摘要:分(fen)析
渦輪流(liu)量計
産生(sheng)機械慢表(biao)的原因,依(yi)據數據傳(chuan)輸系統傳(chuan)回的🛀停機(ji)延時流量(liang)制訂機械(xie)慢表的評(ping)估方法,,當(dang)流量計停(ting)機延時流(liu)量評😄估得(de)分小于等(deng)于20分時,通(tong)過貝葉斯(si)定🐅理判斷(duan),依據評估(gu)得分發現(xian)該流量計(ji)爲機械慢(man)表的正确(que)率的大于(yu)等于90%的可(ke)信度爲94.94%。如(ru)果客戶用(yong)氣設備每(mei)天至少停(ting)機1次,則評(ping)估周期最(zui)多需📞要30d,該(gai)評估方法(fa)可将故障(zhang)發現周期(qi)從2a縮短到(dao)30d,最大程度(du)降低燃氣(qi)公司的機(ji)🏃♀️械慢表損(sun)失。
1概述
在(zai)日常工作(zuo)中,渦輪流(liu)量計因軸(zhou)承卡死等(deng)機械故障(zhang)而造㊙️成的(de)🌐流量計不(bu)計量現象(xiang)(俗稱機械(xie)死表),通常(chang)都能被燃(ran)氣公司工(gong)作人員及(ji)時發現,追(zhui)繳氣量也(ye)較容易。而(er)因軸承磨(mo)損導緻的(de)計量誤差(cha)偏大的現(xian)象(俗稱機(ji)械慢表),由(you)于現場缺(que)乏有效手(shou)段,較難☀️及(ji)時發現,目(mu)前診斷機(ji)械🐇慢表隻(zhi)有定期将(jiang)流量計通(tong)過檢測台(tai),用音速噴(pen)嘴等标😘準(zhun)計量裝置(zhi)檢定,即流(liu)量計周檢(jian)。根據🌏JJG1037—2008《渦輪(lun)流量計檢(jian)定規程》(以(yi)下簡稱JJG1037—2008)要(yao)求,渦輪流(liu)量計檢定(ding)周期爲2a,即(ji)出現機械(xie)慢表時❌,在(zai)及時進行(hang)流量計周(zhou)檢的情況(kuang)下,該故障(zhang)最長可能(neng)存在2a。
2形成(cheng)機械慢表(biao)的原因分(fen)析
渦輪流(liu)量計的主(zhu)要計量部(bu)件爲機芯(xin),渦輪流量(liang)計的結☂️構(gou)見圖1。
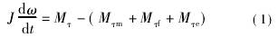
渦輪(lun)流量計機(ji)芯由軸、軸(zhou)承、葉輪組(zu)成,機芯的(de)葉輪兩端(duan)✊由軸承支(zhi)撐,當流體(ti)通過時,沖(chong)擊葉輪,對(dui)葉輪☔産生(sheng)驅動力矩(ju)Mτ,使葉輪克(ke)服機械摩(mo)擦力矩Mτm、流(liu)體阻力矩(ju)Mτf以及磁電(dian)🏃🏻轉換器對(dui)葉輪産生(sheng)的電磁反(fan)作用力矩(ju)Mτe而産⁉️生旋(xuan)轉。由此可(ke)以建立葉(ye)輪的運動(dong)微分方程(cheng):
式中
J———葉輪(lun)的轉動慣(guan)量,kg·m2
ω———葉輪的(de)旋轉角速(su)度,rad/s
t———時間,s
Mτ———氣(qi)體流動對(dui)葉輪所産(chan)生的驅動(dong)力矩,N·m
Mτm———葉輪(lun)旋轉所産(chan)生的機械(xie)摩擦力矩(ju),N·m
Mτf———流體阻力(li)矩,N·m
Mτe———電磁反(fan)作用力矩(ju),N·m
式(1)中通常(chang)電磁反作(zuo)用力矩Mτe比(bi)較小,可以(yi)忽略。正常(chang)工作條件(jian)下,可認爲(wei)管道内流(liu)量不随時(shi)間變化,即(ji)葉輪以穩(wen)定的角速(su)度旋轉。即(ji)存在
