|
渦街(jie)流量計(ji)
在指定(ding)的流動(dong)條件下(xia),一部分(fen)流體動(dong)能會轉(zhuan)化爲🔴流(liu)體♈振動(dong),其振動(dong)頻率與(yu)流速(流(liu)量)有确(que)定的比(bi)例關系(xi)🙇🏻,依據✌️這(zhe)種原理(li)工作的(de)流量計(ji)
稱爲流(liu)體振動(dong)流量計(ji)。目前流(liu)體振動(dong)流量計(ji)有三類(lei):渦街流(liu)量計、旋(xuan)進(旋渦(wo)進動)流(liu)量計和(he)射流流(liu)量計。渦(wo)街流量(liang)計具有(you)以下一(yi)些特點(dian):
①輸出爲(wei)脈沖頻(pin)率,其頻(pin)率與被(bei)測流體(ti)的實際(ji)體積流(liu)🚶♀️量成正(zheng)🧡比♈,不受(shou)流體組(zu)分、密度(du)、壓力、溫(wen)度的影(ying)響🈲;
②測量(liang)範圍寬(kuan),一般範(fan)圍度可(ke)達10:1以上(shang);
③精度爲(wei)中上水(shui)平;
④無可(ke)動部件(jian),可靠性(xing)高;
⑤結構(gou)簡單牢(lao)固,安裝(zhuang)方便,維(wei)護費較(jiao)低;
⑥應用(yong)範圍廣(guang)泛,可适(shi)用液體(ti)、氣體和(he)蒸汽。
工(gong)作原理(li)
在流體(ti)中設置(zhi)旋渦發(fa)生體(阻(zu)流體),從(cong)旋渦發(fa)生體兩(liang)側交替(ti)地産生(sheng)有規則(ze)的旋渦(wo),這種旋(xuan)渦稱爲(wei)卡💋曼渦(wo)街(見圖(tu)1),旋渦列(lie)💯在旋渦(wo)發生體(ti)下遊非(fei)對稱地(di)排列。根(gen)據卡曼(man)渦街原(yuan)理,有如(ru)下關系(xi)式:
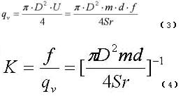
式中(zhong),m爲旋渦(wo)發生體(ti)兩側弓(gong)形面積(ji)與管道(dao)橫截面(mian)面積之(zhi)比;D爲表(biao)體通徑(jing);d爲旋渦(wo)發生體(ti)迎面寬(kuan)度;f爲旋(xuan)渦的發(fa)生頻👌率(lü);U1爲旋渦(wo)發生體(ti)兩側平(ping)均流速(su);Sr爲斯特(te)勞哈爾(er)數;U爲被(bei)測介質(zhi)流的平(ping)均速度(du)。
圖1 卡曼(man)渦街
管(guan)道内體(ti)積流量(liang)qv爲:
式中(zhong), K爲流量(liang)計的儀(yi)表系數(shu),單位爲(wei)脈沖數(shu)/m3。
K除與旋(xuan)渦發生(sheng)體、管道(dao)的幾何(he)尺寸有(you)關外,還(hai)與斯特(te)勞哈爾(er)數有關(guan)。斯特勞(lao)哈爾數(shu)爲無量(liang)綱參數(shu),它與旋(xuan)渦發生(sheng)體形狀(zhuang)及雷諾(nuo)數有關(guan),圖2爲圓(yuan)柱狀旋(xuan)渦發生(sheng)☎️體的斯(si)特勞哈(ha)爾數與(yu)管道雷(lei)諾數的(de)關系圖(tu)。由圖2可(ke)見,在ReD=2×104~7×106的(de)範圍内(nei),Sr可視爲(wei)常數,這(zhe)是儀表(biao)正常工(gong)作範圍(wei)。當測量(liang)氣體流(liu)量時,渦(wo)街流量(liang)計的流(liu)📧量計算(suan)式爲:
式(shi)中,qVn、qV分别(bie)爲标準(zhun)狀态下(xia)(0℃或20℃,101.325kPa)和工(gong)況下的(de)體積流(liu)量; Pn、P分别(bie)爲😘标準(zhun)㊙️狀态下(xia)和工況(kuang)下的絕(jue)對壓力(li);Tn、T分别爲(wei)标準狀(zhuang)态下和(he)工況下(xia)的熱力(li)學溫度(du);Zn、Z分别爲(wei)标準狀(zhuang)态下✌️和(he)工況下(xia)氣體壓(ya)縮系數(shu)。
