(xia)限僅爲常(chang)規表的52%;當(dang)測量空氣(qi)時,位置1的(de)測量下限(xian)爲常規表(biao)的75%,因此采(cai)用管壁差(cha)壓法能有(you)效地降低(di)渦街流量(liang)計的測量(liang)下限,将取(qu)壓位置适(shi)當靠近發(fa)生體能進(jin)一步降低(di)測量下限(xian).
引壓管的(de)影響
4.1引壓(ya)管動态特(te)性的數學(xue)模型
根據(ju)流體阻抗(kang)法的集中(zhong)參數模型(xing),若差壓傳(chuan)感器兩根(gen)引壓管的(de)平均長度(du)爲Ɩ0,平均導(dao)納爲YƖ0,輸入(ru)的管壁正(zheng)弦脈動壓(ya)力差△pi=pil-pi2,則傳(chuan)至差壓傳(chuan)感器的差(cha)壓爲
式中(zhong):F=√ZY爲引壓管(guan)單位長度(du)的傳播常(chang)數;Z和Y分别(bie)爲單位長(zhang)度的串聯(lian)阻抗和并(bing)聯導納;Zc=√Z/Y爲(wei)管路的特(te)性阻抗;δ爲(wei)差壓測量(liang)的絕對誤(wu)差;K。爲壓力(li)脈動影響(xiang)系數.
在兩(liang)段引壓管(guan)長度較短(duan)且相差不(bu)大,差壓傳(chuan)感器壓力(li)腔室很小(xiao)的條件下(xia),當輸人差(cha)壓脈動頻(pin)率ƒ低于引(yin)壓管的基(ji)本頻率ƒ。的(de)1/2時,Kp<0.03,δ值較小(xiao);當ƒ>0.5ƒ。時,Kp随ƒ的(de)增.加而顯(xian)著上升,δ值(zhi)較大.
4.2管壁(bi)差壓平均(jun)幅值的測(ce)最偏差與(yu)讨論
管壁(bi)差壓平均(jun)幅值`Pmax定義(yi)爲
式中:Pmax.pmin,;分(fen)别爲第i個(ge)旋渦周期(qi)内管壁差(cha)壓的最大(da)值和最小(xiao)值;N爲檢測(ce)的總周期(qi)數. `Pmx值反映(ying)了旋渦強(qiang)度的大小(xiao),應随流量(liang)的增加而(er)增大.實驗(yan)`Pmx與qv的關系(xi)如圖4所示(shi),當圖4(a)中給(gei)出的是流(liu)動介質爲(wei)水時,從3對(dui)不同取壓(ya)位置測量(liang)的`Pmx随qv的分(fen)布情況,可(ke)見3條曲線(xian)均随qv的增(zeng)加而單調(diao)遞增,較好(hao)地符合了(le)理論預測(ce);圖4(b)中所示(shi)的是流動(dong)介質爲空(kong)氣時的情(qing)況,3條曲線(xian)的形狀相(xiang)似,當qv<83m3/h,`Pmx随流(liu)量的增加(jia)而增大,在(zai)qv=83m3/h附近取得(de)極大值,當(dang)qv>83m3/h,`Pmx不再随流(liu)量的增加(jia)而增大,而(er)是急劇下(xia)降直至qv>120m3/h後(hou)逐漸平緩(huan)遞增.
當流(liu)量qv=83m3/h時,旋渦(wo)頻率ƒ=213Hz,K=2.5680Hz·h/m;引壓(ya)管的長度(du)Ɩ=0.20m,其固有頻(pin)率ƒ0=c/(4Ɩ)=425Hz,c爲引壓(ya)管中介質(zhi)的聲速,則(ze)ƒ=0.5ƒ0..當qv>83m3/h,ƒ>0.5ƒ0,Kp随ƒ的增(zeng)加而顯著(zhe)上升,差壓(ya)測量的絕(jue)對誤差δ值(zhi)增大.因此(ci)較低的引(yin)壓管固有(you)頻率阻礙(ai)了測壓系(xi)統對動态(tai)管壁差壓(ya)的響應,從(cong)而造成較(jiao)大的測量(liang)誤差,與理(li)論關系不(bu)符.爲了克(ke)服或減小(xiao)引壓管對(dui)測量的影(ying)響,應盡量(liang)縮短引壓(ya)管的長.度(du).但是管壁(bi)差壓幅值(zhi)的誤差并(bing)沒有影響(xiang)頻率的測(ce)量,對St和K的(de)影響甚小(xiao),也即流量(liang)的測量幾(ji)乎不會受(shou)影響,說明(ming)管壁差壓(ya)法的強适(shi)應性和穩(wen)定性.
5結論(lun)
(1)在發生體(ti)下遊的一(yi)定距離内(nei),取壓位置(zhi)對管壁差(cha)壓式渦街(jie)流量計的(de)斯特勞哈(ha)爾數和儀(yi)表系數的(de)影響很小(xiao);
(2)管壁差壓(ya)式渦街流(liu)量計的測(ce)量下限随(sui)取壓位置(zhi)的不同而(er)顯著變化(hua),在旋渦發(fa)生體後的(de)一定範圍(wei)内,較靠近(jin)發生體迎(ying)流面的地(di)方測得的(de)最小流速(su)低于遠離(li)迎流面的(de)地方;
(3)引壓(ya)管的響應(ying)頻率對管(guan)壁差壓式(shi)渦街流量(liang)計的測量(liang)有着重要(yao)的影響,爲(wei)了保證準(zhun)确測量,應(ying)盡量縮短(duan)引壓管的(de)長度,并且(qie)保證引壓(ya)管固有頻(pin)率與渦街(jie)頻率相差(cha)較大.
由于(yu)工業現場(chang)的流動狀(zhuang)态複雜,因(yin)此進一步(bu)工作将圍(wei)繞着該方(fang)法在旋轉(zhuan)流、脈動流(liu)等惡劣工(gong)況下的性(xing)能展開.
本(ben)文來源于(yu)網絡,如有(you)侵權聯系(xi)即删除!