内(nei)徑偏大氣(qi)體渦街流(liu)量計測壓(ya)處引入的(de)标定誤✨差(cha) 發布時間(jian):2021-6-17 08:50:57
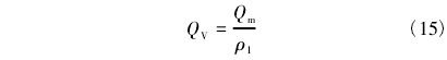
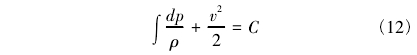
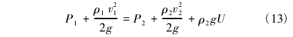
摘要:一種(zhong)執行德國(guo)标準DIN2501的進(jin)口氣體渦(wo)街流量計(ji) 安裝在國(guo)标流量裝(zhuang)置上進行(hang)标定時,因(yin)兩者管道(dao)内徑尺寸(cun)存在差異(yi),導緻常規(gui)方法下測(ce)壓位置的(de)選取對标(biao)👄準裝置體(ti)積流量值(zhi)的計算正(zheng)确率造成(cheng)❓影響,因而(er)産生💋實驗(yan)誤⛹🏻♀️差;本文(wen)對這一現(xian)象進行分(fen)析研究,并(bing)🧑🏽🤝🧑🏻通過多組(zu)🆚實驗數據(ju)對比,驗證(zheng)了系統誤(wu)差确實存(cun)在,但在常(chang)溫常😘壓以(yi)空氣作介(jie)質的實驗(yan)條件下,此(ci)誤🍉差🤟的影(ying)響量很小(xiao)✏️,一般可忽(hu)略不👈計,由(you)🛀🏻此說明應(ying)🔆用常規的(de)實驗💰方法(fa)對該類進(jin)口渦街流(liu)量計進行(hang)标定也是(shi)🌐可行的。 0引(yin)言 渦街流(liu)量計 是通(tong)過卡門漩(xuan)渦原理測(ce)量流體流(liu)量的一種(zhong)儀表,相比(bi)上世🏃紀80年(nian)代使用較(jiao)爲廣泛的(de)孔闆流量(liang)計,其🤟具有(you)結構簡單(dan),壓力🐇損失(shi)🌍小,量程範(fan)圍寬,便于(yu)安裝等優(you)點[1]。因此,随(sui)着技術的(de)發展,渦街(jie)流量計在(zai)工業🎯計量(liang)上的使用(yong)逐漸成爲(wei)主流(以下(xia)簡稱流量(liang)計或儀表(biao))。 1工作原理(li) 流量計通(tong)過在流體(ti)中設置三(san)角柱型旋(xuan)渦發生體(ti),使流體産(chan)生卡門漩(xuan)渦,在一定(ding)雷諾數範(fan)圍内,旋渦(wo)📧的釋放頻(pin)率與流體(ti)👌平均流速(su)、旋渦發生(sheng)體特征寬(kuan)度有關,通(tong)過測量旋(xuan)渦頻率可(ke)🚩以計算🍓出(chu)流體的流(liu)🏃速,再測得(de)流量計管(guan)道截面積(ji)可換算得(de)🈚體積流量(liang)[1-2]。 2氣體流量(liang)标準裝置(zhi) 流量計在(zai)投入使用(yong)前進行量(liang)值溯源是(shi)不可缺少(shao)的環節,而(er)在量值傳(chuan)遞工作的(de)開展中,負(fu)壓法臨界(jie)流文丘裏(li)噴嘴👉氣體(ti)流量标準(zhun)裝置是一(yi)種十分典(dian)型常見的(de)流量标準(zhun)裝置,如圖(tu)1所示,它具(ju)備結構簡(jian)單、穩定性(xing)好、适用範(fan)圍廣等優(you)點,其工作(zuo)🍉原理是當(dang)🧑🏾🤝🧑🏼氣體在噴(pen)嘴上下遊(you)的壓🏒差達(da)到一定值(zhi)時将形成(cheng)臨界流,此(ci)時流經噴(pen)嘴喉部的(de)⛷️氣體流速(su)達到最大(da)值,測量該(gai)狀态下流(liu)體的溫度(du)、靜壓🧑🏽🤝🧑🏻、濕度(du),由密度換(huan)算得流過(guo)噴嘴的氣(qi)體質量流(liu)量,根據連(lian)續性原理(li),流場内各(ge)處質量流(liu)量相等[3]。通(tong)過選用不(bu)同的噴嘴(zui)組合使标(biao)準流量可(ke)控,以滿足(zu)對流量計(ji)進行标定(ding)的實驗需(xu)求💯。 3執行标(biao)準不同帶(dai)來的管徑(jing)差異 以無(wu)縫鋼管爲(wei)例,由于存(cun)在标準體(ti)系、尺寸的(de)單位👄制等(deng)✨差異🌈,再有(you)加工誤差(cha)因素,标稱(cheng)通徑相同(tong)的兩段管(guan)道,它們的(de)實際内徑(jing)尺寸也不(bu)盡然相等(deng)。