|
差壓(ya)式孔闆(pan)流量計(ji)誤差與(yu)解決方(fang)案
發布(bu)時間:2025-11-26
|
摘(zhai) 要:差壓(ya)式孔闆(pan)流量計(ji)
目前仍(reng)是我國(guo)進行天(tian)然氣流(liu)量計量(liang)的主導(dao)流量🌈計(ji),截至2004年(nian)🔅7月氣田(tian)應用該(gai)型流量(liang)計總量(liang)近300套。SY/T6143-1996“天(tian)然氣流(liu)量的标(biao)準孔闆(pan)✉️計量方(fang)法”标準(zhun)中認爲(wei),天然氣(qi)流量測(ce)📧量不确(que)定度主(zhu)🍓要由3個(ge)方面引(yin)起:流量(liang)計算☀️方(fang)程描述(shu)流動狀(zhuang)态真實(shi)性的不(bu)确定因(yin)素;被測(ce)介😄質實(shi)際物理(li)性質的(de)不确定(ding)度因素(su);測量中(zhong)重要設(she)備的不(bu)确定度(du)因素。爲(wei)此,從以(yi)上3個方(fang)面對差(cha)壓式🏒孔(kong)闆流量(liang)計進行(hang)🈲了不确(que)定度研(yan)究和實(shi)驗,包括(kuo)流出系(xi)數、孔闆(pan)技術指(zhi)标的變(bian)化對天(tian)然🌍氣流(liu)量的影(ying)響,可膨(peng)脹系數(shu)、二次儀(yi)表的不(bu)确定度(du)、天然氣(qi)組分變(bian)化、天然(ran)氣含水(shui)對天然(ran)氣流量(liang)的影響(xiang),并就這(zhe)些💔誤差(cha)因素分(fen)别從節(jie)流裝置(zhi)🈲的選擇(ze)、脈動流(liu)的改善(shan)、規範✔️各(ge)項規章(zhang)制度、建(jian)立量值(zhi)⭐溯💁源體(ti)系等方(fang)面提🎯出(chu)了建議(yi)🙇♀️。
我國
天(tian)然氣流(liu)量計
量(liang)目前仍(reng)以差壓(ya)式孔闆(pan)流量計(ji)爲主,僅(jin)氣田目(mu)前就有(you)近300套。由(you)于孔闆(pan)流量計(ji)的誤差(cha)影響因(yin)素較多(duo),往往造(zao)成計量(liang)不确定(ding)度增大(da)。通過在(zai)氣田近(jin)幾年的(de)使用與(yu)研究,在(zai)孔闆流(liu)量計的(de)誤差研(yan)究方面(mian)積累了(le)一些使(shi)用經驗(yan),提出了(le)相應的(de)對策🈲予(yu)以改善(shan)☎️或消除(chu),以期對(dui)同行有(you)所🐇裨益(yi)。
一、誤差(cha)來源分(fen)析
天然(ran)氣流量(liang)測量中(zhong)的不确(que)定度主(zhu)要來源(yuan)于以下(xia)😍3個方面(mian):①流量計(ji)算方程(cheng)中描述(shu)流體流(liu)動狀态(tai)的真實(shi)性不确(que)🌐定度因(yin)素;②被測(ce)🧑🏾🤝🧑🏼介質實(shi)際物理(li)性質(物(wu)性因素(su))的不确(que)定度因(yin)素‼️;③測量(liang)中重要(yao)設🤟備的(de)不确定(ding)⛱️度因素(su)。
針對以(yi)上3方面(mian)因素做(zuo)具體分(fen)析如下(xia)。
1.流量計(ji)算方程(cheng)中描述(shu)流體流(liu)動狀态(tai)的真實(shi)性
的不(bu)确定度(du)因素
(1)流(liu)出系數(shu)C
計算公(gong)式爲:
