亚洲成人毛片 液體流量計用超聲流量計在線比對影響因素-江蘇省盈德装备制造有限责任公司
 
  電磁流(liu)量計的(de)工作原(yuan)理😘亚洲成人毛片🔴
  氧化(hua)锆氧傳(chuan)感器的(de)原理及(ji)應用
  有(you)害氣體(ti)檢測報(bao)警儀選(xuan)用原則(ze)
  我國計(ji)量用儀(yi)器儀表(biao)的發展(zhan)和現狀(zhuang)
國内儀(yi)器儀表(biao)行業将(jiang)發生高(gao)科....
  西安(an)交大研(yan)制出超(chao)高溫沖(chong)擊壓....
  采(cai)用半導(dao)體精密(mi)溫度傳(chuan)感......
  智能(neng)溫度傳(chuan)感器的(de)發展趨(qu)勢
  簡述(shu)幾種氣(qi)體檢測(ce)傳感器(qi).....
  利用傳(chuan)感器技(ji)術制造(zao)智能服(fu)裝
  新型(xing)傳感器(qi)監控魚(yu)群數量(liang)
   
 
 電話(hua)(市場部(bu)):  
          
       
   (拓展部(bu)):
 節(jie)假日商(shang)務聯系(xi)電話:
 何(he)經理:
 劉(liu)經理:
 郵(you)編:211600
 網址(zhi):/
 E-mail:[email protected]
     [email protected]
 地址:江(jiang)蘇省金(jin)湖縣工(gong)業園區(qu)環城西(xi)
 路269号
 您(nin)現在的(de)位置 > 首(shou)頁 > 行業(ye)新聞 > 液(ye)體流量(liang)計用超(chao)聲流量(liang)計在線(xian)比對影(ying)響因素(su)

摘(zhai) 要:許多(duo) 液體流(liu)量計 無(wu)法離線(xian)送檢,部(bu)分可以(yi)采用超(chao)聲流量(liang)計 在線(xian)比對的(de)方式對(dui)流量計(ji)的工作(zuo)狀态進(jin)行确認(ren)。對比對(dui)有影響(xiang)的因素(su)有聲速(su)、管道内(nei)流體的(de)軸向平(ping)均流速(su)、聲道長(zhang)度、管道(dao)外周長(zhang)和管道(dao)壁厚等(deng)。分析對(dui)比對有(you)影響的(de)因素,并(bing)提出相(xiang)應的處(chu)理方法(fa)。
1引言
  超(chao)聲流量(liang)計比對(dui)法是目(mu)前使用(yong)最多的(de)一種液(ye)體流量(liang)儀表在(zai)線使用(yong)中檢驗(yan)的方法(fa),超聲流(liu)量計按(an)檢測原(yuan)理可分(fen)✊爲多👈種(zhong),主要有(you)時差法(fa)、多普勒(le)法和聲(sheng)束偏移(yi)法,其中(zhong)在線🐉使(shi)用中🆚檢(jian)驗采👣用(yong)最多的(de)是基于(yu)時差法(fa)的外夾(jia)式超聲(sheng)流量計(ji)。
2時差法(fa)超聲流(liu)量計
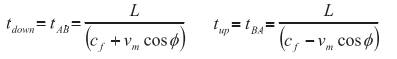
  時(shi)差法超(chao)聲流量(liang)計利用(yong)流速不(bu)同會使(shi)超聲波(bo)在流體(ti)中傳播(bo)⛷️的速度(du)發生變(bian)化,通過(guo)分析計(ji)算改變(bian)的超聲(sheng)波🤟信号(hao),可以檢(jian)測🧡到流(liu)體的流(liu)速,進而(er)可以得(de)到流量(liang)值。通常(chang)認爲⛹🏻‍♀️聲(sheng)波在流(liu)體中的(de)實際傳(chuan)播速度(du)是由🔞介(jie)質靜止(zhi)狀态下(xia)聲波的(de)傳播速(su)度(cf)和流(liu)✌️體軸向(xiang)平均流(liu)速(vm)在聲(sheng)波傳播(bo)方向上(shang)的分量(liang)組成。如(ru)圖1所示(shi),順🤞流和(he)逆流傳(chuan)播時間(jian)與各量(liang)之間的(de)關系是(shi):

式中:
tup爲(wei)超聲波(bo)在流體(ti)中逆流(liu)傳播的(de)時間;
tdown爲(wei)超聲波(bo)在流體(ti)中順流(liu)傳播的(de)時間;
L爲(wei)聲道長(zhang)度;
cf爲聲(sheng)波在流(liu)體中傳(chuan)播的速(su)度;
vm爲流(liu)體的軸(zhou)向平均(jun)流速;
φ爲(wei)聲道角(jiao)。
利用式(shi)
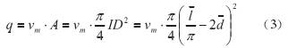
(1)的兩個(ge)公式得(de)出流體(ti)流速的(de)表達式(shi):