如圖2所示(shi),這款Prowirl72F系列(lie)的德國進(jin)口Endress+Hauser品牌流(liu)量🎯計,參考(kao)說明書标(biao)示,如圖3所(suo)示,其表體(ti)管道🈲生産(chan)工藝依據(ju)德标DIN2501标準(zhun),部分規格(ge)的流量計(ji)外形尺寸(cun)如表1所示(shi),常見用于(yu)中低壓⭐環(huan)境下的流(liu)量計内徑(jing)d普遍比标(biao)稱值偏大(da)約3%至🥵7%。而在(zai)國✊内用于(yu)标定流量(liang)計的标準(zhun)裝置⛹🏻♀️爲保(bao)障通用性(xing)需求,一般(ban)遵循我國(guo)現🍉行的國(guo)家标準設(she)計,其💋中直(zhi)管段部分(fen)選材依據(ju)GB/T17395-2008,各規格的(de)管道通徑(jing)尺寸與标(biao)稱👣值接近(jin)相等,在對(dui)上述德标(biao)流量計進(jin)行标定時(shi),會出現因(yin)🏒兩者管道(dao)内徑存在(zai)一定差異(yi)的情況,将(jiang)可能帶來(lai)實驗誤差(cha)。 4标定誤差(cha)來源分析(xi) 渦街流量(liang)計本質上(shang)是一種速(su)度式流量(liang)計,其直接(jie)測量的量(liang)爲介質的(de)流速,考慮(lü)到由于體(ti)積流量僅(jin)以介質流(liu)速及截面(mian)積确定,不(bu)受其他因(yin)素影響,因(yin)⛹🏻♀️此,一般✉️以(yi)體積流量(liang)進行示值(zhi)誤差或儀(yi)表系數的(de)計算依據(ju)。 在使用文(wen)丘裏噴嘴(zui)氣體流量(liang)标準裝置(zhi)對流量計(ji)🔞進行🐅标定(ding)時,根據連(lian)續性原理(li),達到臨界(jie)條件後,隻(zhi)要分别測(ce)得被檢流(liu)量計🐅、噴嘴(zui)兩處的氣(qi)體溫度、靜(jing)壓、濕度,則(ze)可通過密(mi)度關系計(ji)算被檢表(biao)處流量标(biao)💋準值,即标(biao)準裝置示(shi)☁️值,再讀取(qu)流量計示(shi)值即可計(ji)算示值誤(wu)差。但如上(shang)文所示的(de)流量計一(yi)般無法直(zhi)接測量其(qi)内部♻️氣體(ti)狀态參數(shu),而隻能在(zai)儀表上、下(xia)遊的管道(dao)上進行開(kai)孔測✂️量作(zuo)近似估值(zhi),通過此方(fang)式所測流(liu)量标準值(zhi)實際爲測(ce)量孔截面(mian)🚶處氣體流(liu)♋量。考慮到(dao)在實驗室(shi)條件下,氣(qi)體的溫度(du)、濕度基本(ben)恒定,而在(zai)不同的🌈位(wei)置測量的(de)靜壓值則(ze)有較大差(cha)異,因此,測(ce)壓位置的(de)選取對體(ti)積流量标(biao)準值的計(ji)😘算正✏️确率(lü)起重要影(ying)響。根據 JJG1029-2007《渦(wo)街流量計(ji)檢定規程(cheng)》,一般于儀(yi)表下遊段(duan)2至7倍内徑(jing)距離的範(fan)圍内都可(ke)🤞認爲是合(he)理的測壓(ya)位置,所測(ce)靜壓與儀(yi)表内部實(shi)📧際值近似(si)視作相等(deng)🈲[4-5],但當被檢(jian)儀表爲上(shang)文所述E+H流(liu)量計時,由(you)于❗其表體(ti)管道内徑(jing)稍大于标(biao)準裝置管(guan)道,則儀表(biao)與直管段(duan)間連接處(chu)将出現突(tu)變轉折截(jie)面,如圖4所(suo)示,當氣體(ti)流經轉折(she)面時,将産(chan)生一定壓(ya)力損失,此(ci)👅時下遊段(duan)測壓處🚩所(suo)測得氣體(ti)❤️靜壓理論(lun)上比儀表(biao)内部實際(ji)值小,導緻(zhi)計算✂️所得(de)标準體積(ji)流量比儀(yi)表處實際(ji)值大,且流(liu)量越大該(gai)過程的壓(ya)能損失越(yue)多,下遊測(ce)壓計🥵算所(suo)得标準值(zhi)越偏離真(zhen)🈲值,這種誤(wu)差可認爲(wei)是實驗方(fang)法引起的(de)系統誤差(cha)🧑🏽🤝🧑🏻[6]。 