摘(zhai)要:孔闆(pan)流量計(ji)
廣泛用(yong)于測量(liang)液體或(huo)氣體的(de)流量,本(ben)文對選(xuan)用孔闆(pan)流量計(ji)中的一(yi)些複雜(za)的計算(suan)過程作(zuo)了一些(xie)合理的(de)簡化,同(tong)時提供(gong)了程序(xu)算法。
孔(kong)闆流量(liang)計構造(zao)簡單、制(zhi)造方便(bian)。因此,盡(jin)管其能(neng)量損失(shi)較大,工(gong)業上及(ji)實驗室(shi)中仍被(bei)廣泛用(yong)于測量(liang)液體或(huo)氣體的(de)流量。
當(dang)流量已(yi)定,要求(qiu)選擇合(he)适的孔(kong)闆流量(liang)計,或孔(kong)闆流量(liang)計已定(ding),要求核(he)算給定(ding)條件下(xia)的經濟(ji)技術指(zhi)标時,雖(sui)然給定(ding)的條件(jian)不同,但(dan)問題的(de)焦點卻(que)完全一(yi)緻,即需(xu)要根據(ju)流量确(que)定孔闆(pan)流量計(ji)的孔流(liu)系數或(huo)根據孔(kong)闆流量(liang)計的銳(rui)孔截面(mian)與管道(dao)截面之(zhi)比核算(suan)孔流系(xi)數。确定(ding)孔闆流(liu)量計的(de)孔流系(xi)數實際(ji)上是一(yi)複雜的(de)非線性(xing)函數及(ji)方程組(zu)的求解(jie)過程,随(sui)着計算(suan)機的廣(guang)泛應用(yong),給此類(lei)求解過(guo)程帶來(lai)了便利(li)。本文闡(chan)述了選(xuan)用孔闆(pan)流量計(ji)時計算(suan)中的一(yi)些合理(li)的簡化(hua)過程,同(tong)時提供(gong)了程序(xu)算法。
1标(biao)準孔闆(pan)流量系(xi)數C0與Re、A0/A1的(de)關系
根(gen)據孔闆(pan)流量計(ji)測壓方(fang)式、結構(gou)尺寸及(ji)加工狀(zhuang)況等均(jun)已規定(ding)的标準(zhun)孔闆,其(qi)流量系(xi)數C0可寫(xie)成以下(xia)函數關(guan)系:
C0= F(Re,A0/A1) (2)
式中(zhong)Re= d1u1ρ/μ,即爲以(yi)圓管管(guan)徑d1計算(suan)的雷諾(nuo)數,A0/A1爲孔(kong)闆銳孔(kong)截面A0與(yu)圓管截(jie)面A1之比(bi)值。
由實(shi)驗獲得(de)的标準(zhun)孔闆流(liu)量系數(shu)C0與Re、A0/A1的關(guan)系[1]可知(zhi),當Re增大(da)至一定(ding)值後C0不(bu)再随Re變(bian)化,即當(dang)Re≥ Rec時,(2)式可(ke)寫成:
C0= F'(A0/A1) (3)
Rec稱(cheng)臨界雷(lei)諾數,不(bu)同A0/A1的各(ge)标準孔(kong)闆其C0、Rec列(lie)于表1中(zhong),根據(1)式(shi),流量計(ji)測定流(liu)量時必(bi)須有确(que)定的C0,故(gu)由Rec來确(que)定其能(neng)準确測(ce)出的最(zui)小流量(liang)Vmin。
2孔闆流(liu)量計的(de)阻力損(sun)失與測(ce)量範圍(wei)
孔闆流(liu)量計的(de)能量損(sun)失較大(da),流體在(zai)流道收(shou)縮中和(he)在孔闆(pan)前後的(de)突然縮(suo)小與突(tu)然擴大(da)中均會(hui)造成阻(zu)力損失(shi)。孔闆流(liu)量計的(de)阻力損(sun)失hf可寫(xie)成:
hf=ζu02/2=ζC02gR(ρi-ρ)/ρ (4)
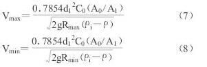
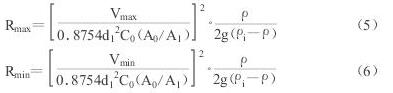
式(4)中(zhong)的ζ爲局(ju)部阻力(li)系數,其(qi)值一般(ban)取0.8,式中(zhong)R值爲U形(xing)壓差計(ji)的讀數(shu),其表明(ming)孔闆銳(rui)孔截面(mian)(A0)越小,銳(rui)孔流速(su)u0越大,讀(du)數R值越(yue)大,則阻(zu)力損失(shi)hf随之增(zeng)大。由于(yu)流量V與(yu)銳孔流(liu)速u0成正(zheng)比,故R∝V2。由(you)此可見(jian),流量的(de)微小變(bian)化将導(dao)緻讀數(shu)R的較大(da)變化,而(er)R值受U形(xing)壓差計(ji)的長度(du)的制約(yue),R有一最(zui)大值Rmax;由(you)于視差(cha)原因,R越(yue)小,孔闆(pan)流量計(ji)的相對(dui)誤差越(yue)大,故在(zai)允許誤(wu)差下,R有(you)一最小(xiao)值Rmin。