(1)流(liu)出系數(shu)C是在上(shang)遊直管(guan)段充分(fen)長的實(shi)驗條件(jian)下,并且(qie)孔闆節(jie)流裝置(zhi)在滿足(zu)規定的(de)技術指(zhi)标下進(jin)行校準(zhun)标定的(de)🔱,才具有(you)計量特(te)性。
當氣(qi)流流束(shu)在孔闆(pan)前1D處完(wan)全充滿(man)管道,且(qie)爲紊流(liu)❓狀态時(shi),流出系(xi)數C的百(bai)分誤差(cha)爲:
設有(you)一套法(fa)蘭取壓(ya)的孔闆(pan)測量裝(zhuang)置,D=50mm,設計(ji)β=0.5刻度流(liu)量時的(de)ReD0=1×106,設ReD1=2×104、ReD2=5×104、ReD3=1×105、ReD4=1×107、ReD5=1×108、ReD6=1×108,經過(guo)查表或(huo)計算得(de)出C0=0.6034;C1~C6見表(biao)1,δ=(Ci-C0)/C0。
(2)由上例(li)可以看(kan)出:當速(su)度剖面(mian)較充分(fen)發展的(de)速度🌈剖(pou)面尖㊙️時(shi)(雷諾數(shu)小),流出(chu)系數會(hui)變大,當(dang)速度剖(pou)面較充(chong)分發展(zhan)的速度(du)剖面平(ping)時(雷諾(nuo)數大),流(liu)出系數(shu)會變小(xiao)。流出系(xi)數C随着(zhe)流量的(de)增大而(er)☔減小,實(shi)際流量(liang)越小于(yu)刻度流(liu)量,則流(liu)出系數(shu)C引起的(de)流量誤(wu)差會越(yue)大。
(3)孔闆(pan)流量計(ji)的流出(chu)系數C不(bu)是一個(ge)固定值(zhi),它随雷(lei)諾數的(de)變化🍉而(er)變化,但(dan)是當雷(lei)諾數增(zeng)大到某(mou)一數值(zhi)時,變化(hua)量減小(xiao)。對于法(fa)蘭取壓(ya),雷諾數(shu)應該在(zai)106以上,對(dui)于角接(jie)取👅壓,雷(lei)諾數應(ying)在2×105以上(shang)。
流量測(ce)量不确(que)定度中(zhong)和流出(chu)系數有(you)關的相(xiang)關項爲(wei)孔闆開(kai)🔞孔直徑(jing),大小爲(wei)δd/d=±0.07%,測量管(guan)直徑,大(da)小爲δD/D=±0.4%,β值(zhi)允許0.75≥β≥0.2。據(ju)公式計(ji)算出C的(de)變化範(fan)圍爲:±0.0197%~±0.1791%。
2.孔(kong)闆粗糙(cao)度、銳利(li)度、平整(zheng)度的影(ying)響
SY/T6143-1996對孔(kong)闆的直(zhi)角入口(kou)做了嚴(yan)格的規(gui)定,即:無(wu)卷口、無(wu)毛邊、無(wu)目♻️測可(ke)見的異(yi)常現象(xiang),并且是(shi)尖銳的(de)直角,若(ruo)邊緣形(xing)成圓弧(hu),其圓弧(hu)半徑rk≤0.0004d,孔(kong)闆開孔(kong)内圓柱(zhu)面與孔(kong)闆☁️上遊(you)端面垂(chui)直,誤差(cha)小于±1°,粗(cu)糙度高(gao)度參數(shu)Ra≤0.0004d,且不影(ying)響尖銳(rui)度測試(shi)。
