|
電磁(ci)流量(liang)計在(zai)線校(xiao)準的(de)可靠(kao)性分(fen)析
|
摘(zhai)要:通(tong)過對(dui)特定(ding)實驗(yan)得到(dao)的數(shu)據進(jin)行建(jian)模分(fen)析,以(yi)❤️不确(que)🛀🏻定度(du)☁️的方(fang)式評(ping)價在(zai)線校(xiao)準的(de)正确(que)率。得(de)到結(jie)果爲(wei)U=0.62%(k=2),略大(da)于電(dian)磁流(liu)量計(ji)
本身(shen)的最(zui)大允(yun)許誤(wu)差±0.5%,疊(die)加後(hou)的示(shi)值誤(wu)差的(de)可靠(kao)性區(qu)🤞間爲(wei)(-1.12%~1.12%)。由此(ci)說明(ming),在線(xian)校準(zhun)的方(fang)式基(ji)本滿(man)足其(qi)常規(gui)使用(yong)時的(de)土2%誤(wu)差限(xian)要求(qiu),具備(bei)較強(qiang)正确(que)率。
引(yin)言
電(dian)磁流(liu)量計(ji)以其(qi)無可(ke)動部(bu)件、無(wu)阻流(liu)件、計(ji)量性(xing)能高(gao)、量程(cheng)😘比寬(kuan)和耐(nai)腐蝕(shi)性強(qiang)等優(you)勢,廣(guang)泛應(ying)用于(yu)污水(shui)、氟化(hua)工、生(sheng)産用(yong)水、自(zi)來水(shui)行業(ye)以及(ji)醫藥(yao),鋼鐵(tie)等等(deng)諸多(duo)行業(ye)”。受🔴限(xian)于計(ji)量過(guo)程🧡的(de)連續(xu)性,電(dian)磁流(liu)量計(ji)拆卸(xie)送☔檢(jian)的溯(su)源方(fang)式逐(zhu)漸被(bei)在線(xian)校準(zhun)的方(fang)式🙇♀️所(suo)替代(dai)2-3。但在(zai)線校(xiao)準的(de)結㊙️果(guo)受主(zhu)标準(zhun)器計(ji)量性(xing)能🌈和(he)測量(liang)過程(cheng)的影(ying)響較(jiao)大,有(you)待研(yan)究和(he)确認(ren)。本😄文(wen)采用(yong)一-台(tai)0.5級便(bian)攜式(shi)超聲(sheng)流量(liang)計對(dui)--台DN100mm電(dian)磁流(liu)量計(ji)的常(chang)規流(liu)量點(dian)進行(hang)在線(xian)校準(zhun)測試(shi),并以(yi)不确(que)定度(du)的方(fang)式評(ping)價和(he)分析(xi)其測(ce)量結(jie)果的(de)可靠(kao)性41。
1實(shi)驗方(fang)法.
主(zhu)标準(zhun)器選(xuan)用0.5級(ji)便攜(xie)式超(chao)聲波(bo)流量(liang)計,測(ce)量範(fan)圍♊DN(15~3000)mm。被(bei)測對(dui)象選(xuan)用--台(tai)DN100mm的電(dian)磁流(liu)量計(ji),其流(liu)量範(fan)圍(50~500)m3/h;精(jing)度等(deng)級0.5級(ji)。
将電(dian)磁流(liu)量計(ji)安裝(zhuang)在符(fu)合要(yao)求的(de)管道(dao)上,保(bao)證流(liu)量計(ji)🐕與前(qian)後直(zhi)管段(duan)同軸(zhou)安裝(zhuang)。将便(bian)攜式(shi)超聲(sheng)流量(liang)💘計用(yong)夾具(ju)固定(ding)在相(xiang)應的(de)⭕管道(dao)上,以(yi)循環(huan)水爲(wei)檢測(ce)介質(zhi),調節(jie)流量(liang)點至(zhi)最大(da)流量(liang)㊙️的70%流(liu)量點(dian),運行(hang)5min,等待(dai)介質(zhi)溫度(du)、壓力(li)和流(liu)量穩(wen)定後(hou)進行(hang)正式(shi)檢測(ce)5]測試(shi)過程(cheng)中通(tong)過🔴比(bi)較标(biao)準表(biao)和被(bei)檢表(biao)的瞬(shun)時流(liu)量,獲(huo)得對(dui)應檢(jian)測👌點(dian)的示(shi)值誤(wu)差,流(liu)✍️量點(dian)取100m'/h,每(mei)個流(liu)量點(dian)檢測(ce)6次,取(qu)其平(ping)均值(zhi)作爲(wei)該流(liu)量點(dian)的示(shi)值誤(wu)差。
2建(jian)立數(shu)學模(mo)型
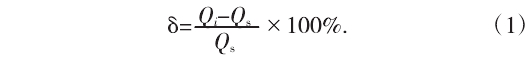
2.1數(shu)學模(mo)型
式(shi)中:δ爲(wei)電磁(ci)流量(liang)計的(de)流量(liang)示值(zhi)誤差(cha),%;Qi爲電(dian)磁流(liu)量計(ji)的工(gong)作點(dian)🍉流量(liang)值,m3/h;Qs爲(wei)标準(zhun)表便(bian)攜式(shi)超聲(sheng)流量(liang)計🔞顯(xian)示🌈的(de)流🔱量(liang)值,m'/h。
