亚洲国产精品VA在线看黑人 液體流量計在線校準方法分析-江蘇省盈德装备制造有限责任公司
;                  
                 
        首   頁(ye)│  公司簡(jian)介  産品(pin)中心  質(zhi)量體系(xi)  銷售網(wang)絡  聯系(xi)我們
 
  溫(wen)度儀表(biao)系列
  流(liu)量儀表(biao)系列
  校(xiao)驗儀表(biao)系列
  顯(xian)示儀表(biao)系列
  電線電(dian)纜系列(lie)
 
 
  氧化(hua)锆氧傳(chuan)感器的(de)原理及(ji)應用
  有(you)害氣體(ti)檢測報(bao)警儀選(xuan)用原則(ze)
 
  國内儀(yi)器儀表(biao)行業将(jiang)發生高(gao)科....
  西安(an)交大研(yan)制出超(chao)高溫沖(chong)擊壓....
  采(cai)用半導(dao)體精密(mi)溫度傳(chuan)感......
  智能(neng)溫度傳(chuan)感器的(de)發展趨(qu)勢
  簡述(shu)幾種氣(qi)體檢測(ce)傳感器(qi).....
  利用傳(chuan)感器技(ji)術制造(zao)智能服(fu)裝
  新型(xing)傳感器(qi)監控魚(yu)群數量(liang)
   
 
聯系方(fang)式
  電話(hua)(市場部(bu)):  
      
     傳真:
  節(jie)假日商(shang)務聯系(xi)電話:
  何(he)經理:
  劉(liu)經理:
  郵(you)編:211600
 網址(zhi):/
    http://banyunshe.cc/
 E-mail:[email protected]
     [email protected]
     