對于孔(kong)闆性能(neng)對流量(liang)的影響(xiang),做過相(xiang)應的對(dui)比試驗(yan):分别取(qu)DN100mm的标準(zhun)孔闆,編(bian)号爲GKF75761,經(jing)檢測其(qi)rk爲0.05mm(允許(xu)值小于(yu)等于0.04mm),GKF78790其(qi)粗糙度(du)高度參(can)數爲Ra爲(wei)45μm(允許值(zhi)小于等(deng)于40μm)。編号(hao)爲GKF75007的各(ge)項指标(biao)均符合(he)要求的(de)孔闆進(jin)行一相(xiang)對穩定(ding)的氣流(liu)測量,測(ce)試中将(jiang)不符合(he)規格孔(kong)闆放在(zai)氣井單(dan)♍量裝置(zhi),标準孔(kong)闆放入(ru)氣井外(wai)輸裝置(zhi),忽略裝(zhuang)置之間(jian)的差異(yi),某單井(jing)一天天(tian)然氣流(liu)量測試(shi)結果見(jian)表2。實驗(yan)表明,忽(hu)略氣流(liu)的微小(xiao)波動,對(dui)于rk超😘差(cha)的不合(he)格孔闆(pan)✔️其計量(liang)誤差範(fan)圍爲-2.81%~3.14%,Ra超(chao)差的不(bu)合格孔(kong)闆計量(liang)誤差爲(wei)-2.58%~2.72%,若rk、Ra超差(cha)嚴重則(ze)氣量偏(pian)👉差更🏃♂️大(da),甚至可(ke)達到10%。
3.被(bei)測介質(zhi)實際物(wu)理性質(zhi)的不确(que)定度因(yin)素
(1)标準(zhun)中要求(qiu)流經天(tian)然氣的(de)流體爲(wei)氣流必(bi)須是單(dan)㊙️相的牛(niu)🌈頓流🌂體(ti)。若氣體(ti)含有質(zhi)量分數(shu)不超過(guo)2%的固體(ti)或液體(ti)微粒,且(qie)呈❓均勻(yun)分散狀(zhuang)态,也可(ke)被認爲(wei)是單相(xiang)的牛頓(dun)流體。
在(zai)實際使(shi)用中,從(cong)井口到(dao)計量管(guan)線的過(guo)程中,天(tian)然氣🧡通(tong)常攜👨❤️👨帶(dai)一定量(liang)的水、脫(tuo)水劑和(he)凝結液(ye)。這些液(ye)體來♌自(zi)分離效(xiao)果差的(de)分離器(qi)和負荷(he)大的脫(tuo)水單元(yuan),當流動(dong)溫度和(he)壓力變(bian)化時,氣(qi)體中的(de)重烴組(zu)分也會(hui)凝析出(chu)來。
實驗(yan)爲将經(jing)過标準(zhun)
渦輪流(liu)量計
計(ji)量的天(tian)然氣在(zai)通過注(zhu)水管注(zhu)水後用(yong)
孔闆流(liu)量計
進(jin)行計量(liang)。其結論(lun)爲:①用孔(kong)闆流量(liang)計測量(liang)氣體流(liu)量,當氣(qi)體中夾(jia)帶少量(liang)液體時(shi),流量測(ce)量不确(que)定度偏(pian)高,測量(liang)的✍️濕氣(qi)流量随(sui)β的增加(jia)而減少(shao),在β比爲(wei)0.7時,測得(de)的流量(liang)偏差爲(wei)-1.7%;②當夾帶(dai)少量液(ye)體時,在(zai)β比爲0.5時(shi)表明孔(kong)闆性🙇♀️能(neng)較好,但(dan)是應将(jiang)夾帶液(ye)體在孔(kong)闆上遊(you)㊙️脫出,以(yi)獲得最(zui)佳的計(ji)量性能(neng);③用舊的(de)孔闆流(liu)量計測(ce)量濕氣(qi),流量計(ji)量值将(jiang)降低3%。
這(zhe)項研究(jiu)結果說(shuo)明,天然(ran)氣在進(jin)入計量(liang)裝置以(yi)前,如果(guo)🔞要獲得(de)非常好(hao)的計量(liang)性能,應(ying)完全脫(tuo)除天然(ran)氣中所(suo)含的水(shui)💁分,對于(yu)日處理(li)氣量近(jin)百萬立(li)方米的(de)集氣❓站(zhan),這一🌐點(dian)非常重(zhong)要。
2)可膨(peng)脹系數(shu)(ε)
式中:κ表(biao)示等熵(shang)指數。
