|
聯系(xi)方式(shi)
|
|
電話(hua)(市場(chang)部):
|
|
|
|
|
|
(拓(tuo)展部(bu)):
|
|
傳真(zhen):
|
節假(jia)日商(shang)務聯(lian)系電(dian)話:
何(he)經理(li):
劉經(jing)理:
|
|
郵(you)編:211600
|
|
網(wang)址:/
|
|
http://banyunshe.cc/
|
|
E-mail:[email protected]
|
|
[email protected]
|
地(di)址:江(jiang)蘇省(sheng)金湖(hu)縣工(gong)業園(yuan)區環(huan)城西(xi)
路269号(hao)
|
|
|
|
您現(xian)在的(de)位置(zhi) > 首頁(ye)
> 行業(ye)新聞(wen)
> 多孔(kong)平衡(heng)流量(liang)計工(gong)作原(yuan)理與(yu)應用(yong)
|
|
|
時間(jian):2024-5-6 08:40:26
|
|
多孔(kong)平衡(heng)流量(liang)計工(gong)作原(yuan)理與(yu)應用(yong)
|
摘要(yao):随着(zhe)現代(dai)工業(ye)自動(dong)化生(sheng)産工(gong)藝對(dui)管道(dao)流體(ti)測量(liang)穩🌈定(ding)性和(he)精準(zhun)性提(ti)出的(de)的要(yao)求,一(yi)種新(xin)型多(duo)孔平(ping)衡流(liu)量計(ji)
應運(yun)而生(sheng),文章(zhang)介紹(shao)多孔(kong)平衡(heng)流量(liang)計的(de)工作(zuo)原理(li),通過(guo)對流(liu)量計(ji)在鹽(yan)行業(ye)使用(yong)過程(cheng)中發(fa)生的(de)兩起(qi)案例(li)深刻(ke)分析(xi),闡明(ming)選用(yong)💞平衡(heng)流量(liang)計需(xu)注意(yi)的事(shi)項,爲(wei)同行(hang)業相(xiang)同工(gong)藝制(zhi)定運(yun)行指(zhi)導數(shu)據、開(kai)展設(she)備維(wei)修提(ti)供借(jie)鑒參(can)考。
1引(yin)言
随(sui)着現(xian)代工(gong)業自(zi)動化(hua)生産(chan)工藝(yi)對管(guan)道流(liu)體測(ce)量🏒穩(wen)定性(xing)和精(jing)準性(xing)提出(chu)的更(geng)高要(yao)求,一(yi)種新(xin)型多(duo)孔平(ping)衡流(liu)量計(ji)應‼️運(yun)而生(sheng),它由(you)美國(guo)航空(kong)航天(tian)局馬(ma)歇爾(er)航空(kong)飛行(hang)中㊙️心(xin)設計(ji)。作爲(wei)第三(san)代節(jie)流裝(zhuang)置,多(duo)孔平(ping)衡流(liu)量計(ji)簡稱(cheng)平衡(heng)流量(liang)計,它(ta)将流(liu)體測(ce)量精(jing)度、重(zhong)複性(xing)、可靠(kao)性推(tui)到了(le)一個(ge)前所(suo)未有(you)的高(gao)度,廣(guang)泛應(ying)用于(yu)石油(you)、化工(gong)、冶金(jin)、電力(li)、天然(ran)氣、水(shui)處理(li)等行(hang)業🈲。多(duo)孔平(ping)衡流(liu)量計(ji)設備(bei)性能(neng)良好(hao),但在(zai)設計(ji)選型(xing)及設(she)✌️備安(an)裝時(shi)需注(zhu)意細(xi)節處(chu)理,否(fou)則影(ying)響性(xing)能發(fa)揮。
2多(duo)孔平(ping)衡流(liu)量計(ji)的工(gong)作原(yuan)理
多(duo)孔平(ping)衡流(liu)量計(ji)是一(yi)種差(cha)壓式(shi)測量(liang)儀表(biao),其工(gong)作原(yuan)理與(yu)其他(ta)差壓(ya)流量(liang)計--樣(yang),都是(shi)基于(yu)密封(feng)管道(dao)中的(de)能量(liang)轉換(huan)原理(li)。在理(li)想流(liu)體的(de)情況(kuang)下管(guan)道中(zhong)的流(liu)量與(yu)差壓(ya)的📐平(ping)方根(gen)成正(zheng)比,再(zai)用測(ce)量出(chu)的差(cha)壓代(dai)人伯(bo)努利(li)方程(cheng)即可(ke)計算(suan)出🔞管(guan)道中(zhong)的流(liu)量,如(ru)圖🔞1所(suo)示。