若要擴(kuo)大孔闆(pan)流量計(ji)的測量(liang)範圍,勢(shi)必要使(shi)Rmax增大,而(er)Rmax的大小(xiao)則完全(quan)與U形壓(ya)差計的(de)長度有(you)關,況且(qie)孔闆流(liu)量計測(ce)量範圍(wei)增大,其(qi)阻力損(sun)失驟增(zeng),經濟上(shang)很不合(he)算。
因此(ci),孔闆流(liu)量計在(zai)測定流(liu)量時有(you)一允許(xu)測量範(fan)圍,此範(fan)圍又受(shou)R值Rmin與Rmax的(de)影響。在(zai)确定的(de)孔闆流(liu)量計情(qing)況下(即(ji)A0/A1一定),由(you)R值的範(fan)圍可以(yi)确定流(liu)量V的範(fan)圍Vmax與Vmin:
3孔(kong)闆流量(liang)計的選(xuan)用
當所(suo)測定的(de)流量範(fan)圍被确(que)定以後(hou),從經濟(ji)的角度(du)出發,應(ying)選擇合(he)适的流(liu)量計,其(qi)給定的(de)條件通(tong)常有以(yi)下内容(rong):
測定流(liu)量範圍(wei):Vmin∽ Vmax
輸送管(guan)道管徑(jing):d1
輸送流(liu)體物性(xing):密度μ;粘(zhan)度ρ
壓差(cha)計的數(shu)據:介質(zhi)密度ρi;讀(du)數允許(xu)相對誤(wu)差α;讀數(shu)允許絕(jue)對誤差(cha)δ;最大刻(ke)度R。
根據(ju)讀數允(yun)許相對(dui)誤差和(he)讀數允(yun)許絕對(dui)誤差可(ke)以計算(suan)适合流(liu)量範圍(wei)的最小(xiao)雷諾數(shu):
Remin= 4ρVmin/πd0μ (9)
用所求(qiu)出的Remin值(zhi)看作臨(lin)界雷諾(nuo)數Rec與表(biao)(1)對照,選(xuan)取最爲(wei)接近的(de)标準孔(kong)闆流量(liang)計,以其(qi)對應的(de)C0,A0/A1代入(5)至(zhi)(8)式計算(suan),若孔闆(pan)流量計(ji)阻力損(sun)失太大(da)(Rmax> R)或讀數(shu)相對誤(wu)差不符(fu)合要求(qiu)(δ/Rmin>α),都需要(yao)重新選(xuan)擇孔闆(pan)(即使A0/A1= A0/A1+ 0.1),計(ji)算步驟(zhou)或算法(fa)如圖1所(suo)示,如此(ci)反複進(jin)行,可以(yi)十分快(kuai)捷地選(xuan)擇到最(zui)爲适宜(yi)的孔闆(pan)。
當管路(lu)上已經(jing)裝有标(biao)準孔闆(pan)流量計(ji)時,需要(yao)計算孔(kong)闆流量(liang)計允許(xu)的流量(liang)範圍及(ji)校核Re值(zhi),有時符(fu)合讀數(shu)允許相(xiang)對誤差(cha)的U形壓(ya)差計最(zui)小刻度(du)所對應(ying)的流量(liang)下管内(nei)流體的(de)Re值達不(bu)到标準(zhun)孔闆流(liu)量計的(de)臨界雷(lei)諾值(即(ji)Remin< Rec)時,其Vmin則(ze)用下式(shi)計算:
Vmin= 0.7854Recd0/ρ (10)
當(dang)流量計(ji)被确定(ding)以後,往(wang)往需要(yao)得知流(liu)量與壓(ya)差的關(guan)系,算法(fa)的最後(hou)給出了(le)對應的(de)輸出過(guo)程。
4結束(shu)語
用計(ji)算機來(lai)選擇孔(kong)闆流量(liang)計,準确(que)而又快(kuai)捷,同時(shi)又避免(mian)了人爲(wei)的經驗(yan)判斷以(yi)及試差(cha)計算的(de)麻煩。流(liu)量計的(de)合理選(xuan)用,方便(bian)實驗操(cao)作,同時(shi)對減小(xiao)實驗數(shu)據的誤(wu)差具有(you)重要意(yi)義。本文(wen)提出了(le)選用孔(kong)闆流量(liang)計的計(ji)算步驟(zhou)與算法(fa),并對某(mou)些計算(suan)過程如(ru)查圖等(deng)作了必(bi)要的簡(jian)化,算法(fa)的最後(hou)還給出(chu)了選用(yong)孔闆流(liu)量計後(hou)流量與(yu)壓差的(de)關系,供(gong)應用時(shi)參考。
以上内(nei)容來源(yuan)于網絡(luo),如有侵(qin)權請聯(lian)系即删(shan)除!