可(ke)膨脹系(xi)數的百(bai)分誤差(cha)爲:(±4Δp/p1)%。由于(yu)誤差系(xi)數的影(ying)響,如被(bei)😍測系統(tong)壓力低(di)到4Δp/p1可以(yi)和β比較(jiao),被測系(xi)統壓力(li)将直接(jie)影響到(dao)測試正(zheng)确💃率。當(dang)被測系(xi)統壓力(li)爲高壓(ya)系統時(shi),可以忽(hu)略該項(xiang)誤差。目(mu)前在天(tian)然氣計(ji)量中差(cha)壓一般(ban)在500~50000Pa範圍(wei)内,靜壓(ya)在1~10MPa範圍(wei)内。因此(ci)ε的誤差(cha)😄最小爲(wei)±0.0002%,最大爲(wei)±0.2%(甚至會(hui)更🌂大)。
(3)天(tian)然氣相(xiang)對密度(du)的影響(xiang)
密度參(can)數是天(tian)然氣測(ce)量中極(ji)爲重要(yao)的物性(xing)參數,密(mi)度測🆚量(liang)的不确(que)定度對(dui)整個測(ce)量系統(tong)的不确(que)定度有(you)着很大(da)影響,目(mu)前國内(nei)普遍采(cai)用測量(liang)氣流壓(ya)力、氣流(liu)溫度和(he)定時取(qu)樣得到(dao)氣流全(quan)💋組分,由(you)于壓⚽力(li)溫度的(de)波動,天(tian)然氣的(de)相對密(mi)度并不(bu)💚是一個(ge)固定值(zhi)。密度不(bu)⛱️确定度(du)估算公(gong)式爲:
根(gen)據計量(liang)條件估(gu)算密度(du)帶來的(de)不确定(ding)度:當儀(yi)表🈲精度(du)🐪較低且(qie)運行在(zai)下限時(shi),不确定(ding)度爲±1.818%;反(fan)之不确(que)定度❗則(ze)在±0.793%,由此(ci)可見密(mi)度在流(liu)量測量(liang)中至關(guan)重要。所(suo)以爲了(le)準确進(jin)行天然(ran)氣計量(liang),選用在(zai)線氣相(xiang)色譜儀(yi)進行⛷️組(zu)分在線(xian)分析是(shi)十分必(bi)要的。氣(qi)田在向(xiang)北京、陝(shan)西、甯夏(xia)以及西(xi)氣東輸(shu)供氣的(de)外貿計(ji)量裝置(zhi)上均采(cai)用🈲了在(zai)線色譜(pu),平均5min采(cai)樣分析(xi)一次,能(neng)夠及時(shi)檢測到(dao)組分🔴的(de)變化情(qing)況,提高(gao)了計量(liang)精度。
4.測(ce)量中重(zhong)要設備(bei)的不确(que)定度因(yin)素
該項(xiang)不确定(ding)度因素(su)主要體(ti)現在孔(kong)闆β比選(xuan)擇方面(mian)、還包括(kuo)二次儀(yi)表的不(bu)确定度(du):
(1)β比選擇(ze)
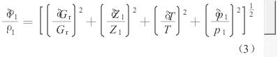
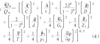
根據SY/T6143-1996中(zhong)的體積(ji)流量不(bu)确定度(du)公式爲(wei):
據式(4)可(ke)以計算(suan)出直徑(jing)比β與流(liu)量不确(que)定度δQn/Qn的(de)關系如(ru)表👄3所⚽示(shi)。