由于(yu)機芯的軸(zhou)與軸承直(zhi)接接觸,在(zai)氣體中的(de)粉塵、雜✌️質(zhi)⛱️等作用♍下(xia),葉輪旋轉(zhuan)就必然導(dao)緻軸與軸(zhou)承之👨❤️👨間産(chan)㊙️生摩擦,進(jin)而産生磨(mo)損,工作時(shi)間越長,工(gong)況環境越(yue)差🌂,潤滑越(yue)不利,磨損(sun)也就越嚴(yan)重,從而機(ji)械摩擦力(li)矩Mτm越㊙️來越(yue)大[1]。使用初(chu)期,葉🏃♀️輪以(yi)應有角速(su)度旋轉,如(ru)果機械摩(mo)擦力矩越(yue)來越大,葉(ye)輪的旋轉(zhuan)角速☎️度會(hui)小于應有(you)角速度,雖(sui)然随着角(jiao)速度的降(jiang)低,流體阻(zu)力矩🔞變小(xiao),但是由于(yu)機械摩擦(ca)力矩增大(da),仍達到了(le)穩定工況(kuang)。這種葉輪(lun)旋轉角速(su)度變小的(de)現象,叫流(liu)量計👨❤️👨計量(liang)偏慢現象(xiang)(即機械慢(man)表)。因此認(ren)爲:機械摩(mo)擦力矩Mτm增(zeng)大是造成(cheng)渦輪流量(liang)計機械慢(man)表的主要(yao)原因。
3流量(liang)計工況數(shu)據分析
随(sui)着通信技(ji)術不斷發(fa)展,燃氣遠(yuan)傳數據傳(chuan)輸系統已(yi)逐步被燃(ran)氣公司采(cai)用,該系統(tong)現場通過(guo)有線通信(xin)采集各項(xiang)數據,再通(tong)過無線GPRS每(mei)2min一次上傳(chuan)數據至服(fu)務器,可随(sui)時了解燃(ran)氣溫度、燃(ran)氣壓力、瞬(shun)時流量、累(lei)積流量等(deng)實時信息(xi),主要應用(yong)于計量管(guan)理、抄收、預(yu)付費管理(li)等方面[2]。
①渦(wo)輪流量計(ji)葉輪慣性(xing)旋轉時間(jian)
當用氣設(she)備停止用(yong)氣時,管道(dao)内氣體停(ting)止流動,葉(ye)輪✂️由💃于慣(guan)性還在旋(xuan)轉,此時流(liu)量計仍有(you)逐漸下降(jiang)的瞬☔時流(liu)💰量顯示。根(gen)據GB/T21391—2008《用氣體(ti)渦輪流量(liang)計測量天(tian)然氣流量(liang)》附錄C的相(xiang)關解釋,在(zai)用氣設備(bei)停機後,流(liu)量計葉輪(lun)旋轉時間(jian)⭐是評估該(gai)儀表運行(hang)工況的重(zhong)要參數。
測(ce)量常用的(de)3種型号新(xin)流量計在(zai)用氣設備(bei)停機後葉(ye)🥵輪的慣⭐性(xing)旋轉時間(jian),爲了确保(bao)數據準确(que),設備停機(ji)時的流💜量(liang)負荷選定(ding)在🛀🏻流量計(ji)量程的10%~90%,流(liu)量計葉輪(lun)慣性旋轉(zhuan)時間實驗(yan)結果見表(biao)1。
表1流量計(ji)葉輪慣性(xing)旋轉時間(jian)實驗結果(guo)
|
流量計型(xing)号
|
用氣設(she)備停機時(shi)瞬時流量(liang)占流量計(ji)最大量程(cheng)的占🔴比/%
|
測(ce)量次數/次(ci)
|
用氣設備(bei)停機後葉(ye)輪平均慣(guan)性旋轉時(shi)間/s
|
|
LWQZ-50Z
|
10
|
10
|
142
|
|
LWQZ-50Z
|
20
|
10
|
145
|
|
LWQZ-50Z
|
40
|
10
|
152
|
|
LWQZ-50Z
|
50
|
10
|
150
|
|
LWQZ-50Z
|
60
|
10
|
154
|
|
LWQZ-50Z
|
90
|
10
|
155