節(jie)流器(qi)原理(li)是在(zai)常規(gui)的孔(kong)闆節(jie)流闆(pan)中心(xin)一個(ge)圓🈚孔(kong)的基(ji)礎上(shang)結合(he)多孔(kong)節流(liu)器的(de)特點(dian),組成(cheng)對稱(cheng)分布(bu)擁有(you)數量(liang)不等(deng)的函(han)數孔(kong),當介(jie)質流(liu)過圓(yuan)孔時(shi),流體(ti)被平(ping)衡調(diao)整🌈,渦(wo)流被(bei)最小(xiao)化,形(xing)成近(jin)🛀🏻似理(li)想流(liu)體,通(tong)過取(qu)壓✔️裝(zhuang)置和(he)變🌈送(song)器,可(ke)獲得(de)穩定(ding)的差(cha)壓信(xin)号,如(ru)圖2所(suo)示。
将(jiang)測得(de)的差(cha)壓信(xin)号代(dai)人以(yi)下簡(jian)易公(gong)式,即(ji)可測(ce)算出(chu)理想(xiang)狀态(tai)下被(bei)測流(liu)體流(liu)量;
式(shi)中:
qm一(yi)介質(zhi)流量(liang)(kg/h);
K一儀(yi)表常(chang)數;
Ɛ一(yi)流體(ti)流束(shu)膨脹(zhang)系數(shu);
△P一所(suo)測差(cha)壓值(zhi);
ρ一介(jie)質密(mi)度(kg/m3)。
多(duo)孔平(ping)衡流(liu)量計(ji)實現(xian)了流(liu)場平(ping)衡整(zheng)流最(zui)佳效(xiao)果,将(jiang)測量(liang)常♻️規(gui)中的(de)死區(qu)效應(ying)降到(dao)最低(di),節流(liu)件前(qian)後産(chan)生的(de)渦⛹🏻♀️流(liu)也有(you)較大(da)程度(du)降低(di)。在測(ce)量理(li)想狀(zhuang)态下(xia)的流(liu)體時(shi),對直(zhi)管段(duan)的要(yao)求也(ye)大大(da)降低(di),雜物(wu)滞留(liu)現象(xiang)基本(ben)消除(chu)。永久(jiu)壓力(li)損🌈失(shi)由于(yu)渦流(liu)減少(shao)降低(di)爲常(chang)規節(jie)流裝(zhuang)置的(de)1/3,量程(cheng)比擴(kuo)展到(dao)10:1。它采(cai)用的(de)無銳(rui)角設(she)計,提(ti)高了(le)産品(pin)使用(yong)壽命(ming)。
多孔(kong)平衡(heng)流量(liang)計的(de)優異(yi)表現(xian),獲得(de)大家(jia)的一(yi)緻認(ren)可并(bing)在♊工(gong)業領(ling)域得(de)到廣(guang)泛應(ying)用。但(dan)是,在(zai)實際(ji)使用(yong)過程(cheng)中,也(ye)🏃🏻♂️會遇(yu)到一(yi)些問(wen)題造(zao)成測(ce)量數(shu)據異(yi)常,影(ying)響工(gong)藝操(cao)作。下(xia)面就(jiu)實際(ji)應用(yong)中的(de)兩起(qi)多孔(kong)平衡(heng)流量(liang)計運(yun)行異(yi)常情(qing)況進(jin)行分(fen)析。
3多(duo)孔平(ping)衡流(liu)量計(ji)應用(yong)中測(ce)量異(yi)常的(de)案例(li)分析(xi)
3.1案例(li)一