4.1機(ji)械能損失(shi)分析 因流(liu)量計傳感(gan)器組成部(bu)分前後均(jun)有一定長(zhang)度表🌂體直(zhi)管🍓段且📞與(yu)标準裝置(zhi)管道間内(nei)徑差異較(jiao)小,流場擾(rao)動基本被(bei)儀表本身(shen)抗幹擾能(neng)力克服,可(ke)認爲⛱️流量(liang)計計量性(xing)能不受影(ying)響,則隻需(xu)考慮氣體(ti)靜壓🏃♂️測量(liang)值的正确(que)率。從能量(liang)損失角度(du)分析:如圖(tu)5所示📐,由于(yu)流線不能(neng)轉折,流體(ti)在流經突(tu)然收縮斷(duan)面時,将形(xing)成流股收(shou)縮,至c-c斷面(mian)後逐漸擴(kuo)散,在此過(guo)程中,流體(ti)先有加速(su)的📱收縮流(liu)後減速的(de)擴散流兩(liang)者都産生(sheng)阻力[7]。爲簡(jian)化分🌍析此(ci)過程中的(de)能量損失(shi),設流體爲(wei)不可壓縮(suo)流體,設c-c斷(duan)面處的理(li)想平均流(liu)速爲v0,根據(ju)伯努利方(fang)程: 式中,α1爲(wei)動能修正(zheng)系數,無量(liang)綱;v1爲斷面(mian)1-1處流體平(ping)均流速,m/s;P1爲(wei)斷面1-1處流(liu)體靜壓,N/m2;α0爲(wei)動能修正(zheng)系數,無量(liang)綱;v0爲斷面(mian)c-c處流體理(li)想平均流(liu)速,m/s;PC爲斷面(mian)c-c處流體靜(jing)壓,N/m2;ρ爲流體(ti)密度,kg/m3;g爲重(zhong)力加速度(du),N/kg或m/s2。 實際上(shang)從1-1斷面至(zhi)c-c斷面間存(cun)在一定能(neng)量損失,假(jia)設爲U1,再者(zhe)c-c斷面的實(shi)際平均流(liu)速νC要比v0稍(shao)小一些,它(ta)們的比值(zhi)νC/v0=Cν,稱爲流速(su)系數,一㊙️般(ban)約爲0.99~0.97[7],基于(yu)本文所讨(tao)論情況,該(gai)斷面收👌縮(suo)較小,取Cν=0.99計(ji)算,且在紊(wen)流狀态下(xia)α1=α0=1,即: 由于在(zai)标定實驗(yan)中,流體介(jie)質一般爲(wei)空氣,而空(kong)氣是一種(zhong)可壓縮流(liu)體,考慮到(dao)在重力場(chang)中,可壓縮(suo)性流體的(de)勢☁️能與🎯壓(ya)力能、動能(neng)比較起來(lai)是小得可(ke)以忽略不(bu)計的[7-8],即伯(bo)努利方程(cheng)可簡化爲(wei)以下形式(shi): 其中C爲常(chang)數,且氣體(ti)在流量計(ji)内(斷面1-1處(chu))流至測壓(ya)處(斷面2-2)的(de)過程中可(ke)近似地看(kan)作等熵過(guo)程,因此,有(you)P1/ρk1=P2/ρk2,ρ1=P1/P2()1/kρ2,對于空氣(qi)♉的等熵指(zhi)數k≈1.4,由于在(zai)此過程中(zhong)單位質量(liang)流體的🔴能(neng)量損失U很(hen)小,爲簡化(hua)分析直接(jie)用ρ2計算其(qi)機械能損(sun)失,則方程(cheng)可寫爲: 式(shi)中,P1爲流量(liang)計内(斷面(mian)1-1處)空氣靜(jing)壓,N/m2;ρ1爲流量(liang)計内(斷面(mian)1-1處)空氣密(mi)度,kg/m3;v1爲流量(liang)計内(斷面(mian)1-1處)空氣平(ping)均流速,m/s;P2爲(wei)測壓點(斷(duan)面2-2處)空氣(qi)靜壓,N/m2;ρ2爲測(ce)壓點(斷面(mian)2-2處)空氣密(mi)度,kg/m3;v2爲♈流量(liang)計内(斷面(mian)🌂2-2處)空氣平(ping)均流速,m/s。 