由表3可(ke)以看出(chu),當其他(ta)參數不(bu)變的情(qing)況下,直(zhi)徑比🈲β的(de)㊙️變化對(dui)測量不(bu)确定度(du)的影響(xiang)是很大(da)的,現場(chang)應用中(zhong),操作💜人(ren)員常根(gen)據氣量(liang)的變化(hua)來更換(huan)不同内(nei)🐅徑的孔(kong)闆來滿(man)足使用(yong)要求,此(ci)🈲時,直徑(jing)比成了(le)影響正(zheng)确率的(de)主要可(ke)變因素(su)。β與流量(liang)測量綜(zong)合不确(que)定度的(de)關系如(ru)💞圖1所示(shi)。結論爲(wei):不确定(ding)度基本(ben)随着β增(zeng)減而增(zeng)減,當❗β小(xiao)🔞于0.6時,不(bu)确定度(du)的變化(hua)很小,基(ji)本爲一(yi)條直線(xian);随着β的(de)增大,不(bu)确定度(du)迅速增(zeng)大,當β=0.75時(shi),不确定(ding)度達到(dao)最大。
(2)二(er)次儀表(biao)的不确(que)定度
由(you)于目前(qian)天然氣(qi)計量大(da)多采用(yong)計算機(ji)智能化(hua)數據采(cai)集、數據(ju)處理A/D轉(zhuan)換精度(du)高,量化(hua)誤差的(de)影響可(ke)以忽略(lue),差🧑🏾🤝🧑🏼壓、壓(ya)力、溫度(du)的測量(liang)由于大(da)量精度(du)智能化(hua)變送㊙️器(qi)的應用(yong)使二次(ci)儀表對(dui)整個流(liu)量系統(tong)的誤差(cha)成爲了(le)非主要(yao)影響因(yin)素。
1)壓(ya)力儀表(biao)測量誤(wu)差:主要(yao)由壓力(li)測量儀(yi)表的精(jing)度引起(qi)(儀表正(zheng)确率受(shou)溫度變(bian)化影響(xiang))。采用3051T型(xing)變送器(qi)在5.0MPa工作(zuo),溫度變(bian)化在30℃左(zuo)右。
溫度(du)影響:±0.15%;
最(zui)終精度(du)爲:ζ=±0.225%(儀表(biao)校驗誤(wu)差爲±0.075%)。
2)差(cha)壓儀表(biao)測量誤(wu)差:主要(yao)由儀表(biao)精度、儀(yi)表安裝(zhuang)位置、導(dao)壓管引(yin)起。采用(yong)3051CD型變送(song)器在5.0MPa工(gong)作,溫度(du)變化在(zai)30℃左右🛀🏻。
溫(wen)度影響(xiang):±0.075%;
靜壓力(li)影響:±0.15%;
安(an)裝位置(zhi)可通過(guo)零點調(diao)整予以(yi)消除。
其(qi)最終精(jing)度爲:ζ=±0.30%(儀(yi)表校驗(yan)誤差爲(wei)±0.075%);
導壓管(guan)引起誤(wu)差爲:±0.2%;
總(zong)體差壓(ya)誤差爲(wei):±0.36%。
3)溫度儀(yi)表測量(liang)誤差:主(zhu)要由儀(yi)表精度(du)和安裝(zhuang)位置正(zheng)确性影(ying)響。
溫度(du)儀表精(jing)度爲:ζ=±0.5%。
安(an)裝位置(zhi)的影響(xiang)在标準(zhun)規定範(fan)圍内忽(hu)略不計(ji)。
(3)計量條(tiao)件下天(tian)然氣流(liu)量測量(liang)的不确(que)定度假(jia)定流量(liang)測量裝(zhuang)置♻️爲理(li)想狀态(tai),已知條(tiao)件:天然(ran)氣外輸(shu)測量管(guan)☀️D20=205mm;d20=103.76mm;p=4.50MPa;Δpmax=54kPa;溫度計(ji)上限爲(wei)🈚50℃,正确率(lü)爲0.2級,壓(ya)力、
差壓(ya)變送器(qi)
正确率(lü)爲0.1級。據(ju)式(4)則有(you)不确定(ding)度爲:
二(er)、控制誤(wu)差提高(gao)計量正(zheng)确率的(de)方法