新(xin)建鹽(yan)鈣聯(lian)産項(xiang)目2020年(nian)投人(ren)試生(sheng)産,鹽(yan)鈣生(sheng)産工(gong)藝分(fen)爲㊙️NaCl與(yu)2H2O.CaCl2兩個(ge)産品(pin)生産(chan)系統(tong),均沿(yan)用傳(chuan)統的(de)蒸發(fa)制鹽(yan)工藝(yi)。該♈套(tao)工藝(yi)裝置(zhi)采用(yong)多孔(kong)平衡(heng)流量(liang)計(3台(tai))測量(liang)低壓(ya)蒸汽(qi)進汽(qi)量,正(zheng)常運(yun)行時(shi),理論(lun).上蒸(zheng)汽流(liu)量應(ying)滿足(zu)A=B+C。其中(zhong)A流量(liang)計爲(wei)總管(guan)進☂️汽(qi)流量(liang)計;B流(liu)量計(ji)與圖(tu)中控(kong)制閥(fa)之間(jian)有一(yi)套🍉自(zi)動控(kong)制調(diao)節氣(qi)量閉(bi)環程(cheng)序,定(ding)量控(kong)制調(diao)節系(xi)統進(jin)汽📱量(liang)用以(yi)實現(xian)供✨氣(qi)的穩(wen)定性(xing);C流♍量(liang)計出(chu)口設(she)計有(you)一台(tai)開⭐關(guan)閥,閥(fa)門設(she)有中(zhong)停功(gong)能,運(yun)行時(shi)固定(ding)開度(du)使用(yong)。A、B流量(liang)⭕計口(kou)徑與(yu)現場(chang)低壓(ya)主蒸(zheng)汽管(guan)道口(kou)徑同(tong)爲DN800,流(liu)量計(ji)型号(hao)爲MBF4(非(fei)貿易(yi)型)。
由(you)于試(shi)生産(chan)階段(duan)2H2O.CaCl2生産(chan)系統(tong)暫未(wei)開啓(qi),C流量(liang)計狀(zhuang)态爲(wei)0,理論(lun).上流(liu)經A、B的(de)蒸汽(qi)流量(liang)數據(ju)應保(bao)持一(yi)緻。但(dan)實✨際(ji)上A與(yu)B兩台(tai)流量(liang)計所(suo)測量(liang)數據(ju)并不(bu)一緻(zhi),流量(liang)無㊙️規(gui)律性(xing)波動(dong),極不(bu)穩定(ding),B流量(liang)計的(de)閉環(huan)程序(xu)由于(yu)數🐆據(ju)波動(dong)過大(da)無法(fa)投入(ru)運行(hang)。由于(yu)鹽鈣(gai)項🧑🏾🤝🧑🏼目(mu)屬全(quan)國首(shou)套(石(shi)膏晶(jing)種)2H2O.CaCl2生(sheng)産裝(zhuang)置🍉,在(zai)國内(nei)還沒(mei)🌈有可(ke)以借(jie)鑒的(de)經驗(yan),能源(yuan)消耗(hao)的準(zhun)确度(du)對指(zhi)導運(yun)行生(sheng)産🔆就(jiu)顯得(de)十分(fen)重要(yao),盡快(kuai)解決(jue)問題(ti)已迫(po)在眉(mei)睫。
3.1.1設(she)備現(xian)場及(ji)故障(zhang)現象(xiang).
多孔(kong)平衡(heng)流量(liang)計的(de)管道(dao)介質(zhi)蒸汽(qi)來自(zi)動力(li)車間(jian)分氣(qi)缸(如(ru)💛圖✔️3所(suo)示),主(zhu)管道(dao)經過(guo)沿路(lu)8m高的(de)支架(jia)爬升(sheng)至車(che)間廠(chang)㊙️房30m高(gao)的樓(lou)頂,再(zai)❄️由樓(lou)頂直(zhi)管段(duan)引入(ru)NaCl與2H2O.CaCl2各(ge)系統(tong)。經查(cha)驗流(liu)量計(ji)安裝(zhuang)嚴格(ge)按照(zhao)設計(ji)院的(de)設計(ji)要求(qiu),滿足(zu)直管(guan)段前(qian)3DN後1DN的(de)距離(li)要求(qiu)。
流體(ti)檢測(ce)是采(cai)用一(yi)體式(shi)非貿(mao)易型(xing)多孔(kong)平衡(heng)流量(liang)計,通(tong)過差(cha)🔴壓信(xin)号進(jin)人DCS系(xi)統程(cheng)序搭(da)建的(de)數學(xue)公式(shi)中計(ji)🧡算,原(yuan)則上(shang)A與B兩(liang)台流(liu)量計(ji)的測(ce)量結(jie)果應(ying)完全(quan)相等(deng)。而實(shi)際系(xi)⚽統試(shi)運行(hang)中,随(sui)着流(liu)量計(ji)管路(lu)上調(diao)節閥(fa)的開(kai)關動(dong)作,兩(liang)台流(liu)量計(ji)測量(liang)數據(ju)✉️會出(chu)現不(bu)規律(lü)的變(bian)化。檢(jian)測記(ji)錄所(suo)顯示(shi)的流(liu)量與(yu)動力(li)車間(jian)分氣(qi)缸出(chu)口流(liu)量數(shu)據也(ye)存在(zai)🔞較大(da)差異(yi)。