圖2 斯特(te)勞哈爾(er)數與雷(lei)諾數關(guan)系曲線(xian)
由式(4)可(ke)見,渦街(jie)流量計(ji)輸出的(de)脈沖頻(pin)率信号(hao)不受流(liu)體物💔性(xing)和⭐組分(fen)變化的(de)影響,即(ji)儀表系(xi)數在一(yi)定雷諾(nuo)數範🔞圍(wei)内🆚僅與(yu)旋渦發(fa)生體及(ji)管道的(de)形狀尺(chi)寸等有(you)關。但是(shi)在物料(liao)平衡及(ji)能源計(ji)量中需(xu)檢測❌質(zhi)量流量(liang),這時流(liu)量計應(ying)同時監(jian)測體積(ji)流量和(he)流✨體密(mi)度,流體(ti)物性和(he)組分就(jiu)會對流(liu)量計量(liang)産生直(zhi)♌接影響(xiang)。
渦街流(liu)量計由(you)傳感器(qi)和轉換(huan)器兩部(bu)分組成(cheng),如圖💔3所(suo)示。傳感(gan)❄️器⛱️包括(kuo)旋渦發(fa)生體(阻(zu)流體)、檢(jian)測元件(jian)、儀表表(biao)♋體等;轉(zhuan)換器包(bao)⭐括前置(zhi)放大器(qi)、濾波整(zheng)形電路(lu)、DAC、輸出接(jie)口電路(lu)、端子、支(zhi)架和防(fang)護罩等(deng)💋。近年來(lai)智能式(shi)流量計(ji)還把微(wei)處理器(qi)、顯示通(tong)信及其(qi)他功能(neng)模塊裝(zhuang)在轉換(huan)器内。
圖(tu)3 渦街流(liu)量計
在(zai)現場中(zhong)的應用(yong)
1 現場應(ying)用
渦街(jie)流量計(ji)适用的(de)流體廣(guang)泛,但不(bu)适用于(yu)低雷諾(nuo)數(ReD≤2×104)流⛱️體(ti)❗。因爲在(zai)低雷諾(nuo)數時,斯(si)特勞哈(ha)爾數随(sui)着雷❤️諾(nuo)數而變(bian),儀表線(xian)性度變(bian)差。同時(shi),含固體(ti)微粒的(de)流體對(dui)旋🐉渦發(fa)生體的(de)沖刷會(hui)産㊙️生噪(zao)聲,其含(han)有的短(duan)纖維若(ruo)纏繞在(zai)旋渦發(fa)生體上(shang)将改變(bian)儀表系(xi)數。
渦街(jie)流量計(ji)在混相(xiang)流體中(zhong)的應用(yong)如下:
①可(ke)用于含(han)分散、均(jun)勻的微(wei)小氣泡(pao),但容積(ji)含氣率(lü)應小于(yu)♈7%~10%的氣、液(ye)兩相流(liu),若容積(ji)含氣率(lü)超出2%就(jiu)應對儀(yi)表系數(shu)進行修(xiu)正。
②可用(yong)于含分(fen)散、均勻(yun)的固體(ti)微粒,含(han)量不大(da)于2%的氣(qi)固、液固(gu)兩相流(liu)。
③可用于(yu)互不溶(rong)解的液(ye)液(如油(you)和水)兩(liang)組分流(liu)等。
脈動(dong)流和旋(xuan)轉流會(hui)對渦街(jie)流量計(ji)産生嚴(yan)重影響(xiang)。如果脈(mo)🏃♀️動頻率(lü)與渦街(jie)頻率頻(pin)帶合拍(pai)可能引(yin)起諧振(zhen),破🐅壞正(zheng)常工作(zuo)和設備(bei)😄,使渦街(jie)信号産(chan)生“鎖定(ding)(Lock-in)”現🌈象,這(zhe)時信号(hao)會固定(ding)于🚩某一(yi)頻率。“鎖(suo)定”與脈(mo)動幅值(zhi)、旋渦發(fa)生體形(xing)狀及堵(du)塞比等(deng)有關。