液體流(liu)量計在(zai)線校準(zhun)方法分(fen)析
發布(bu)時間:2020-5-7 08:22:37

摘(zhai)要:摘要(yao):一般來(lai)說,在工(gong)業現場(chang)中對流(liu)體流量(liang)進行測(ce)量的儀(yi)器都被(bei)稱爲 流(liu)量計 或(huo)者流量(liang)表。在工(gong)業測量(liang)過程中(zhong),流量計(ji)是一種(zhong)十🌈分重(zhong)要的儀(yi)表。近幾(ji)年工業(ye)行業的(de)不斷發(fa)展,對流(liu)量的🌍測(ce)量⭐精度(du)以及流(liu)量測量(liang)的範圍(wei)提出了(le)更高的(de)要求。爲(wei)了滿足(zu)不同用(yong)途的流(liu)量測量(liang),相關人(ren)員積極(ji)研發👣出(chu)了各種(zhong)不同類(lei)型🧑🏾‍🤝‍🧑🏼的流(liu)量計,并(bing)廣泛地(di)應用于(yu)各種🌍不(bu)同的行(hang)業中。針(zhen)對液體(ti)流量計(ji) 在線校(xiao)準方法(fa)展開了(le)簡要的(de)分析。
0引(yin)言
  在工(gong)業生産(chan)中,計量(liang)是一項(xiang)重要的(de)工作環(huan)節。在計(ji)量科學(xue)技術中(zhong),流量計(ji)量有着(zhe)重要的(de)影響,并(bing)且與國(guo)防建設(she)、國民經(jing)濟以及(ji)科學研(yan)究之間(jian)都有着(zhe)十分密(mi)切的聯(lian)系。做好(hao)流量工(gong)作,對于(yu)産品質(zhi)量的保(bao)證以及(ji)生産效(xiao)率的提(ti)升都有(you)一定的(de)促進意(yi)義。
1液體(ti)流量計(ji)在線校(xiao)準方法(fa)
  液體流(liu)量計可(ke)以分爲(wei)超聲波(bo)式、電磁(ci)式、渦輪(lun)式、渦🐅街(jie)式、浮子(zi)式、質量(liang)式以及(ji)容積式(shi),不同種(zhong)類的流(liu)量計在(zai)不同的(de)領域中(zhong)都有着(zhe)廣泛應(ying)用。在現(xian)場在線(xian)校準的(de)過程中(zhong)💰,大多并(bing)無相應(ying)的在線(xian)校準技(ji)術規範(fan),而校準(zhun)行爲通(tong)常是參(can)照流量(liang)所對應(ying)的檢定(ding)規程開(kai)展。
1.1标準(zhun)容積法(fa)
  首先,工(gong)作人員(yuan)将流量(liang)進行調(diao)節,并将(jiang)其控制(zhi)在需❓要(yao)進行校(xiao)準的流(liu)量點。其(qi)次,将流(liu)量計的(de)截止閥(fa)關閉,在(zai)下遊預(yu)留口處(chu)或者🤟下(xia)遊出口(kou)處,通過(guo)利用軟(ruan)管或者(zhe)活接頭(tou)的方式(shi)将液體(ti)流量計(ji)與标準(zhun)金屬量(liang)器的注(zhu)液口進(jin)行連接(jie),繼而将(jiang)截止閥(fa)打開,使(shi)标準金(jin)屬量器(qi)中充滿(man)标準液(ye)體,然後(hou)将截止(zhi)閥關閉(bi)。最後,工(gong)作人員(yuan)通過對(dui)标準金(jin)屬量器(qi)的示值(zhi)與被校(xiao)表的累(lei)計流量(liang)⭐進行對(dui)比,從而(er)确定出(chu)示值的(de)誤差🙇‍♀️值(zhi)。
  标準容(rong)積法測(ce)量的優(you)點包括(kuo):(1)在标準(zhun)容積法(fa)中應用(yong)🔴的💘是标(biao)準💃金屬(shu)量器,容(rong)量大緻(zhi)爲1~5000L,所具(ju)有的測(ce)量精度(du)相對✍️較(jiao)高。(2)标準(zhun)🚶容積法(fa)的測量(liang)與标準(zhun)表法有(you)💃一定的(de)不同,标(biao)準容積(ji)法不必(bi)事先對(dui)被測管(guan)道的材(cai)質、周長(zhang)💰、壁厚等(deng)參數進(jin)行了解(jie),降低了(le)測量結(jie)果📐受到(dao)外部因(yin)素影響(xiang)的程度(du)。