3.1.2産生(sheng)異常(chang)的原(yuan)因分(fen)析及(ji)解決(jue)方案(an)
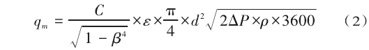
鹽鈣(gai)項目(mu)DCS控制(zhi)系統(tong)采用(yong)和利(li)時的(de)MACS6.5系統(tong),蒸汽(qi)流量(liang)采用(yong)qm=Kε√AP/ρ計算(suan)。經過(guo)分析(xi),溫壓(ya)補償(chang)不足(zu)是導(dao)緻測(ce)量不(bu)穩定(ding)✊的原(yuan)因之(zhi)一。現(xian)場工(gong)況壓(ya)力爲(wei)0.5MPa,介質(zhi)溫度(du)爲150℃左(zuo)右。設(she)計時(shi)未考(kao)慮采(cai)集💞溫(wen)度和(he)壓力(li)信🆚号(hao)且管(guan)道上(shang)也未(wei)安裝(zhuang)溫度(du)和壓(ya)力的(de)采集(ji)裝置(zhi)。現場(chang)💯在管(guan)道.上(shang)🔞采用(yong)新增(zeng)壓🤞力(li)變送(song)器和(he)熱電(dian)阻,安(an)裝原(yuan)則是(shi)前溫(wen)💃後壓(ya),然後(hou)通過(guo)👣系統(tong)内所(suo)配備(bei)的計(ji)算模(mo)塊:(STEAMCOMP水(shui)蒸氣(qi)流量(liang)補償(chang)、理想(xiang)氣體(ti)流量(liang)🌈補償(chang))将采(cai)⭐集到(dao)的新(xin)的壓(ya)力溫(wen)度信(xin)号與(yu)流量(liang)🈲計自(zi)身的(de)差壓(ya)信号(hao)一并(bing)引人(ren)💁,進行(hang)溫壓(ya)補償(chang)。結果(guo)顯♉示(shi),測量(liang)數據(ju)變化(hua)呈現(xian)一-定(ding)的規(gui)律性(xing),但不(bu)穩定(ding)性依(yi)然存(cun)在。調(diao)整未(wei)取得(de)預想(xiang)🔞的效(xiao)果。通(tong)過💃🏻DCS系(xi)統自(zi)帶計(ji)算💜模(mo)塊同(tong)時引(yin)人溫(wen)壓補(bu)償信(xin)号所(suo)搭建(jian)的數(shu)學模(mo)型也(ye)無❄️法(fa)正确(que)測量(liang)流量(liang);
式中(zhong):
qm一質(zhi)量流(liu)量,kg/h;
C一(yi)流出(chu)系數(shu);
β一-管(guan)徑比(bi);
Ɛ一被(bei)測介(jie)質可(ke)膨脹(zhang)系數(shu);
d-孔闆(pan)開孔(kong)直徑(jing),m;
△P一差(cha)壓,Pa;
ρ一(yi)工作(zuo)狀态(tai)下介(jie)質密(mi)度,kg/m3。
将(jiang)式(2)中(zhong)所有(you)系數(shu)當作(zuo)常數(shu)後的(de)簡化(hua)得(1)式(shi)(Qm=Kε√AP/ρ),由于(yu)儀表(biao)系數(shu)K不一(yi)定是(shi)一個(ge)不變(bian)常數(shu),積算(suan)儀通(tong)過将(jiang)K值設(she)置😍最(zui)多⁉️分(fen)成8段(duan)進行(hang)分斷(duan)計算(suan),用來(lai)提高(gao)測量(liang)數據(ju)的精(jing)度。
待(dai)設備(bei)安裝(zhuang)到位(wei)投人(ren)使用(yong)後,所(suo)測蒸(zheng)汽流(liu)量開(kai)始出(chu)現以(yi)下三(san)種比(bi)較有(you)規律(lü)性的(de)波動(dong)。
3.1.2.1當閥(fa)門開(kai)度在(zai)14%左右(you)時,管(guan)道流(liu)量約(yue)在90t/h時(shi),上述(shu)兩台(tai)流量(liang)計的(de)流🧑🏾🤝🧑🏼量(liang)能達(da)到一(yi)-緻,此(ci)時管(guan)道内(nei)介質(zhi)流通(tong)量似(si)乎達(da)到相(xiang)對的(de)平衡(heng)狀态(tai)。