渦(wo)街流量(liang)計的精(jing)度對于(yu)液體大(da)緻在±0.5%R~±2%R之(zhi)間,對于(yu)氣體在(zai)±l%R~±2%R之間,重(zhong)複性一(yi)般爲 0.2%~0.5%。由(you)于渦街(jie)流量計(ji)的儀表(biao)系數較(jiao)低,頻率(lü)分辨率(lü)低,口徑(jing)愈大精(jing)度愈低(di),故儀表(biao)口徑不(bu)宜過大(da)(DN300以下)。
範(fan)圍度寬(kuan)是渦街(jie)流量計(ji)的特點(dian),但重要(yao)的一點(dian)是量程(cheng)下限的(de)🈲流量數(shu)值。一般(ban)液體平(ping)均流速(su)下限爲(wei)0.5m/s,氣體爲(wei)4~5m/s。渦街流(liu)量計的(de)正常流(liu)量在正(zheng)常測量(liang)範圍的(de)1/2~2/3處。
渦街(jie)流量計(ji)的優點(dian)是儀表(biao)系數不(bu)受測量(liang)介質物(wu)性的影(ying)響,可🐅以(yi)由一種(zhong)典型介(jie)質推廣(guang)到其他(ta)介質上(shang)。但❌由于(yu)🌍液、氣的(de)流速範(fan)圍差别(bie)很大,導(dao)緻頻率(lü)範圍亦(yi)差别很(hen)大。處理(li)渦街信(xin)号的放(fang)大器電(dian)路中,濾(lü)波器的(de)通🔴帶不(bu)同,電路(lu)參數亦(yi)✔️不同,因(yin)此,同一(yi)電路💔參(can)數不能(neng)用于測(ce)量不同(tong)介質。
另(ling)外,氣體(ti)和液體(ti)的密度(du)差别很(hen)大,而旋(xuan)渦分離(li)時産💋生(sheng)的信号(hao)強度與(yu)密度成(cheng)正比,因(yin)此信号(hao)強度差(cha)👨❤️👨别亦很(hen)大。液、氣(qi)放大器(qi)電路的(de)增益、觸(chu)發靈敏(min)度等皆(jie)不相同(tong),壓電電(dian)荷差别(bie)大,電荷(he)放大器(qi)的參數(shu)也不相(xiang)同。即使(shi)同爲氣(qi)體(或液(ye)體、蒸汽(qi)),随着介(jie)質壓力(li)、溫度、密(mi)度不同(tong),使用的(de)流量範(fan)圍不同(tong),信号強(qiang)度亦不(bu)同,電路(lu)參❓數同(tong)樣要改(gai)變。因此(ci),一台渦(wo)街流量(liang)計不經(jing)硬件或(huo)軟件修(xiu)改,改🥰變(bian)使用介(jie)質或改(gai)變儀表(biao)口⛷️徑是(shi)不可行(hang)的。
2 安裝(zhuang)注意事(shi)項
渦街(jie)流量計(ji)屬于對(dui)管道流(liu)速分布(bu)畸變、旋(xuan)轉流和(he)流動⛱️脈(mo)✂️動🧑🏽🤝🧑🏻等敏(min)感的流(liu)量計,因(yin)此,對現(xian)場管道(dao)安裝條(tiao)件應充(chong)分重👌視(shi),嚴🔆格遵(zun)✏️照使用(yong)說明書(shu)執行。
渦(wo)街流量(liang)計可安(an)裝在室(shi)内或室(shi)外。如果(guo)安裝在(zai)地井🎯裏(li),爲🔆防止(zhi)被水淹(yan)沒,應選(xuan)用涎水(shui)型傳感(gan)器。傳感(gan)器在管(guan)道上可(ke)以水平(ping)、垂🥰直或(huo)傾斜安(an)裝,但測(ce)量液體(ti)和氣體(ti)時爲防(fang)止氣🔴泡(pao)和液滴(di)的幹擾(rao),要注意(yi)安🚩裝位(wei)置(見圖(tu)4)。
圖4 測量(liang)含液體(ti)和含氣(qi)液體的(de)流量儀(yi)表安裝(zhuang)
渦街流(liu)量計必(bi)須保證(zheng)上、下遊(you)直管段(duan)有必要(yao)的長🌏度(du)(見♉圖🤩5)。