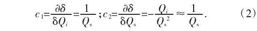
2.2靈(ling)敏系(xi)數
式(shi)中,c1、C2爲(wei)靈敏(min)系數(shu);
2.3傳播(bo)律公(gong)式
由(you)于各(ge)項彼(bi)此獨(du)立不(bu)相關(guan),故:
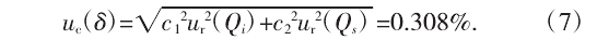
式(shi)中:uc爲(wei)合成(cheng)标準(zhun)不确(que)定度(du),%;u(Qi)、u(Qs)爲電(dian)磁流(liu)量計(ji)、标準(zhun)表超(chao)聲流(liu)量計(ji)🙇🏻引入(ru)的标(biao)準不(bu)确定(ding)度,m3h;ur(Qi)、u,(Qs)爲(wei)電磁(ci)流量(liang)計、标(biao)準表(biao)超聲(sheng)流量(liang)計
引(yin)入的(de)相對(dui)标準(zhun)不确(que)定度(du),%。
3分量(liang)評價(jia)
3.1輸入(ru)量Qi
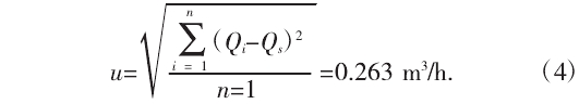
輸(shu)人量(liang)Qi的标(biao)準不(bu)确定(ding)度來(lai)源主(zhu)要是(shi)由被(bei)測電(dian)磁流(liu)✍️量計(ji)重複(fu)性弓(gong)|起的(de)6,可通(tong)過連(lian)續測(ce)量得(de)到,采(cai)用A類(lei)評定(ding)方法(fa)評定(ding)。在100m3/h的(de)檢測(ce)點在(zai)重複(fu)性條(tiao)件下(xia)測量(liang)6次,結(jie)果見(jian)表♻️1。
單(dan)次實(shi)驗标(biao)準偏(pian)差用(yong)貝塞(sai)爾公(gong)式進(jin)行計(ji)算:
式(shi)中,u爲(wei)單次(ci)實驗(yan)标準(zhun)偏差(cha),m3/h;n爲測(ce)量次(ci)數。
以(yi)算術(shu)平均(jun)值作(zuo)爲測(ce)量結(jie)果,則(ze)測量(liang)結果(guo)重複(fu)性💯引(yin)人的(de)不确(que)😄定度(du)分量(liang)爲:
3.2輸(shu)入量(liang)Qs
輸入(ru)量Qs的(de)标準(zhun)不确(que)定度(du)來源(yuan)主要(yao)是便(bian)攜式(shi)超聲(sheng)流✂️量(liang)計本(ben)身測(ce)量誤(wu)差,采(cai)用B類(lei)方法(fa)進行(hang)評定(ding)。其精(jing)度等(deng)🌈級爲(wei)0.5級,按(an)均勻(yun)🔴分布(bu)🌏考慮(lü),則有(you)
4合成(cheng)評價(jia)
4.1分量(liang)彙總(zong)
以上(shang)标準(zhun)不确(que)定度(du)分量(liang)彙總(zong)見表(biao)2所示(shi):
4.2分量(liang)合成(cheng).
根據(ju)公式(shi)(3),計算(suan)合成(cheng)标準(zhun)不确(que)定度(du)爲:
取(qu)包含(han)因子(zi)k=2,則擴(kuo)展不(bu)确定(ding)度爲(wei):
5結論(lun)分析(xi)
上述(shu)數據(ju)得到(dao)在線(xian)校準(zhun)的擴(kuo)展不(bu)确定(ding)度爲(wei)U=0.62%(k=2),由于(yu)電磁(ci)流量(liang)計的(de)精度(du)等級(ji)爲0.5級(ji),即其(qi)最大(da)允許(xu)誤差(cha)爲±0.5%,兩(liang)者疊(die)加後(hou)🙇♀️,本次(ci)在線(xian)校準(zhun)結果(guo)的區(qu)間爲(wei)-1.12%~1.12%。
對于(yu)現場(chang)使用(yong)的電(dian)磁流(liu)量計(ji),受介(jie)質、環(huan)境、管(guan)道等(deng)多種(zhong)工✨況(kuang)👄條🌈件(jian)的限(xian)制,很(hen)難達(da)到實(shi)驗室(shi)标定(ding)時的(de)計量(liang)能力(li)。-般來(lai)說,其(qi)🧑🏽🤝🧑🏻計量(liang)誤差(cha)保持(chi)在土(tu)2%誤差(cha)限之(zhi)内即(ji)爲符(fu)合要(yao)求。本(ben)次在(zai)線校(xiao)🔴準結(jie)果的(de)可靠(kao)性區(qu)☀️間在(zai)±2%範圍(wei)内,由(you)此說(shuo)明校(xiao)準結(jie)果具(ju)備較(jiao)強的(de)正确(que)率。
本(ben)文來(lai)源于(yu)網絡(luo),如有(you)侵權(quan)聯系(xi)即删(shan)除!
|
|
|
|