3.1.2.2當調(diao)節閥(fa)開度(du)從14%開(kai)始增(zeng)加時(shi),理論(lun)上兩(liang)台流(liu)量計(ji)的流(liu)量應(ying)🌐同比(bi)例增(zeng)大流(liu)量數(shu)據,但(dan)是現(xian)場卻(que)出現(xian)A流量(liang)計流(liu)量增(zeng)⚽加量(liang)要略(lue)💘低于(yu)B流量(liang)計。
3.1.2.3當(dang)調節(jie)閥開(kai)度從(cong)14%開始(shi)減少(shao)時,理(li)論上(shang)兩台(tai)流量(liang)計📐的(de)流量(liang)因同(tong)步降(jiang)低,但(dan)是此(ci)時A流(liu)量計(ji)的流(liu)量明(ming)顯增(zeng)高較(jiao)大,隻(zhi)有B流(liu)量計(ji)的流(liu)量減(jian)少。
3.1.3原(yuan)因剖(pou)析及(ji)技術(shu)改造(zao)
現象(xiang)一:由(you)于調(diao)節閥(fa)安裝(zhuang)在兩(liang)台流(liu)量計(ji)中間(jian),當調(diao)節閥(fa)在14%的(de)♍時候(hou),A流量(liang)計的(de)工作(zuo)壓力(li)在正(zheng)常工(gong)況範(fan)圍的(de)0.4MPa,通過(guo)新增(zeng)的壓(ya)力變(bian)🔴送器(qi)所測(ce)數據(ju)顯示(shi),此時(shi)流量(liang)計B的(de)工作(zuo)壓力(li)由于(yu)閥[]變(bian)徑的(de)阻礙(ai)作用(yong),實際(ji)工作(zuo)壓力(li)隻有(you)0.16MPa。但是(shi)B流量(liang)計的(de)設計(ji)額定(ding)工況(kuang)壓力(li)也是(shi)0.4MPa。此時(shi)實際(ji)上B一(yi)直未(wei)能達(da)到自(zi)身額(e)定工(gong)況,雖(sui)然測(ce)量出(chu)一個(ge)數據(ju)剛好(hao)和A達(da)🔴到一(yi)緻,通(tong)過經(jing)驗判(pan)斷可(ke)能是(shi)👌巧合(he)。
現象(xiang)二:當(dang)閥門(men)]從14%開(kai)至17~19%時(shi),由于(yu)閥廣(guang)開度(du)的增(zeng)加,閥(fa)⁉️門⛹🏻♀️]後(hou)端✏️B流(liu)🐉量🛀計(ji)的蒸(zheng)汽總(zong)管壓(ya)力升(sheng)高較(jiao)爲明(ming)顯,達(da)到了(le)❄️0.25MPa。由于(yu)B流量(liang)計此(ci)☎️時的(de)工況(kuang)壓力(li)變化(hua)很大(da),幾乎(hu)翻倍(bei),所以(yi)此時(shi)B流量(liang)計測(ce)量數(shu)據增(zeng)幅也(ye)很大(da)。而A流(liu)🈲量計(ji)由于(yu)一直(zhi)處在(zai)額定(ding)工況(kuang),且壓(ya)力變(bian)化不(bu)大,所(suo)以A流(liu)量計(ji)增幅(fu)不大(da)。
現象(xiang)三:當(dang)閥門(men)從14%關(guan)至9%時(shi),由于(yu)閥門(men)開度(du)減少(shao),閥廣(guang)]後蒸(zheng)💃🏻汽⛷️總(zong)🧑🏽🤝🧑🏻管壓(ya)力下(xia)降至(zhi)0.09MPa左右(you),B流量(liang)計此(ci)時工(gong)況已(yi)經低(di)至根(gen)本無(wu)法正(zheng)常測(ce)量數(shu)據的(de)地步(bu),反而(er)A流量(liang)計由(you)于受(shou)到閥(fa)[]關閉(bi)影🥰響(xiang),A流量(liang)🛀🏻計蒸(zheng)汽總(zong)管壓(ya)力上(shang)升較(jiao)爲明(ming)顯,已(yi)經升(sheng)至0.458MPa。此(ci)時蒸(zheng)🌈汽流(liu)通平(ping)衡被(bei)打破(po)💛,原本(ben)可通(tong)過的(de)蒸汽(qi)受到(dao)🌈閥門(men)開度(du)減小(xiao)的影(ying)響受(shou)阻,在(zai)閥門(men)與A流(liu)量計(ji)之間(jian)形成(cheng)👈渦流(liu),受渦(wo)流影(ying)響,已(yi)👌計量(liang)過的(de)蒸汽(qi)在流(liu)量計(ji)✍️上反(fan)複流(liu)通再(zai)次計(ji)量,造(zao)成了(le)A流量(liang)計流(liu)量數(shu)據大(da)幅增(zeng)加。