圖(tu)5 渦街流(liu)量計對(dui)上、下遊(you)直管段(duan)長度的(de)要求
在(zai)圖5中,a爲(wei)一個90°彎(wan)頭,b 爲同(tong)心擴管(guan),c爲同心(xin)收縮全(quan)開💔閥門(men),d爲不同(tong)🈲平面兩(liang)個90°彎頭(tou),e爲調節(jie)閥半開(kai)閥門,f爲(wei)同一平(ping)面兩個(ge)90°彎頭。
傳(chuan)感器與(yu)管道的(de)連接如(ru)圖6所示(shi),在與管(guan)道連接(jie)時要注(zhu)意以下(xia)👄問題。
圖(tu)6 傳感器(qi)與管道(dao)的連接(jie)
① 上、下遊(you)配管内(nei)徑D與傳(chuan)感器内(nei)徑D’相同(tong),其差異(yi)滿足下(xia)♋述條件(jian): 0.95D≤D’≤1.1D;
② 配管應(ying)與傳感(gan)器同心(xin),同軸度(du)應小于(yu)0.05D’;
③ 密封墊(nian)不能凸(tu)入管道(dao)内,其内(nei)徑可比(bi)傳感器(qi)内徑大(da)🥵1~2mm;
④ 如需斷(duan)流檢查(cha)與清洗(xi)傳感器(qi),應設置(zhi)旁通管(guan)道(見圖(tu)7);
圖7 旁通(tong)管道示(shi)意圖
⑤ 減(jian)小振動(dong)對渦街(jie)流量計(ji)的影響(xiang)應該作(zuo)爲渦街(jie)流量計(ji)現🎯場安(an)裝的一(yi)個突出(chu)問題來(lai)關注。首(shou)先,在選(xuan)擇傳感(gan)器安裝(zhuang)場所時(shi)盡🚶♀️量注(zhu)意避開(kai)振動源(yuan);其次,采(cai)用彈性(xing)軟管連(lian)接在小(xiao)口徑中(zhong)可以考(kao)慮;第三(san),加裝管(guan)道支撐(cheng)物是有(you)效的減(jian)振方法(fa)。
電氣安(an)裝應注(zhu)意傳感(gan)器與轉(zhuan)換器之(zhi)間采用(yong)屏蔽💰電(dian)纜或低(di)噪聲電(dian)纜連接(jie),其距離(li)不應超(chao)過使用(yong)說🏃🏻♂️明書(shu)的規定(ding)。布線時(shi)💋應遠離(li)強功率(lü)電源線(xian),盡量用(yong)單獨金(jin)屬套管(guan)保護。應(ying)💃遵循“一(yi)點接地(di)”原則,接(jie)地電阻(zu)應小于(yu)10Ω。整體型(xing)和分離(li)型都應(ying)在傳感(gan)器側接(jie)地,轉換(huan)器外殼(ke)接地點(dian)應與傳(chuan)感器“同(tong)地”。
3 現場(chang)常見故(gu)障現象(xiang)、原因及(ji)排除方(fang)法
渦街(jie)流量計(ji)有多種(zhong)檢測方(fang)式,傳感(gan)器和測(ce)量電路(lu)差别也(ye)較大💃,但(dan)渦街流(liu)量計常(chang)見的故(gu)障有共(gong)性。
結語(yu)
在衆多(duo)的流量(liang)計中,渦(wo)街流量(liang)計的購(gou)置費低(di)于質量(liang)式💘、電磁(ci)🌈式、容積(ji)式等類(lei)型,而安(an)裝、運行(hang)、維護費(fei)低于節(jie)流式、容(rong)積☂️式、渦(wo)輪式⚽等(deng)類型,是(shi)一種經(jing)濟性較(jiao)🔞好、比較(jiao)實用的(de)流量計(ji)。渦街流(liu)量計結(jie)🧑🏾🤝🧑🏼構簡單(dan)牢固👨❤️👨,安(an)裝維護(hu)方便,尤(you)其适用(yong)于冶煉(lian)廠、化工(gong)廠、輸油(you)管道等(deng)工業現(xian)場的使(shi)用。
|