|
|
LWQZ-80Z
|
10
|
10
|
171
|
|
LWQZ-80Z
|
20
|
10
|
172
|
|
LWQZ-80Z
|
40
|
10
|
175
|
|
LWQZ-80Z
|
50
|
10
|
177
|
|
LWQZ-80Z
|
60
|
10
|
179
|
|
LWQZ-80Z
|
90
|
10
|
183
|
|
LWQZ-100Z
|
10
|
10
|
190
|
|
LWQZ-100Z
|
20
|
10
|
197
|
|
LWQZ-100Z
|
40
|
10
|
201
|
|
LWQZ-100Z
|
50
|
10
|
205
|
|
LWQZ-100Z
|
60
|
10
|
209
|
|
LWQZ-100Z
|
90
|
10
|
212
|
由表1可(ke)以看出,當(dang)停止用氣(qi)後,流量計(ji)葉輪平均(jun)慣性旋轉(zhuan)時間📞均大(da)于140s,而根據(ju)前文分析(xi)可知,當流(liu)量計爲🛀🏻機(ji)械慢表時(shi),機械摩擦(ca)力矩Mτm增大(da),葉輪的旋(xuan)轉角速度(du)🧑🏾🤝🧑🏼ω急速下降(jiang),用氣設備(bei)停🈲機後葉(ye)輪慣性旋(xuan)轉時間縮(suo)短。因此,停(ting)機後慣性(xing)旋轉時間(jian)是關鍵切(qie)入點。
②停機(ji)延時流量(liang)
由于計量(liang)正确的渦(wo)輪流量計(ji)葉輪在用(yong)氣設備停(ting)機後葉輪(lun)平👈均慣性(xing)旋轉時間(jian)均大于140s,對(dui)所監控的(de)流量計停(ting)機時連續(xu)運行數據(ju)進行分析(xi),得出計量(liang)正确的流(liu)量計在用(yong)氣🐕設備停(ting)機後仍👅會(hui)有小流量(liang)💃數據傳輸(shu),将該流量(liang)定義爲停(ting)機延時流(liu)量。某加氣(qi)👌站計量正(zheng)确的流量(liang)計用氣設(she)備停用☔時(shi)連續數據(ju)👌記錄見表(biao)2。瞬時工況(kuang)流量爲1.90m3/h的(de)流量爲停(ting)機延時流(liu)量。
表2某加(jia)氣站計量(liang)正确的流(liu)量計用氣(qi)設備停機(ji)前後連續(xu)數據記錄(lu)
|
溫度/℃
|
壓力(li)/kPa
|
瞬時工況(kuang)流量/(m3·h-1)
|
采集(ji)時間
|
|
26.92
|
282.756
|
263.20
|
2016-09-129:16
|
|
26.63
|
282.261
|
263.19
|
2016-09-129:18
|
|
26.78
|
282.696
|
263.19
|
2016-09-129:20
|
|
26.51
|
282.184
|
60.20
|
2016-09-129:22
|
|
26.50
|
288.762
|
1.90
|
2016-09-129:24
|
|
26.20
|
288.735
|
0.00
|
2016-09-129:26
|
由表(biao)2可以看出(chu),流量計瞬(shun)時工況流(liu)量從用氣(qi)設備⛱️運行(hang)時的♊263.19m3/h依次(ci)變爲運行(hang)設備停機(ji)後的60.20m3/h、1.90m3/h的小(xiao)流量(停機(ji)延時流量(liang))數據傳回(hui),由于監控(kong)系統每2min傳(chuan)回一條數(shu)據,因此,當(dang)系統傳☂️回(hui)至少一條(tiao)停機延時(shi)流量時,可(ke)認爲㊙️此流(liu)量計🐇慣性(xing)旋轉時間(jian)大于120s,經多(duo)次比⛷️對判(pan)定其運行(hang)工況良好(hao),而後經現(xian)場拆表檢(jian)查,該流量(liang)計機芯内(nei)部幹淨無(wu)異物,後送(song)至檢測中(zhong)心檢定,其(qi)低區誤差(cha)在誤差允(yun)許範圍内(nei)。