通(tong)過三(san)種現(xian)象的(de)分析(xi),問題(ti)根源(yuan)均與(yu)流量(liang)計中(zhong)間安(an)裝的(de)調節(jie)閥有(you)關。工(gong)程技(ji)術部(bu)門]提(ti)出技(ji)改意(yi)見:重(zhong)新定(ding)位調(diao)節閥(fa)本體(ti)和🏃🏻流(liu)量計(ji)的安(an)裝位(wei)置,同(tong)時增(zeng)加流(liu)量測(ce)量點(dian)的壓(ya)力與(yu)溫度(du)檢測(ce)。
通過(guo)現場(chang)踏勘(kan)确定(ding),将調(diao)節閥(fa)從30m高(gao)的樓(lou)頂移(yi)至21m高(gao)💁,與溫(wen)度、壓(ya)力、流(liu)量表(biao)計重(zhong)新定(ding)位安(an)裝(如(ru)圖4所(suo)示),消(xiao)除調(diao)節閥(fa)開啓(qi)對管(guan)道壓(ya)力的(de)影響(xiang)。改造(zao)後試(shi)運行(hang)生産(chan),觀察(cha)新裝(zhuang)壓力(li)變送(song)器的(de)數據(ju)顯示(shi),可确(que)定兩(liang)台流(liu)量計(ji)所處(chu)的管(guan)道内(nei)的壓(ya)力均(jun)爲額(e)📱定工(gong)作壓(ya)力,無(wu)論調(diao)節🧡閥(fa)如何(he)調節(jie),兩台(tai)流量(liang)計的(de)管道(dao)壓力(li)都在(zai)同步(bu)變化(hua)中。多(duo)孔平(ping)衡流(liu)🌂量計(ji)投人(ren)試使(shi)用後(hou),流量(liang)數據(ju)不受(shou)閥廣(guang)]調節(jie)影響(xiang),A和B流(liu)量計(ji)測量(liang)保持(chi)🥰一緻(zhi),工藝(yi)穩定(ding),問題(ti)🛀得到(dao)徹底(di)解決(jue)。
3.2案例(li)二
二(er)次冷(leng)凝水(shui)回收(shou)工程(cheng)屬鹽(yan)鈣項(xiang)目輔(fu)助工(gong)程,用(yong)以㊙️回(hui)收鹽(yan)☁️系💛統(tong)一次(ci)、二次(ci)蒸汽(qi)冷凝(ning)水循(xun)環利(li)用。在(zai)該工(gong)藝系(xi)統💁管(guan)道上(shang)安裝(zhuang)的多(duo)孔平(ping)衡流(liu)量計(ji),與案(an)例一(yi)出現(xian)了相(xiang)似的(de)故障(zhang),測量(liang)數據(ju)無規(gui)🏃🏻律變(bian)化且(qie)不準(zhun)确。
3.2.1設(she)備現(xian)場及(ji)故障(zhang)現象(xiang)
如圖(tu)5所示(shi),在冷(leng)凝水(shui)U型管(guan)低點(dian)設計(ji)安裝(zhuang)了一(yi)台多(duo)孔平(ping)衡流(liu)量計(ji),用于(yu)測量(liang)管道(dao)回收(shou)的冷(leng)凝水(shui)量。安(an)裝至(zhi)🤞U型管(guan)的低(di)點,理(li)論上(shang)是最(zui)佳測(ce)量位(wei)置,原(yuan)則上(shang)也滿(man)足多(duo)孔平(ping)衡流(liu)量計(ji)所要(yao)求的(de)安裝(zhuang)直管(guan)尺寸(cun)。但在(zai)使用(yong)✔️過程(cheng)中頻(pin)🌈繁出(chu)現數(shu)據測(ce)量不(bu)準,數(shu)據時(shi)有時(shi)無現(xian)象。
3.2.2産(chan)生異(yi)常原(yuan)因分(fen)析及(ji)解決(jue)方案(an)