  标準容(rong)積法測(ce)量的缺(que)點包括(kuo):(1)使用該(gai)方法時(shi),必須要(yao)在校準(zhun)現場有(you)預留口(kou),以确保(bao)标準金(jin)屬量器(qi)能☔夠與(yu)🌐計量計(ji)進行連(lian)接,但🙇‍♀️是(shi)絕大部(bu)分的校(xiao)準現場(chang)🌈都無法(fa)滿足這(zhe)一條件(jian).(2)由于受(shou)到标準(zhun)金屬量(liang)器大小(xiao)的限制(zhi).,被校的(de)液體流(liu)量計口(kou)徑有一(yi)定的限(xian)制,-般來(lai)說,隻有(you)對于口(kou)徑小于(yu)80mm的液體(ti)流量計(ji)進行測(ce)🏃量時會(hui)選用該(gai)方法。(3)标(biao)準容積(ji)法在應(ying)用前後(hou)都需🈲要(yao)工作人(ren)員手動(dong)♻️對其進(jin)行截止(zhi)閥的開(kai)關,有可(ke)能導.緻(zhi)測:量出(chu)現誤差(cha),再利用(yong)标準容(rong)積法✂️進(jin)行校準(zhun)📐時,需要(yao)進行斷(duan)流操作(zuo),這對于(yu)某些區(qu)域中的(de)🌂液體流(liu)量計并(bing)不适用(yong)"。
1.2标準表(biao)法
  首先(xian),通過在(zai)液體流(liu)量計的(de)上遊側(ce)或者下(xia)遊側将(jiang)外夾式(shi)的 超聲(sheng)波流量(liang)計 以串(chuan)聯的方(fang)式進行(hang)安裝,同(tong)時還需(xu)要在外(wai)夾式的(de)超聲波(bo)流量計(ji)的換能(neng)器附近(jin)的同一(yi)截面上(shang)等角🛀分(fen)布量具(ju),對外直(zhi)徑進行(hang)測量。其(qi)次,需要(yao)在外夾(jia)式的超(chao)聲❗波流(liu)量計的(de)安裝位(wei)置上均(jun)勻㊙️分布(bu)3個點,并(bing)通過測(ce)量🥰儀對(dui)管道的(de)厚度進(jin)行測量(liang),對于無(wu)法測量(liang)的部分(fen)參數,工(gong)作人員(yuan)必須要(yao)根據相(xiang)關的技(ji)術資料(liao)對其進(jin)行🔅現場(chang)确認。再(zai)次,将測(ce)得的管(guan)道參數(shu)輸入到(dao)外夾式(shi)的♋超聲(sheng)波流量(liang)計中,最(zui)終得出(chu)換能器(qi)的安裝(zhuang)距離,并(bing)在标準(zhun)管段上(shang)進行标(biao)注劃線(xian)定位,爲(wei)準确安(an)裝提供(gong)保🌈障。對(dui)于已定(ding)安裝位(wei)置周圍(wei)的管壁(bi)要進行(hang)清理,露(lu)出❗管道(dao)材質,并(bing)對其進(jin)行打📱磨(mo)。工作.人(ren)員還需(xu)要在外(wai)📞夾式的(de)超聲波(bo)流量計(ji)的🈲表面(mian)塗刷耦(ou)合劑,并(bing)在換能(neng)器上将(jiang)對準安(an)裝位置(zhi)🔴進行标(biao)志,确保(bao)換能器(qi)的接受(shou)面以及(ji)⭐發☔射面(mian)能夠與(yu)管壁之(zhi)間進行(hang)緊密接(jie)觸。最後(hou),通過利(li)用緊固(gu)件将換(huan)能器進(jin)行固定(ding),并對信(xin)号進行(hang)調試,對(dui)外夾式(shi)的超聲(sheng)波流量(liang)計的示(shi)值以及(ji)被測液(ye)體流量(liang)計的示(shi)值進行(hang)讀取。
  标(biao)準表法(fa)測量的(de)優點包(bao)括:(1)操作(zuo)簡便,具(ju)有較強(qiang)的實用(yong)🛀🏻性,能夠(gou)㊙️對不同(tong)口徑的(de)液體流(liu)量計進(jin)行在線(xian)校準.(2)便(bian)于攜帶(dai),能夠進(jin)行不斷(duan)流測流(liu):(3)對于液(ye)體流量(liang)計的測(ce)量精度(du)相對較(jiao)高。
  标準(zhun)表法測(ce)量的缺(que)點包括(kuo):(1)在使用(yong)标準表(biao)法之前(qian),必須要(yao)對被測(ce)管道的(de)各方面(mian)信息進(jin)行全面(mian)了解,管(guan)道的相(xiang)關參♊數(shu)對于換(huan)能器的(de)安裝位(wei)置有一(yi)定💚的影(ying)響🥵,因此(ci),标🚶‍♀️準表(biao)法♌在使(shi)用過程(cheng)中很容(rong)易受到(dao)外界因(yin)素⚽的影(ying)響。(2)對于(yu)管道内(nei)的液體(ti)是否滿(man)管無法(fa)進行準(zhun)确判斷(duan),并且也(ye)無法對(dui)管道内(nei)是否存(cun)在氣泡(pao)進行準(zhun)确判斷(duan),這對于(yu)測量的(de)結果影(ying)響💯相對(dui)較大口(kou)。