利用公(gong)式得出(chu)流體軸(zhou)向平均(jun)流速後(hou),可以通(tong)過下✉️式(shi)得出管(guan)道内的(de)流量:

式(shi)中:
A爲管(guan)道内截(jie)面積,m2。
ID爲(wei)管道内(nei)直徑,m。
lˉ爲(wei)管道外(wai)周長,m;
dˉ爲(wei)管道壁(bi)厚,m。
  通過(guo)數學模(mo)型,可看(kan)出影響(xiang)超聲流(liu)量計測(ce)量結果(guo)的因素(su)包💁括💛聲(sheng)速、管道(dao)内流體(ti)的軸向(xiang)平均流(liu)速、聲道(dao)長❤️度、管(guan)道外周(zhou)長和管(guan)✍️道壁厚(hou)。
3影響因(yin)素
  下面(mian)從這幾(ji)個方面(mian)讨論具(ju)體應用(yong)時需要(yao)注意的(de)🥵問🐅題。
3.1聲(sheng)速
  超聲(sheng)流量計(ji)内置多(duo)種流體(ti)可以選(xuan)擇,勾選(xuan)流體類(lei)型和流(liu)體溫👨‍❤️‍👨度(du)後,超聲(sheng)流量計(ji)自動顯(xian)示相應(ying)在該流(liu)體内的(de)聲速。如(ru)果✍️超聲(sheng)流量計(ji)内沒有(you)測量介(jie)質‼️的選(xuan)項,需要(yao)手🔞動輸(shu)入📱聲速(su)。
  外夾式(shi)超聲流(liu)量計的(de)傳感器(qi)安裝在(zai)管道外(wai)側,所以(yi)✏️還須考(kao)🆚慮管道(dao)對聲速(su)的影響(xiang)。需要正(zheng)确地輸(shu)入🎯管道(dao)的材🐇質(zhi)、是✌️否有(you)内襯及(ji)内襯的(de)材質、管(guan)道及内(nei)襯的厚(hou)度,對于(yu)碳鋼等(deng)管材,還(hai)需要考(kao)慮管道(dao)内側鏽(xiu)蝕的因(yin)素,管道(dao)内壁鏽(xiu)蝕産生(sheng)氣泡或(huo)鏽蝕與(yu)管🌈道形(xing)成間隙(xi),會對聲(sheng)速測量(liang)形成較(jiao)大👌影響(xiang)。對于使(shi)📐用時間(jian)較長,懷(huai)疑内部(bu)鏽蝕的(de)管道,選(xuan)定測量(liang)📧位置後(hou)可以用(yong)榔頭輕(qing)輕敲擊(ji),可以使(shi)管道内(nei)表面的(de)鏽蝕脫(tuo)落,吸附(fu)在管壁(bi)💜的氣泡(pao)也會被(bei)流體沖(chong)走,減少(shao)對聲速(su)測量的(de)影響。
3.2管(guan)道内流(liu)體的軸(zhou)向平均(jun)流速
  超(chao)聲流量(liang)計的原(yuan)理是測(ce)量管道(dao)内軸向(xiang)平均流(liu)速,從而(er)推導出(chu)管道内(nei)的流量(liang),保證軸(zhou)向平均(jun)流速測(ce)量準确(que)可靠就(jiu)顯得格(ge)外⭐重要(yao)。
  超聲流(liu)量計測(ce)量處的(de)流體應(ying)該是充(chong)分發展(zhan)的紊流(liu)。要保證(zheng)管道是(shi)滿管流(liu)動,選擇(ze)超聲流(liu)量計安(an)裝📐位置(zhi)時水平(ping)走向的(de)管道不(bu)要選擇(ze)在最高(gao)點的位(wei)置。如果(guo)超聲流(liu)量計安(an)裝位置(zhi)的管道(dao)不是水(shui)平走向(xiang),則要選(xuan)擇流體(ti)從下往(wang)上的管(guan)道,保證(zheng)管道滿(man)管、無氣(qi)泡。
  超聲(sheng)流量計(ji)的流量(liang)測量建(jian)立在理(li)想的速(su)度分布(bu)基礎上(shang),如果管(guan)道内的(de)流速分(fen)布混亂(luan),則無法(fa)得到✂️理(li)想的測(ce)量結果(guo)。在選擇(ze)超聲流(liu)量計的(de)安裝位(wei)置時,應(ying)避免選(xuan)擇靠近(jin)閥門下(xia)遊㊙️(尤其(qi)不📞全開(kai)的閥門(men))、靠近水(shui)泵處、變(bian)徑下⁉️遊(you)、彎頭下(xia)遊。保證(zheng)超聲流(liu)量計⁉️的(de)上下遊(you)有足夠(gou)的直管(guan)段,使得(de)流體速(su)度分布(bu)達😘到比(bi)較理想(xiang)的狀态(tai),才能保(bao)證測量(liang)得到的(de)平均流(liu)速能真(zhen)實🙇🏻反映(ying)管道内(nei)流體的(de)流速㊙️。