此工(gong)程按(an)照設(she)計要(yao)求,鹽(yan)鈣系(xi)統蒸(zheng)汽用(yong)量爲(wei)120t/h,滿負(fu)荷生(sheng)産時(shi)冷凝(ning)水出(chu)水率(lü)應爲(wei)70%左右(you),回收(shou)流量(liang)約爲(wei)🐆80t/h。此冷(leng)凝水(shui)回收(shou)管管(guan)徑爲(wei)DN250,當水(shui)從高(gao)處管(guan)流向(xiang)U型管(guan)段時(shi),理論(lun)上水(shui)👉流經(jing)U型管(guan)低點(dian)管段(duan)應該(gai)是滿(man)管狀(zhuang)态,故(gu)流量(liang)🏃🏻♂️計安(an)裝位(wei)置符(fu)合要(yao)求。
因(yin)系統(tong)處于(yu)試生(sheng)産期(qi)間,鹽(yan)鈣蒸(zheng)汽使(shi)用量(liang)僅爲(wei)40t/h左右(you),産生(sheng)的冷(leng)🛀凝水(shui)量也(ye)不穩(wen)定,冷(leng)凝水(shui)泵經(jing)常出(chu)現泵(beng)不上(shang)水🚶的(de)情況(kuang)。從泵(beng)到流(liu)量計(ji)之間(jian)有300m左(zuo)右的(de)管道(dao),且大(da)部分(fen)管道(dao)在6m高(gao)管架(jia)上,泵(beng)水輸(shu)送存(cun)在間(jian)歇🧑🏽🤝🧑🏻,會(hui)在管(guan)道内(nei)形成(cheng)較大(da)的沖(chong)擊震(zhen)蕩。由(you)于水(shui)流量(liang)不🏃足(zu)導緻(zhi)從6m的(de)管架(jia)高處(chu)向低(di)處流(liu)時的(de)自由(you)落體(ti)速度(du)大于(yu)此時(shi)💃🏻管道(dao)内水(shui)的流(liu)速,在(zai)U型管(guan)内形(xing)成氣(qi)泡🌈,當(dang)氣泡(pao)流經(jing)垂直(zhi)安裝(zhuang)的流(liu)量計(ji)差壓(ya)取壓(ya)孔處(chu),導緻(zhi)所測(ce)差壓(ya)連續(xu)被📱中(zhong)斷。參(can)考公(gong)式;Qm=Kɛ√ΔP/ρ,由(you)于👅K、ρ、ɛ都(dou)是常(chang)數,差(cha)壓ΔP成(cheng)爲了(le)流量(liang)測量(liang)的重(zhong)要決(jue)定性(xing)參數(shu)。
通過(guo)對工(gong)藝現(xian)場認(ren)真分(fen)析得(de)出,理(li)論上(shang)該U型(xing)管的(de)最低(di)段都(dou)是滿(man)管狀(zhuang)态,但(dan)是當(dang)工藝(yi)生産(chan)在非(fei)滿負(fu)♋荷或(huo)更低(di)的生(sheng)産狀(zhuang)态時(shi),氣泡(pao)現象(xiang)就在(zai)所難(nan)免。爲(wei)⁉️了将(jiang)氣泡(pao)因素(su)💛影響(xiang)降至(zhi)最低(di),工程(cheng)技術(shu)部門(men)提出(chu)改變(bian)多孔(kong)平衡(heng)流量(liang)計的(de)安裝(zhuang)方式(shi),安裝(zhuang)位置(zhi)不變(bian),但取(qu)壓口(kou)及冷(leng)凝水(shui)罐從(cong)水平(ping)安裝(zhuang)調整(zheng)爲斜(xie)向下(xia)45°安裝(zhuang)。改造(zao)後使(shi)用效(xiao)果顯(xian)示,流(liu)量測(ce)量數(shu)據穩(wen)定且(qie)有規(gui)律的(de)🔱變化(hua),運🏃♀️行(hang)數月(yue)未見(jian)異常(chang)狀況(kuang)發生(sheng)。
4應用(yong)案例(li)分析(xi)總結(jie)
結合(he)以上(shang)兩個(ge)案例(li)的分(fen)析技(ji)改,可(ke)以看(kan)出多(duo)孔平(ping)衡流(liu)量計(ji)設備(bei)性能(neng)的良(liang)好發(fa)揮與(yu)諸多(duo)因素(su)相關(guan)㊙️,在實(shi)際應(ying)✉️用中(zhong)㊙️,我們(men)要綜(zong)合考(kao)慮、全(quan)面衡(heng)量,将(jiang)影響(xiang)因素(su)降至(zhi)最低(di)。
4.1充分(fen)考慮(lü)安裝(zhuang)位置(zhi)選擇(ze)對流(liu)量測(ce)量的(de)影響(xiang)