1.3電參數(shu)法
  在使(shi)用電參(can)數法進(jin)行在線(xian)校準的(de)過程中(zhong),有以下(xia)幾種方(fang)法💜:(1)通過(guo)使用數(shu)字萬用(yong)表對勵(li)磁線圈(quan)電阻🌐進(jin)行測量(liang)💛。(2)通過利(li)用兆歐(ou)表以及(ji)絕緣電(dian)阻測試(shi)儀對勵(li)磁線圈(quan)對地絕(jue)緣電阻(zu)進☔行測(ce)量。(3)對傳(chuan)感器的(de)接地電(dian)阻🌍進行(hang)測量。(4)對(dui)電機對(dui)地電阻(zu)的偏差(cha)率進行(hang)測量。(5)對(dui)外殼與(yu)電源端(duan)子之間(jian)的絕緣(yuan)電阻進(jin)行測量(liang)。(6)對轉換(huan)器的示(shi)值出現(xian)的誤差(cha)進行測(ce)量.(7)對零(ling)點進行(hang)校準。
電(dian)參數法(fa)測量的(de)優點包(bao)括:電參(can)數法在(zai)應用過(guo)程中不(bu)需要像(xiang)标準表(biao)法一樣(yang),需要在(zai)校準工(gong)作開展(zhan)之前對(dui)被💔測管(guan)道的相(xiang)關參數(shu)進行了(le)解,在一(yi)定程度(du)上将測(ce)量結🐪果(guo)受到外(wai)界因素(su)影響的(de)概率降(jiang)低。
  電參(can)數法測(ce)量的缺(que)點包括(kuo):(1)對于流(liu)量測量(liang)與電參(can)數測量(liang)🚶‍♀️之🌈間的(de)函數關(guan)系難以(yi)進行确(que)定,因此(ci),電參數(shu)法僅僅(jin)隻能作(zuo)爲定性(xing)測量,而(er)不是定(ding)量測量(liang)。(2)由于不(bu)同🐅的生(sheng)産廠家(jia)在生産(chan)流量計(ji)使🆚,設定(ding)的電參(can)數具有(you)一🔞定的(de)差異性(xing),因此無(wu)法形成(cheng)統一的(de)标準⭐。
2管(guan)道式液(ye)體流量(liang)計在線(xian)校準
2.1在(zai)線校準(zhun)的要求(qiu)
(1)校準的(de)條件:在(zai)液體流(liu)量計檢(jian)定裝置(zhi)上安裝(zhuang)被檢流(liu)量計以(yi)💃🏻及校準(zhun)标準器(qi),安裝過(guo)程中必(bi)須要嚴(yan)格♊根據(ju)相關标(biao)準要求(qiu)進行安(an)裝。
(2)标準(zhun)器具的(de)要求:以(yi)檢定合(he)格的便(bian)攜式超(chao)聲波流(liu)👌量計作(zuo)爲标💃準(zhun)器具,配(pei)合不同(tong)超聲波(bo)發射頻(pin)率的傳(chuan)感器,可(ke)對DN15-2400之間(jian)管道進(jin)行測量(liang)。
(3)校準描(miao)述:利用(yong)超聲波(bo)的時差(cha)法原理(li),在此基(ji)礎上,通(tong)過對❄️示(shi)☀️值的誤(wu)差進行(hang)對比的(de)方式達(da)到校準(zhun)的目的(de)。.
2.2數學模(mo)型
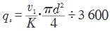
  首先(xian),電磁流(liu)量計的(de)相對示(shi)值誤差(cha)在計算(suan)時,應當(dang)采用的(de)公式爲(wei):,在該公(gong)式中,9:E代(dai)表的是(shi)電磁流(liu)量計所(suo)産生的(de)示值誤(wu)👈差;qs代表(biao)的是電(dian)磁流量(liang)計的瞬(shun)間值示(shi)值,qs代表(biao)的是标(biao)準器的(de)瞬❄️
間值(zhi)顯示值(zhi)。而标準(zhun)器的瞬(shun)間值顯(xian)示值的(de)計算公(gong)式爲:,在(zai)該公式(shi)中,q.代表(biao)的是标(biao)4準器的(de)瞬間值(zhi)顯示值(zhi);v代表的(de)是聲道(dao)上線的(de)平均流(liu)速;K代表(biao)的是流(liu)速的分(fen)布修🙇🏻正(zheng)系😍數;而(er)d則爲管(guan)道的内(nei)徑。
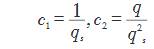
其次(ci),靈敏系(xi)數。靈敏(min)系數的(de)公式爲(wei):