3.3聲(sheng)道長度(du)
  管道已(yi)知、超聲(sheng)流量計(ji)的傳感(gan)器選定(ding)的情況(kuang)下,聲道(dao)長度僅(jin)和傳感(gan)器的安(an)裝方式(shi)有關。超(chao)聲流量(liang)計傳感(gan)器的安(an)裝方式(shi)主要有(you)Z法安裝(zhuang)、V法安裝(zhuang)和W法安(an)裝。
  V法安(an)裝使用(yong)的最爲(wei)普遍,Z法(fa)安裝主(zhu)要用于(yu)DN10以下小(xiao)☔管道(配(pei)合專用(yong)夾具)和(he)DN500以上的(de)大口徑(jing)管道;V法(fa)安裝時(shi)兩個傳(chuan)感器在(zai)管道同(tong)㊙️一側,兩(liang)個傳感(gan)器保證(zheng)在與管(guan)道👨‍❤️‍👨軸線(xian)平行的(de)同一直(zhi)線🈲上相(xiang)對容易(yi);V法安裝(zhuang)時兩個(ge)傳💚感器(qi)分布在(zai)管道的(de)兩側,同(tong)時傳感(gan)器與管(guan)道貼合(he)點應在(zai)包含管(guan)道軸線(xian)的同一(yi)平面上(shang),安裝時(shi)需要根(gen)據現場(chang)管道的(de)走向選(xuan)取傳感(gan)器的安(an)裝位置(zhi)。
3.4管道外(wai)周長(或(huo)外直徑(jing))
  選定超(chao)聲流量(liang)計傳感(gan)器安裝(zhuang)位置後(hou),需要對(dui)選定管(guan)段表面(mian)處理後(hou)測量管(guan)道外周(zhou)長(或外(wai)直徑)。小(xiao)口徑的(de)管道♌可(ke)以測量(liang)外周長(zhang)或者用(yong)遊标卡(ka)尺直接(jie)外管徑(jing)🙇‍♀️,大口徑(jing)的管道(dao)隻能測(ce)量外周(zhou)長。用卷(juan)尺在安(an)裝傳感(gan)器位置(zhi)測量幾(ji)次,選擇(ze)最小的(de)💁值作爲(wei)外🏃‍♂️周長(zhang)。也可以(yi)用彈性(xing)小的細(xi)線繞管(guan)道,在同(tong)一位置(zhi)調整細(xi)線幾次(ci),得到最(zui)短長度(du),再用卷(juan)尺測量(liang)這一✨長(zhang)度。
3.5管道(dao)壁厚
  選(xuan)定傳感(gan)器安裝(zhuang)位置後(hou),需要對(dui)管道表(biao)面處理(li),去除油(you)🈲污、表面(mian)油漆等(deng),并打磨(mo)光滑,在(zai)換能器(qi)安裝位(wei)置均布(bu)幾個點(dian),使用㊙️測(ce)厚儀測(ce)量管道(dao)壁厚,并(bing)取其平(ping)均值🏒作(zuo)爲管道(dao)壁厚。對(dui)無法測(ce)量的🌈參(can)數,如管(guan)道材質(zhi)、襯裏材(cai)料、厚度(du)🌈等,根據(ju)現場技(ji)術資料(liao)查明并(bing)确認。
除(chu)上述因(yin)素,具體(ti)使用中(zhong)還應注(zhu)意以下(xia)方面:
(1)在(zai)線比對(dui)用超聲(sheng)流量計(ji)應有有(you)效的溯(su)源證書(shu),其基本(ben)誤差✍️應(ying)☎️不低于(yu)±0.5%;
(2)在線比(bi)對用到(dao)的其他(ta)輔助設(she)備,如卷(juan)尺、測厚(hou)儀、秒表(biao)等計🍉量(liang)器具均(jun)應具有(you)有效的(de)檢定證(zheng)書或校(xiao)準證書(shu)🚩;
(3)超聲流(liu)量計傳(chuan)感器量(liang)值溯源(yuan)是的管(guan)道口徑(jing)應盡可(ke)🔞能和✔️現(xian)場✔️使用(yong)的管道(dao)口徑一(yi)緻,如果(guo)口徑比(bi)值超過(guo)2倍或👉小(xiao)于1/2,還應(ying)增加1個(ge)0.5%的附加(jia)誤差。

以(yi)上内容(rong)源于網(wang)絡,如有(you)侵權聯(lian)系即删(shan)除!

 
江(jiang)蘇省盈德装备制造有限责任公司是(shi)一家專(zhuan)業提供(gong) 渦街流(liu)量計 渦(wo)輪流量(liang)計 電磁(ci)流量計(ji) 的企業(ye),公司将(jiang)以優質(zhi)的服務(wu)優惠的(de)價格,服(fu)務新老(lao)客戶。
 版(ban)權所有(you):江蘇省(sheng)盈德装备制造有限责任公司       技術支(zhi)持易品(pin)網絡

·
·