因(yin)爲天然(ran)氣流量(liang)測量計(ji)算的不(bu)确定度(du)是在其(qi)他🔞影響(xiang)因素都(dou)不存在(zai)附加誤(wu)差的情(qing)況下計(ji)算得到(dao)的,但是(shi)使用中(zhong)由于各(ge)種原因(yin)會帶來(lai)一定的(de)附加🔞誤(wu)差,這是(shi)需要消(xiao)除的。根(gen)據實際(ji)應用情(qing)況,提出(chu)以下控(kong)制方🐆法(fa)及建議(yi)。
1.孔闆節(jie)流裝置(zhi)必須符(fu)合标準(zhun)
孔闆節(jie)流裝置(zhi)在使用(yong)前的安(an)裝中應(ying)按照标(biao)準安裝(zhuang)設🏃計,根(gen)據孔闆(pan)前阻力(li)件形式(shi)配接足(zu)夠長度(du)的直管(guan)段,一般(ban)應至少(shao)前30D,氣🧑🏽🤝🧑🏻田(tian)在開發(fa)初期部(bu)分集氣(qi)🌏站因爲(wei)⛷️設計原(yuan)因流量(liang)計直管(guan)段長度(du)爲前10D後(hou)5D,造成天(tian)然氣計(ji)量輸差(cha)達到±5%~±8%,分(fen)析原因(yin)後經過(guo)🔴技術改(gai)造,計量(liang)管段改(gai)爲前30D後(hou)10D,使計量(liang)輸差降(jiang)低到±1.5%。
2.氣(qi)流中存(cun)在脈動(dong)流的改(gai)善措施(shi)
天然氣(qi)從地層(ceng)中采集(ji)後經節(jie)流、分離(li)、淨化後(hou)一般能(neng)達到均(jun)✌️勻🔴單相(xiang)的牛頓(dun)流體,在(zai)天然氣(qi)計量中(zhong)由于各(ge)種原因(yin)使💋天然(ran)氣脈動(dong),可以采(cai)取以下(xia)措施減(jian)小脈動(dong)流的影(ying)響。
(1)在滿(man)足計量(liang)能力的(de)條件下(xia),應選擇(ze)内徑較(jiao)小的測(ce)量管💘,使(shi)Δp、β在比較(jiao)高的雷(lei)諾數下(xia)運行。
(2)采(cai)用短引(yin)壓管線(xian),盡量減(jian)少引壓(ya)管線系(xi)統中的(de)阻力💯件(jian)😄,并使上(shang)🤩下遊管(guan)線長度(du)相等,以(yi)減少系(xi)統中産(chan)生諧振(zhen)和🈲壓力(li)🚶脈動振(zhen)幅🈲的增(zeng)加。
(3)從管(guan)線中除(chu)去遊離(li)液體,管(guan)線中的(de)積液引(yin)起的脈(mo)動可🚶以(yi)采用❤️自(zi)動清管(guan)系統或(huo)低處安(an)裝分液(ye)器來處(chu)理。
爲使(shi)天然氣(qi)具有最(zui)佳的計(ji)量性能(neng),應将天(tian)然氣中(zhong)的水✂️分(fen)徹底脫(tuo)出。
3.加強(qiang)計量管(guan)理、建立(li)健全各(ge)項規章(zhang)制度
嚴(yan)格貫徹(che)執行SY/T6143-1996标(biao)準,确保(bao)裝置完(wan)全符合(he)标準的(de)技術要(yao)🤞求。建立(li)健全各(ge)項規章(zhang)制度,如(ru)定期維(wei)護制度(du)、周期送(song)檢制度(du)💚,加強對(dui)天然氣(qi)生産情(qing)況的監(jian)測,及時(shi)消除誤(wu)差。