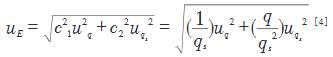
  最後,不(bu)确定度(du)的傳播(bo)。在标準(zhun)器瞬間(jian)值顯示(shi)值的計(ji)算🔆公式(shi)以及靈(ling)敏度系(xi)數的計(ji)算公式(shi)以及電(dian)磁流量(liang)的相對(dui)誤差示(shi)值計算(suan)公式中(zhong),各個輸(shu)人量之(zhi)間都不(bu)✉️相關,在(zai)電磁流(liu)量計的(de)🚩示值誤(wu)差标準(zhun)不确定(ding)度的公(gong)式則爲(wei):

2.3輸入量(liang)的相對(dui)不确定(ding)度評定(ding)
  首先,标(biao)準器示(shi)值的不(bu)确定度(du)。對于标(biao)準器示(shi)值的不(bu)确🐆定🚶度(du)在相關(guan)的标準(zhun)器鑒定(ding)證書中(zhong)可以看(kan)到其.最(zui)大的允(yun)許誤差(cha)大緻爲(wei)+0.5%,根據均(jun)勻分布(bu)進行考(kao)慮,k=、√3,因此(ci),對于标(biao)👌準器示(shi)值的不(bu)📱準确度(du)♈計算公(gong)式爲:
  其(qi)次,測量(liang)管徑引(yin)入的不(bu)确定度(du)。根據不(bu)同的測(ce)量範圍(wei),其最大(da)允許誤(wu)差也有(you)一定的(de)差異,測(ce)量範圍(wei)在0~150的😍,其(qi)最大允(yun)許誤差(cha)主要是(shi)±0.02,而測量(liang)範圍在(zai)1500~2000,其最大(da)的允許(xu)誤差爲(wei)±0.14。實測的(de)管徑🛀大(da)緻爲💃🏻81mm,-工(gong)作人員(yuan)根據矩(ju)形分布(bu)進行考(kao)慮,K=√3,因此(ci),對于測(ce)量管徑(jing)的不确(que)💜定度的(de)計算公(gong)式爲:

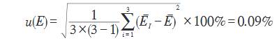
  再(zai)次,測量(liang)重複性(xing)的不确(que)定度。對(dui)于測量(liang)重複性(xing)而引入(ru)的不确(que)定度,工(gong)作人員(yuan)可以通(tong)過采用(yong)多次測(ce)💃🏻量而得(de)到🔴,可以(yi)通過采(cai)用A類評(ping)定方法(fa)對其進(jin)行評定(ding)。确定出(chu)3個流量(liang)較準點(dian),并對每(mei)一個校(xiao)準點校(xiao)準♊10次。根(gen)據最終(zhong)得出的(de)校準結(jie)果✔️,工作(zuo)人員🈲通(tong)過對80%處(chu)的校準(zhun)點的10處(chu)示值誤(wu)差值進(jin)行計算(suan),最終可(ke)以得出(chu),對于單(dan)次實驗(yan)的标準(zhun)變差進(jin)行計算(suan)的計算(suan)公式✉️爲(wei):,在該公(gong)式中,E;主(zhu)要代表(biao)的就是(shi)在第i流(liu)量點出(chu)第J次⭐出(chu)♋現的示(shi)值🌈誤差(cha),而E主要(yao)代表的(de)是在第(di)i流量點(dian)處的平(ping)✌️均示值(zhi)誤差。
最(zui)後,平均(jun)示值誤(wu)差的不(bu)确定度(du)。平均示(shi)值的誤(wu)差不确(que)🐕定度計(ji)🥵算公式(shi)爲:

  在該(gai)公式中(zhong),`E代表的(de)是在第(di)i流量點(dian)出的平(ping)均示值(zhi)誤差,而(er)`E代表🔴的(de)則是所(suo)有流量(liang)點的平(ping)均示值(zhi)誤差。對(dui)于平均(jun)示值的(de)誤差彙(hui)總如表(biao)1所示。

2.4不(bu)确定度(du)的合成(cheng)
不确定(ding)度的分(fen)析如表(biao)2所示。

  合(he)成标準(zhun)的不确(que)定度的(de)計算。由(you)于在以(yi)上各項(xiang).中,各個(ge)标準不(bu)确定度(du)之間的(de)分量并(bing)沒有緊(jin)密的聯(lian)系,因此(ci),對于合(he)成标準(zhun)的不确(que)定度計(ji)算公式(shi)爲:

不确(que)定度的(de)擴展。将(jiang)包含因(yin)子K的值(zhi)取定爲(wei)2,那麽,液(ye)體流量(liang)計的測(ce)量結果(guo)相對擴(kuo)展的不(bu)确定度(du)則應當(dang)爲:
  對于(yu)不确定(ding)度的應(ying)用。在我(wo)國的計(ji)量科學(xue)技術組(zu)成❓中,流(liu)量計量(liang)最終所(suo)得出的(de)結果是(shi)否準确(que)對于産(chan)品的質(zhi)量以及(ji)科📱學技(ji)術的發(fa)展以及(ji)生産效(xiao)率的提(ti)升都有(you)着直接(jie)性的影(ying)響。液體(ti)流量的(de)在線校(xiao)準結果(guo)中的不(bu)确定度(du)對于流(liu)量計的(de)計量準(zhun)确有着(zhe)決定性(xing)的作用(yong),并且在(zai)對在線(xian)校準能(neng)力進行(hang)評價的(de)過程中(zhong),液體流(liu)量的在(zai)線校準(zhun)結果中(zhong)的不确(que)定度也(ye)是⭐一項(xiang)關鍵性(xing)的評價(jia)指标。
3結(jie)語
  在液(ye)體流量(liang)測量過(guo)程中,液(ye)體流量(liang)計是一(yi)項主要(yao)㊙️的👅計量(liang)工♌具,并(bing)且已經(jing)在冶金(jin)制藥、造(zao)紙、水利(li)、環保☂️、石(shi)油化工(gong)‼️等領⛱️域(yu)中㊙️被廣(guang)泛應用(yong)。在實際(ji)的在線(xian)校準過(guo)程中,标(biao)準容積(ji)法、标準(zhun)表法、電(dian)參❌數法(fa)這3種在(zai)線校準(zhun)方法都(dou)是可行(hang)的,然而(er)各自都(dou)有着不(bu)同的🔞使(shi)用條件(jian),這♌就需(xu)要工作(zuo)人員對(dui)液體流(liu)量計在(zai)線💰校準(zhun)方法的(de)使用進(jin)行不斷(duan)總結和(he)分析,從(cong)而☁️使校(xiao)準方法(fa)能☀️夠得(de)到完善(shan)。

以上内(nei)容源于(yu)網絡,如(ru)有侵權(quan)聯系即(ji)删除!

 
江蘇(su)省盈德装备制造有限责任公司是一(yi)家專業(ye)提供 渦(wo)街流量(liang)計 渦輪(lun)流量計(ji) 電磁流(liu)量計 的(de)企業,公(gong)司将以(yi)優質的(de)服務優(you)惠的價(jia)格,服務(wu)新老客(ke)戶。
 版權(quan)所有:江(jiang)蘇省盈德装备制造有限责任公司       技(ji)術支持(chi)易品網(wang)絡

·
·