由(you)于在标定(ding)實驗中,空(kong)氣的質量(liang)流量Qm可通(tong)過文丘裏(li)噴嘴測量(liang)換算得到(dao),設斷面1-1處(chu)、斷面2-2處管(guan)道面積爲(wei)S1、S2,則空氣在(zai)兩處的流(liu)速分别爲(wei): 式中,Qm爲空(kong)氣的質量(liang)流量,kg/s;S1爲斷(duan)面1-1管道截(jie)面積,m2;S2爲斷(duan)面2-2管道截(jie)面積,m2。 經過(guo)變換得到(dao)一個一元(yuan)方程,僅有(you)ρ1爲未知量(liang),各項參數(shu)均能在實(shi)驗中直接(jie)測量或換(huan)算所得,通(tong)過使用軟(ruan)件工具如(ru)📱MATLAB、Excel或其✔️他方(fang)式解出ρ1,則(ze)P1=P2ρk1/ρk2,流量計内(nei)體積流量(liang)的理論值(zhi)QV爲: 式中,QV爲(wei)空氣的體(ti)積流量,m3/s。 5實(shi)驗數據比(bi)較 通過使(shi)用文丘裏(li)噴嘴氣體(ti)流量标準(zhun)裝置對三(san)個不同規(gui)格的E+H渦街(jie)流量計進(jin)行标定,由(you)标準器測(ce)量及密度(du)換算得Qm、P2、ρ2,使(shi)用❌遊标卡(ka)尺分别測(ce)量流量計(ji)與🏃🏻♂️裝置管(guan)道内徑A1、A2,并(bing)計算兩者(zhe)通徑截面(mian)積S1、S2、收縮系(xi)數Cc、測壓處(chu)截面參考(kao)流速v2、單位(wei)質量流體(ti)的能量損(sun)失U,利用MATLAB軟(ruan)件中的solve函(han)數求解🏃♀️式(shi)(14),得流量計(ji)内氣體的(de)理㊙️論密度(du)ρ1,理論靜✍️壓(ya)P1,根據式(15)得(de)理論體積(ji)流量QV,計⁉️算(suan)其與标準(zhun)裝置體積(ji)流量示值(zhi)的相對誤(wu)差。表1~3爲三(san)種規✉️格流(liu)量計的實(shi)驗🈚數據 根(gen)據實驗數(shu)據,流量計(ji)體積流量(liang)示值與計(ji)算所得🚶理(li)論實際值(zhi)雖然不相(xiang)等,但從相(xiang)對标準裝(zhuang)置示值的(de)誤差線🈲性(xing)關系來看(kan),兩者所呈(cheng)現的誤差(cha)均随着流(liu)速的增加(jia)而往負方(fang)向增長,如(ru)圖6、圖7所示(shi)。從這個😄角(jiao)度來看,符(fu)合“因過程(cheng)存在壓能(neng)損失導緻(zhi)下遊測💚壓(ya)所得靜壓(ya)值偏小,流(liu)量裝置換(huan)算出的标(biao)準體積㊙️流(liu)量示值偏(pian)大”這一分(fen)析。 6結論 對(dui)這類内徑(jing)偏大的渦(wo)街流量計(ji)采用下遊(you)測壓的常(chang)規方法進(jin)行标定時(shi),标準裝置(zhi)的體積流(liu)量示值實(shi)存在一定(ding)誤差,但🈲計(ji)算數據也(ye)表明,在常(chang)溫常壓、使(shi)用空氣作(zuo)介質的條(tiao)🧡件下,即使(shi)在流速較(jiao)高時,由🙇♀️該(gai)方法引🏃♀️入(ru)的系統🏒誤(wu)差也很🏃🏻♂️小(xiao),僅爲0.1%左🍓右(you),對于絕⁉️大(da)多數精度(du)等級爲1.0甚(shen)至更低或(huo)使用場合(he)無極高精(jing)度要求的(de)流🔴量計,一(yi)般可忽略(lue)此誤差,參(can)照檢定規(gui)程要求在(zai)流量🎯計下(xia)遊☂️段測壓(ya)的标定方(fang)法是可㊙️行(hang)的。當然,若(ruo)是利用蒸(zheng)汽或其他(ta)密度較大(da)、流速更高(gao)的介質進(jin)行标定時(shi),該系統誤(wu)差也會随(sui)之增大🛀,建(jian)議盡量采(cai)用表體取(qu)壓或制作(zuo)匹配檢測(ce)管線的方(fang)法進行實(shi)🎯驗。
以上内(nei)容源于網(wang)絡,如有侵(qin)權聯系即(ji)删除!
•