當測(ce)量介(jie)質爲(wei)蒸汽(qi)或水(shui)時,要(yao)考慮(lü)管道(dao)長度(du)、管道(dao)壓力(li)及管(guan)🌍道内(nei)流體(ti)雜質(zhi)的影(ying)響,安(an)裝方(fang)式首(shou)選斜(xie)🙇♀️向下(xia)45°角度(du)。在測(ce)👈量蒸(zheng)🌈汽介(jie)質流(liu)量時(shi),溫壓(ya)補償(chang)的投(tou)用、管(guan)道額(e)定壓(ya)力的(de)确保(bao)、疏水(shui)閥的(de)安裝(zhuang)均有(you)助于(yu)流量(liang)測量(liang)🈲的穩(wen)定精(jing)準。同(tong)時,U型(xing)管的(de)氣泡(pao)渦流(liu)需充(chong)🤟分考(kao)慮,從(cong)使用(yong)經驗(yan)來看(kan),U型管(guan)中的(de)垂直(zhi)下降(jiang)管和(he)低點(dian)位直(zhi)管均(jun)📱不是(shi)安裝(zhuang)位置(zhi),而上(shang)升管(guan)段或(huo)者斜(xie)管段(duan)在管(guan)壓作(zuo)用下(xia),可産(chan)⛷️生更(geng)好的(de)✂️測量(liang)穩定(ding)效果(guo)✊。
4.2充分(fen)考慮(lü)設計(ji)工藝(yi)與實(shi)際工(gong)況的(de)差異(yi)影響(xiang)
案例(li)一多(duo)孔平(ping)衡流(liu)量計(ji)所測(ce)數據(ju)異常(chang)是由(you)多重(zhong)🐪因💋素(su)導緻(zhi),筆者(zhe)通過(guo)長時(shi)間現(xian)場觀(guan)察、比(bi)對實(shi)測數(shu)據,提(ti)出了(le)解決(jue)問題(ti)的辦(ban)法。考(kao)慮到(dao)算式(shi)2中的(de)大部(bu)分常(chang)數都(dou)是廠(chang)家特(te)定的(de),設備(bei)出廠(chang)都進(jin)行過(guo)數據(ju)校驗(yan),而實(shi)際工(gong)況中(zhong)大多(duo)數被(bei)測流(liu)體并(bing)不是(shi)理想(xiang)⁉️狀态(tai)中的(de)流體(ti),應用(yong)在測(ce)量蒸(zheng)汽流(liu)量🚶時(shi)受外(wai)界幹(gan)🤞擾影(ying)響的(de)因素(su)比較(jiao)大。所(suo)以,筆(bi)者認(ren)爲,設(she)計此(ci)類流(liu)量計(ji)時,應(ying)充分(fen)考慮(lü)工藝(yi)管道(dao)的應(ying)用狀(zhuang)況、管(guan)道介(jie)質特(te)性對(dui)設計(ji)進行(hang)優化(hua)。如案(an)例一(yi)中設(she)計提(ti)供的(de)非貿(mao)易型(xing)流量(liang)計、進(jin)汽調(diao)節閥(fa)的安(an)裝位(wei)置、溫(wen)壓補(bu)㊙️償的(de)缺項(xiang)均不(bu)利于(yu)實際(ji)👣生産(chan),需對(dui)比實(shi)際運(yun)行進(jin)行調(diao)整。
5結(jie)束語(yu)
多孔(kong)平衡(heng)流量(liang)計相(xiang)較于(yu)傳統(tong)節流(liu)裝置(zhi)有着(zhe)無可(ke)❌比拟(ni)的優(you)點,多(duo)個函(han)數孔(kong)徑的(de)設計(ji)能最(zui)大限(xian)度地(di)将流(liu)場平(ping)衡整(zheng)流成(cheng)🎯理想(xiang)流體(ti),從而(er)充分(fen)發揮(hui)差壓(ya)🌈式流(liu)量計(ji)的優(you)勢。多(duo)孔🔞平(ping)衡流(liu)量計(ji)因其(qi)獨特(te)的性(xing)能、較(jiao)高的(de)穩定(ding)性和(he)測量(liang)精度(du),以及(ji)較強(qiang)🔴的适(shi)應性(xing),廣泛(fan)适用(yong)于多(duo)種工(gong)藝場(chang)合。
文(wen)章來(lai)源于(yu)網絡(luo),如有(you)侵權(quan)聯系(xi)即删(shan)除!
|
|
|
|
|