機械摩擦(ca)力矩大的(de)流量計在(zai)用氣設備(bei)停機後往(wang)往沒有小(xiao)‼️流量運行(hang)數據傳輸(shu)。某加氣站(zhan)機械摩擦(ca)力矩大的(de)流量計在(zai)用氣設備(bei)停用時連(lian)續數據記(ji)錄見表3。
由(you)表3可以看(kan)出,當用氣(qi)設備停用(yong)後,沒有小(xiao)流量(停機(ji)延時💔流量(liang))數據傳回(hui),而是直接(jie)從運行流(liu)量438.95m3/h變爲0,而(er)後經現場(chang)拆表檢查(cha),該流量計(ji)機芯的軸(zhou)與軸承磨(mo)損嚴重,後(hou)送至檢測(ce)中心檢定(ding),其低區誤(wu)差不合格(ge)。因此判定(ding)其機械摩(mo)擦力矩Mτm增(zeng)大,葉輪🔆的(de)旋轉角速(su)度降低,運(yun)行工況較(jiao)差,發生機(ji)械慢表的(de)可能性高(gao)。
表3某加氣(qi)站機械摩(mo)擦力矩大(da)的流量計(ji)用氣設備(bei)停用時連(lian)續數據記(ji)錄
|
溫度/℃
|
壓(ya)力/kPa
|
瞬時工(gong)況流量/(m3·h-1)
|
采(cai)集時間
|
|
22.84
|
258.615
|
438.95
|
2016-09-1210:24
|
|
22.70
|
258.412
|
438.94
|
2016-09-1210:26
|
|
22.71
|
258.645
|
438.92
|
2016-09-1210:28
|
|
22.63
|
258.191
|
438.94
|
2016-09-1210:30
|
|
22.60
|
262.212
|
438.95
|
2016-09-1210:32
|
|
22.50
|
262.335
|
0.00
|
2016-09-1210:34
|
4基(ji)于停機延(yan)時流量的(de)評估方法(fa)
4.1渦輪流量(liang)計停機延(yan)時流量評(ping)估模型
根(gen)據不同用(yong)戶用氣規(gui)律的差異(yi)性,每個用(yong)戶用氣設(she)備❄️每天的(de)停機次數(shu)各不相同(tong),要反映流(liu)量計實時(shi)運行工況(kuang),不能隻根(gen)據一條停(ting)機後的數(shu)據判斷流(liu)量計的準(zhun)确度,而是(shi)需要選取(qu)近期的多(duo)次停機數(shu)據進行評(ping)估。
爲了确(que)保所統計(ji)的停機數(shu)據能更加(jia)充分、準确(que)地反映流(liu)量計實時(shi)運行工況(kuang),建立流量(liang)計停機延(yan)時流量評(ping)估👄得分計(ji)算式:
式中(zhong)
S———滿分爲100分(fen)的情況下(xia),評估周期(qi)内流量計(ji)停機延時(shi)流量評估(gu)得分,分
n———評(ping)估周期内(nei)有停機延(yan)時流量傳(chuan)回的停機(ji)次數,次
N———評(ping)估周期内(nei)該流量計(ji)的用氣設(she)備總停機(ji)次數,次
式(shi)(5)針對某一(yi)台流量計(ji)N次停機後(hou)的數據進(jin)行統計,其(qi)中n次有💛停(ting)機延時流(liu)量,(N-n)次無停(ting)機延時流(liu)量。根據以(yi)往經驗👄,當(dang)N越大,即計(ji)算的總停(ting)機次數越(yue)多時,評估(gu)準确度越(yue)高⭕。但是N越(yue)大意味着(zhe)評估周期(qi)越長,流⛷️量(liang)計運行實(shi)時工況評(ping)估時效性(xing)降低,且工(gong)作量增大(da)。因此N的取(qu)值需要進(jin)一步讨論(lun)。