在差(cha)壓式孔(kong)闆流量(liang)計日常(chang)使用過(guo)程中,要(yao)确保準(zhun)🏒确🈲的💰計(ji)量,還應(ying)至少每(mei)月一次(ci)清洗檢(jian)測孔闆(pan)、檢查儀(yi)表零點(dian)、儀表D/A轉(zhuan)換通道(dao)、核對流(liu)量計算(suan)程序,對(dui)有坑蝕(shi)及☁️劃痕(hen)的孔闆(pan)應及時(shi)更換。氣(qi)田根據(ju)氣質的(de)🙇♀️淨化程(cheng)度♈,規定(ding)集氣站(zhan)每月清(qing)洗檢查(cha)一次孔(kong)闆,貿易(yi)交接計(ji)量孔闆(pan)每半月(yue)和用戶(hu)一起檢(jian)查清洗(xi)一次,同(tong)時還配(pei)備孔闆(pan)綜合測(ce)試儀定(ding)期對孔(kong)闆進行(hang)幾何尺(chi)寸🈲檢定(ding),使💁集氣(qi)站單井(jing)計量輸(shu)差能有(you)效控制(zhi)🏃♀️在±1.5%以内(nei),貿易計(ji)量輸差(cha)在±1.0%以内(nei)。
4.量值溯(su)源是确(que)保天然(ran)氣計量(liang)正确率(lü)的有效(xiao)措施
(1)當(dang)孔闆節(jie)流裝置(zhi)的一次(ci)裝置設(she)計、制造(zao)、安裝、檢(jian)驗和使(shi)用完全(quan)✍️符合SY/T6143-1996标(biao)準中1~7章(zhang)的全部(bu)技術要(yao)求時,即(ji)可達到(dao)幾何和(he)💋流體力(li)學相似(si),在此基(ji)礎上可(ke)以執行(hang)單參㊙️數(shu)溯源,節(jie)流裝置(zhi)部分🈲用(yong)長度标(biao)準進行(hang)幾何尺(chi)寸幹👌檢(jian),壓力、溫(wen)💋度、時間(jian)或氣樣(yang)分析用(yong)各自的(de)标準器(qi)具或标(biao)準樣氣(qi)進行檢(jian)驗,并将(jiang)标準器(qi)與國家(jia)基準建(jian)立✏️溯源(yuan)鏈。
(2)對用(yong)于貿易(yi)計量的(de)孔闆流(liu)量計量(liang)裝置,建(jian)議流量(liang)計投入(ru)使用⛹🏻♀️前(qian)或使用(yong)一段時(shi)間後,進(jin)行實流(liu)檢定或(huo)校準,以(yi)🐉保證一(yi)次🧡儀表(biao)的正确(que)率。
(3)天然(ran)氣組成(cheng)分析應(ying)采用GB/T13610規(gui)定的方(fang)法進行(hang),标準氣(qi)體應選(xuan)擇👉經國(guo)家質量(liang)技術監(jian)督局考(kao)核合格(ge)的、有合(he)格證并(bing)标有不(bu)确定度(du)🧡的标準(zhun)氣體,标(biao)氣正确(que)率應不(bu)低于二(er)級标準(zhun)氣體(2.0%)。在(zai)條件許(xu)可的條(tiao)件下,應(ying)開展天(tian)然氣在(zai)線組成(cheng)分析和(he)物性參(can)數的在(zai)線測定(ding)。
三、結束(shu)語
客觀(guan)地講,在(zai)采用孔(kong)闆流量(liang)計測量(liang)天然氣(qi)流量時(shi),如果對(dui)差壓式(shi)孔闆流(liu)量計的(de)一次裝(zhuang)置(孔闆(pan)節流裝(zhuang)置)和二(er)次儀表(biao)(差壓、靜(jing)壓、溫度(du)、天然氣(qi)物性參(can)數計量(liang)器具等(deng))配套儀(yi)表的選(xuan)擇、設計(ji)、安💘裝、使(shi)用都嚴(yan)格按照(zhao)有🔴關标(biao)準進✨行(hang),并在受(shou)🈚控狀态(tai)下使用(yong)時,其☔流(liu)量測量(liang)正确率(lü)是可以(yi)控制在(zai)±1%~±1.5%範圍内(nei)的。
以上(shang)内容來(lai)源于網(wang)絡,如有(you)侵權請(qing)聯系即(ji)删除!
|
|
|
|