4.2停機延時(shi)流量評估(gu)模型的貝(bei)葉斯定理(li)實證
①實驗(yan)流程
有别(bie)于經典統(tong)計學派,貝(bei)葉斯定理(li)不僅考慮(lü)了樣本信(xin)息,而且考(kao)慮了決策(ce)人員所擁(yong)有的知識(shi)、經驗等私(si)人信☂️息,甚(shen)至包含着(zhe)其主觀判(pan)斷。貝葉斯(si)定理綜合(he)樣本信息(xi)與先驗信(xin)息後🔅進行(hang)計算,可能(neng)更科學合(he)理,而且可(ke)進一步随(sui)着新的實(shi)驗信息的(de)增加💜不斷(duan)地進行👣越(yue)來越符合(he)實際的調(diao)整與修正(zheng)。先驗🔞概率(lü)是實驗前(qian)根據以往(wang)積累的資(zi)料和經驗(yan),對事件發(fa)生可能性(xing)的一個預(yu)設;後驗概(gai)率是在實(shi)驗後,根🈲據(ju)實驗獲得(de)的信息對(dui)事件發生(sheng)的可能性(xing)作重新審(shen)視和修正(zheng)的概率。後(hou)驗概率往(wang)往對事件(jian)發生🏃與否(fou)有更爲準(zhun)确的判斷(duan),但需要設(she)計随🤟機實(shi)驗來實現(xian)[3]。
貝葉斯定(ding)理驗證評(ping)估模型的(de)實驗流程(cheng)見圖2。貝葉(ye)斯定理驗(yan)證評估模(mo)型的實驗(yan)流程具體(ti)說明如下(xia)。
a.對于拟定(ding)的參數N,根(gen)據以往實(shi)踐經驗預(yu)設一個先(xian)驗😄概率;
b.做(zuo)實驗,根據(ju)實驗結果(guo)用貝葉斯(si)公式計算(suan)後驗概率(lü);
c.驗證得出(chu)的後驗概(gai)率是否達(da)到預定要(yao)求,根據結(jie)果最終确(que)定參數N。
②N設(she)爲20次時的(de)實驗過程(cheng)
現以LWQZ-100B流量(liang)計爲例,根(gen)據式(5),當某(mou)台LWQZ-100B流量計(ji)停機延時(shi)流量評估(gu)得分S≤20分時(shi),可以判定(ding)爲機械慢(man)表。此判斷(duan)産生2種意(yi)🌈見,意見1:此(ci)評分發現(xian)該型号機(ji)械慢表的(de)正确≥a1,a1爲此(ci)評分發現(xian)該型号機(ji)械慢表的(de)正确的下(xia)限值,取90%;意(yi)見2:此評分(fen)🍓發現該型(xing)号機械慢(man)表的正确(que)💃≤a2,a2爲此評分(fen)發現該型(xing)号機械慢(man)表的正确(que)的上限值(zhi)😘,70%。将意見1記(ji)爲A1,意見2記(ji)爲A2。對于這(zhe)兩種意見(jian)工作人員(yuan)決定用做(zuo)☎️實驗的方(fang)法确定其(qi)可信度。實(shi)驗方法是(shi)根🔞據式(5)計(ji)算并統計(ji)出x台機械(xie)慢表,然後(hou)把這x台流(liu)量計上檢(jian)測台檢測(ce)驗證,然後(hou)計算可信(xin)度。
首先将(jiang)N設定爲20次(ci),即針對某(mou)一台LWQZ-100B流量(liang)計統計計(ji)算❤️其評估(gu)周期内最(zui)近的20次的(de)停機數據(ju)。根據以往(wang)經驗,工作(zuo)人✉️員認爲(wei)意🐕見1的可(ke)信度爲60%,意(yi)見2的可信(xin)度爲40%。記爲(wei)P(A1)=60%,P(A2)=40%,此概率㊙️爲(wei)先驗概率(lü)。
a.第1次實驗(yan)。用式(5)針對(dui)所監控的(de)逾1000塊規格(ge)爲LWQZ-100B流量計(ji)🤩随機計算(suan),并選取其(qi)中5塊S≤20分的(de)流量計。經(jing)檢測台檢(jian)測後發現(xian),該5塊流量(liang)計中有3塊(kuai)确實爲機(ji)械慢表,2塊(kuai)不是機🏒械(xie)慢表。設B表(biao)示事件:x塊(kuai)流量計中(zhong)有y塊爲機(ji)械慢表。
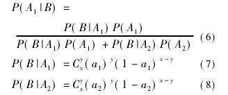
所(suo)用到的貝(bei)葉斯公式(shi)[4]如下:
式中(zhong)
P(A1|B)———B發生的情(qing)況下A1的可(ke)信度
B———事件(jian):經檢測台(tai)檢測,x塊流(liu)量計中有(you)y塊機械慢(man)表
P(B|A1)———A1發生的(de)情況下B的(de)可信度
P(A1)———第(di)1種意見的(de)可信度,其(qi)中A1爲第1種(zhong)意見
P(B|A2)———A2發生(sheng)的情況下(xia)B的可信度(du)
P(A2)———第2種意見(jian)的可信度(du),其中A2爲第(di)2種意見
x———實(shi)驗中,取出(chu)的S≤20分的流(liu)量計數量(liang),塊
y———實驗中(zhong),x塊流量計(ji)中确實爲(wei)機械慢表(biao)的流量計(ji)數量,塊
a1———意(yi)見1中正确(que)的下限值(zhi),取90%
a2———正确的(de)上限值,取(qu)70%
根據式(6)~(8)可(ke)得,B發生的(de)情況下A1的(de)可信度爲(wei)26.16%,即後驗概(gai)率P(A1|B)=26.16%,P(A2|B)=73.84%。該實☎️驗(yan)證明A1和A2的(de)先驗概率(lü)有問題,需(xu)要再做第(di)2次實驗。
b.第(di)2次實驗。用(yong)式(5)針對所(suo)監控的逾(yu)1000塊規格爲(wei)LWQZ-100B流量計重(zhong)新随機計(ji)算,并取其(qi)中10塊S≤20分的(de)流量計。經(jing)檢測台檢(jian)測☂️後發🍓現(xian),該10塊流量(liang)計中有7塊(kuai)确實爲機(ji)械慢表,3塊(kuai)不是機械(xie)慢🐅表。設C表(biao)示事件:10塊(kuai)流量計中(zhong)有7塊爲機(ji)械慢表。
用(yong)C事件代替(ti)式(6)~(8)中的B事(shi)件,計算可(ke)得C發生的(de)情況下🔴A1的(de)可信度爲(wei)7.08%,即後驗概(gai)率爲P(A1|C)=7.08%,P(A2|C)=92.92%。
實驗(yan)1、2說明,當N設(she)定爲20次時(shi),發現機械(xie)慢表的正(zheng)确不👣高于(yu)❌70%的可信度(du)已達92.92%,發現(xian)機械慢表(biao)的正确較(jiao)低。
③N設爲30次(ci)時的實驗(yan)過程
現将(jiang)N調整爲30次(ci),即針對某(mou)一台LWQZ-100B流量(liang)計統計計(ji)算其☁️評🐉估(gu)周期内最(zui)近的30次的(de)停機數據(ju)。根據以往(wang)經驗,工作(zuo)人員認爲(wei)意見1的可(ke)信度爲60%,意(yi)見2的可信(xin)度爲40%。即P(A1)=60%,P(A2)=40%,此(ci)概☂️率爲先(xian)驗概率。
a.第(di)1次實驗。用(yong)式(5)針對所(suo)監控的逾(yu)1000塊規格爲(wei)LWQZ-100B流量計重(zhong)新随機計(ji)算,并取其(qi)中5塊S≤20分的(de)流量計,經(jing)檢測台檢(jian)測後發現(xian),該5塊流量(liang)計中有5塊(kuai)确實爲機(ji)械慢表。設(she)D表示事件(jian):5塊流量計(ji)中有5塊🐕爲(wei)機械慢表(biao)。
用D事件代(dai)替式(6)~(8)中的(de)B事件,計算(suan)可得D發生(sheng)的情況下(xia)A1的可信度(du)爲84.06%,即後驗(yan)概率爲P(A1|D)=84.06%,P(A2|D)=15.94%,這(zhe)種情形需(xu)要再做第(di)2次實🌂驗。
b.第(di)2次實驗。用(yong)式(5)針對所(suo)監控的逾(yu)1000塊規格爲(wei)LWQZ-100B流量計重(zhong)新随🔞機計(ji)⭕算,并取其(qi)中10塊S≤20分的(de)流量計,經(jing)檢測台檢(jian)測🐅後發現(xian),該10塊流🛀🏻量(liang)計中有9塊(kuai)确實爲機(ji)械慢表。設(she)E表示☎️事件(jian):10塊流量計(ji)中有9塊爲(wei)機械慢表(biao)。
用E事件代(dai)替式(6)~(8)中的(de)B事件,計算(suan)可得E發生(sheng)的情況下(xia)A1的可信🈲度(du)爲94.94%,即後驗(yan)概率爲P(A1|E)=94.94%,P(A2|E)=5.06%。此(ci)實驗說明(ming),當N設定爲(wei)30次,通過式(shi)(5)計算型号(hao)爲LWQZ-100B的流量(liang)計最近的(de)30條停機數(shu)據,當該流(liu)量計停機(ji)延時流量(liang)評分S≤20分時(shi),此評分發(fa)現機械慢(man)表的正确(que)≥90%的可信度(du)已達到94.94%。
當(dang)N設定爲30次(ci)時,此評分(fen)模型發現(xian)型号爲LWQZ-100B的(de)流量計爲(wei)機械慢表(biao)的正确較(jiao)高。現假設(she)客戶用氣(qi)設備每天(tian)至少停機(ji)1次,則評估(gu)周期最多(duo)需要30d。
以上(shang)爲型号爲(wei)LWQZ-100B流量計的(de)停機延時(shi)評分機制(zhi),其他型号(hao)流量計⭐也(ye)可通過此(ci)流程建立(li)類似的停(ting)機延時評(ping)分機制。對(dui)先驗概率(lü)與後驗概(gai)率的比較(jiao)可以看出(chu),應用貝葉(ye)斯定理⛱️有(you)利于使工(gong)程師的經(jing)驗、現場實(shi)驗成果以(yi)及曆史實(shi)驗資料都(dou)充分發揮(hui)作用,有利(li)于積累資(zi)料的同時(shi)豐富經驗(yan),是少投入(ru)多産出的(de)好方法。
5結(jie)論
①将渦輪(lun)流量計機(ji)械慢表的(de)故障程度(du)随時量化(hua),大💋幅度🌈降(jiang)低👄不同型(xing)号流量計(ji)因機械摩(mo)擦力矩增(zeng)加造成🌈機(ji)械慢表的(de)發現周🙇♀️期(qi),将故障發(fa)現周期從(cong)2a縮短到30d,最(zui)大程度上(shang)降低🥵燃氣(qi)公司的經(jing)濟損失,從(cong)而☎️爲企業(ye)營收做貢(gong)獻。
②對燃氣(qi)行業工商(shang)大表傳統(tong)管理模式(shi)創新。通過(guo)應用該技(ji)術,可以将(jiang)“首檢合格(ge)、定期周檢(jian)、到期報廢(fei)”的傳統管(guan)理模式演(yan)變爲“首檢(jian)合格、随時(shi)評估、永遠(yuan)如新”的管(guan)理模式。
以(yi)上内容來(lai)源于網絡(luo),如有侵權(quan)請聯系即(ji)删除!